[拼音]:shoujital shouming
[外文]:lifetime of an excited state
原子(分子或离子)在受激态(也称激发态)停留的平均时间。原子通常处于能量最低的基态。它通过同其他原子或自由电子碰撞,或吸收光子,从外界获得能量而跃迁到较高的受激态。到达受激态的原子,停留一段时间后,将通过自发发射陆续离开该能态。每个原子在受激态停留的时间长短不一,但大量原子的平均停留时间却有一定的值,称为该受激态的平均寿命,简称受激态寿命。
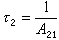
设受激态E2下面只有基态E1,激发停止时在E2的原子数为n0。如果原子不受任何外界影响,即离开E2的唯一途径是自发发射,则在E2的原子数n2随时间t按指数规律减少:
n2=n0exp(-A21t),
A21称为自发发射跃迁几率。由此可得到原子在受激态的平均寿命
,
它也是受激原子数减少到原来的
所经历的时间。
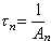
如果受激态 En下面有 m个能级,则跃迁几率 
,受激态寿命为
。
可见,跃迁几率越大,原子离开受激态越快,寿命越短。对于每种原子中的两个能级,A有确定的值,因 τ只与A有关,所以τ 也有确定的值,它是能级的特征参量,与外界条件无关。τ 的数据,原则上可由量子力学计算得到,也可由多种实验方法测定,如束-箔光谱学、原子束和分子束等方法。
受激态寿命通常为10-7~10-9 秒量级。