费密面

浏览

描述金属中电子状态的动量空间中的等能面。它的能量等于电子系统的化学势,称费密能量,写作EF;这个面上的能级称为费密能级。

费密分布函数

因为电子遵守费密-狄喇克统计,所以在绝对零度时,所有能量E<EF的电子态都被电子占据,而所有E>EF的电子态都未被占据。所以费密面也可以看成是绝对零度时这两种状态在动量空间的分界面。在温度T0时,电子占据的几率f(E)随能量E的变化是

其中kB是玻耳兹曼常数。所以在E=EF附近不像在绝对零度时那样由1陡变到0,而是以EF为中点在一个宽度量级为热运动能量kBT的范围内由f(E)≈1变到f(E)≈0(图1)。电子遵守泡利不相容原理,所以它的跃迁只能从满态(或部分占据的状态)到空态(或没有完全占据的状态)。而物理过程又往往与电子跃迁相关,因此费密面附近的量子态是决定金属的实际物理性质的最活跃最起作用的量子态。研究一个材料的费密面,对了解这个材料与电子运动有关的各种物理性质是十分重要的。

图1 理论计算方法

从理论计算上确定一种材料的费密面的方法如下:首先计算电子的能谱,即各不同波矢k的本征态的能量E(k),然后把所有的电子按能量E增加的顺序,依费密分布占据各个状态,从而确定费密能量EF。如果一个金属中传导电子的能谱E(k)可以用自由电子近似描述(例如碱金属),则

(1)

m*是电子的有效质量。T=0K时

  (2)

式中 n是电子浓度。在这种情况下费密面就是一个半径为kF的球,称为费密球。

(3)

称为费密波矢,它所对应的电子波包速度

  (4)

称为费密速度。

实际金属的电子能谱往往比公式(1)复杂,所以它们的费密面也比球形复杂。在图2中列举了两个例子。

图2 实验测定方法

利用大型计算机已经可以相当精确地决定实际金属的费密面。也建立了许多有效的实验方法。A.P.皮帕德是第一个成功地从实验上测定金属的费密面的,他利用了金属的反常趋肤效应。当金属受到微波照射时,由于趋肤效应,微波电场只存在于表面附近很薄一层内。如果这块金属是纯净的单晶,电子自由程 l大于趋肤层的深度 ξ。费密面上不同速度的电子和微波电场的作用会不同, 当lξ时,这实际上相当于“切”下费密面上速度近似平行于表面的部分。所以,测量各种情况下的表面阻抗,可以获得费密面的信息。皮帕德就用这办法得到了铜的费密面。随后又发展了许多其他方法。常用的方法可以分为两大类。一大类是与碰撞效应有关的方法。例如探测正电子与金属中自由电子湮没时发射的光子的动量分布的湮没效应法,测量X 射线被金属中自由电子散射的康普顿效应法等。另一大类方法则是利用非铁磁性金属的物理性质在磁场中的变化来反映费密面的结构。其中德哈斯-范阿耳芬效应法测量晶体的磁化率随磁场强度的单调增长而发生的振荡式变化。舒布尼科夫-德哈斯效应法测量晶体电阻率随磁场增强的振荡式变化;磁声效应法测量超声波在晶体中的衰减随磁场增强的变化;回旋共振法测量晶体的微波阻抗的振荡式变化;而磁热效应法则是测量放在磁场中的绝热晶体样品的温度随磁场增强而发生的振荡式变化,这里只对第二大类方法的基本原理作一个简要的介绍。

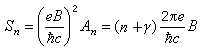
电子在磁场中受到洛伦兹力的作用而发生回旋运动。作回旋运动的电子的能量不变化,所以它在k空间的代表点的运动轨迹是等能面与垂直于磁场 B的平面相交的截线。由量子力学的基本原理可以证明,这个轨道在与B垂直的平面上的截面积Sn是量子化的:

, (5)

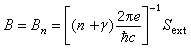
式中n是整数,An是轨道在与 B垂直的平面上的投影的截面积(指在坐标空间的轨道),γ是一个常数。如果费密面在与磁场 B垂直的平面上的截线所决定的轨道面积极值为Sext,那么,每当磁场

 (6)

时,就有一个容许的回旋轨道Sn与这个费密面上的极值轨道相重合。当磁场B由零逐渐增加时,这种情况周期地出现。所以与金属费密面相关联的物理性质,如磁化率、电阻率等也就随磁场强度发生振荡式变化。由式(6)可见,相邻两个磁场值BnBn+1之间,满足关系式

,  (7)

所以可从这些量变化的周期直接测定费密面在与磁场垂直的平面上的投影。使磁场沿晶体的不同取向进行一系列的测量,就可得出关于整个费密面的知识。

进行这类实验要保证电子在磁场中作回旋运动基本上不被散射扰乱。如用 τ表示电子漂移运动的弛豫时间(它由散射决定),用ωc表示在磁场中的电子回旋频率,则要求满足基本条件

。  (8)

因此这类实验一般需要有较纯的样品,并在低温下进行,同时还需要较强的磁场B