[拼音]:cire xiaoying
[外文]:magnetocaloric effect
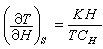
绝热过程中铁磁或顺磁介质的温度随磁场强度变化而改变的现象。这一效应的数学表示是
,其中H是磁场强度,S是磁介质的熵,T是热力学温度。
用热力学理论研究磁介质的热力学性质,可以得到如下关系
其中
是磁场强度H不变时单位体积的热容,
表示磁场强度H不变时磁化强度M随温度T的变化率。利用这个关系,并设磁介质遵守居里定律
可以得到关系
。
对于顺磁介质,ⅹ和K都是正数,磁介质的热容CH也是正数,故有
可见,绝热地减小磁场时,物质的温度将降低。这种现象叫做磁致冷效应。利用绝热去磁法获得低温,就是依据这一效应。因为在没有磁场时,各个磁活动性离子的角动量取向是混乱的,使得每摩尔分子的熵,除了点阵振动所引起的部分外,又增加了一部分。若将磁介质在温度保持一定的情况下放入强磁场中,磁场将使所有离子的角动量取能量较小的方向,因而减小了系统的熵,这时有热量ΔQ=ΔS/T流出磁介质。若再绝热地慢慢减小磁场,使整个过程为可逆过程,则系统的总熵保持不变,但过程中各离子角动量取向引起的熵增加到原来的值,所以与点阵振动相联系的那部分熵必然减小,结果物质被冷却。绝热去磁法是现代得到低温的有效方法,可以得到约0.001K的低温。