[拼音]:baoxing rongye lilun
[外文]:conformal solution theory
建立在对应态原理基础上的一种溶液理论。如果一对分子的势能ε是分子间距r的函数,且仅包含两个特征参数ε*和r*,则
ε=ε*φ(r/r*)
式中r*是两个分子处于其势能最低点处的距离;ε*是位于此距离时势能的数值。凡具有相同的势能函数φ,只是一对分子的相互作用特征参数ε*和r*有所差别的一组液体,称为保形液体。
设有某一保形液体,其分子参数ε*和r*与另一选定的参考保形液体的分子参数ε奵和r奵只有很小差别,被看成对参考液体的微扰,令f=ε*/ε奵,1/g=r*/r奵。设总势能等于全部成对分子相互作用能之和。在f 和g 接近于1时,将自由能F围绕着参考物质的 ε奵和r奵展开成泰勒级数,只取与(ε*-ε奵)和(r*-r奵)成正比的项(称为一级微扰),推导得溶液的吉布斯函数为:
G=G0+U0(f-1)+3(NkT-pV0)(g-1)
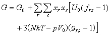
式中G0、U0、V0为参考物质的吉布斯函数、内能和体积;N为分子数;k为玻耳兹曼常数;T为热力学温度;p为压力。上式以参考物质的热力学性质和分子参数来表达某种液体的热力学性质,是对应态原理的一种表达形式。将此原理应用于溶液,认为在该混合物与构成它的纯组分均符合此原理的条件下,把溶液等价于一种受到微扰的假想液体,使用了完全无规的条件,推导出:
式中frs=ε凈/ε凅;1/grs=r凈/r凅;ε凅和r凅为参考液体的一对分子的特征参数;ε凈和r凈为溶液中一对r、s分子的特征参数。对于二元体系,导出的过量吉布斯函数GE为:
GE=x1x2U0(2f12-f11-f22)
保形溶液理论避免了使用具体的物理模型,因而可以用于检验其他具有物理模型的溶液理论。它的适用范围严格限制于符合对应态原理的球形分子或接近于球形分子所构成的偏离理想溶液程度很小的混合物,能完全满足其所要求的条件的溶液体系为数很少。