[拼音]:zhengjiaoxi
[外文]:orthogonal system
互相正交的函数系的简称。平面上两个向量α=(α1,α2)和b=(b1,b2)的正交性可用内积
刻画。对[α,b)]上平方可积函数ƒ(x)和g(x),可用
定义内积,而且用〈ƒ,g〉=0定义正交性。在这个定义下,上面许多几何事实可以移植到该函数空间。由此便产生了正交系的概念:设
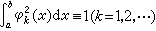
都异于零且两两正交,则称{φk(x)}是[α,b]上的正交函数系。又,若
,则称正交系{φk(x)}是就范的。正交系在分析学中有着重要地位。在许多数学分支,例如,微分方程、积分方程、计算方法、实函数、复函数与泛函分析中常会遇到它们。
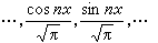
最早出现且也是最重要的正交系是[-π,π]上就范正交的三角函数系:
。它的出现与弦振动问题有着密切联系。对它的深入研究曾对整个分析学的发展起过很大的促进作用。除三角函数系外,正交多项式系、哈尔系、拉德马赫尔系和沃尔什系也是有较大理论和应用价值的正交系。哈尔系、拉德马赫尔系和沃尔什系都是 [0,1]上就范正交系。
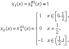
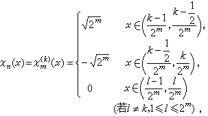
哈尔系
是由匈牙利数学家 A.哈尔于1910年提出的,定义如下:
若
,那么
在间断点上
(x)等于左、右极限的算术平均。
拉德马赫尔系
是德国数学家H.拉德马赫尔于1922年提出的,定义如下:
沃尔什系
是由美国数学家J.L.沃尔什于1923年提出的,定义如下:
(当 n≥1且其二进表示为
)。
平面上任意两个正交的单位向量{ e1,e2} 都是一组基,即任一平面向量α可表示为
的形式。[α,b]上平方可积函数空间L2[α,b]中的函数是否也可用正交系作类似的表示呢?回答是有时可以,有时不可以。 这取决于正交系的完备性。 设{φn(x)}是[α,b)]上就范正交系,
,称
为ƒ(x) 关于正交系{φn(x)}的傅里叶系数。假如
仅当 ƒ(x)呏0时才成立,则称 {φn(x)}是完备的。前面所说的三角函数系、哈尔系、沃尔什系都是完备的,拉德马赫尔系不是完备的。若{φn(x)}是完备的就范正交系,那么对于一切ƒ(x)∈L2[α,b]有展开式
。此式的含义是其部分和序列
在L2[α,b)]中收敛于ƒ(x)。反之,若上式对一切ƒ(x)∈L2[α,b]成立,则{φn(x)}必须是完备的。
一般地,设 H是希尔伯特空间,则当内积〈x,y〉=0时,称元素x和y是正交的。正交系是指异于零且相互正交的元素系。同样可以定义就范、傅里叶系数和完备性等概念。当正交系最多只有可列个元素时,可以证明,就范正交系{xn}的完备性是一切元素y∈H有展开式
的充要条件。通常称此展开式为按{xn}的正交展开或傅里叶展开。