[拼音]:Suoboliefu kongjian
[外文]:Sobolev space
具有弱导数的多变量可积函数组成的一类巴拿赫空间。由于苏联数学家С.Л.索伯列夫对这类函数空间的发展作出了重要贡献而以他的姓来命名。从30年代起,随着变分法的发展和偏微分方程定解问题的解的存在性与正则性研究的需要,许多人研究了这类函数空间。索伯列夫空间及其各种推广、嵌入定理、迹定理及各种插值公式已经成为偏微分方程理论必不可少的工具。
设Ω是n维空间Rn中的一个区域。为了简明起见,假定Ω是有界的。再设α=(α1,α2,…,αn)是非负整数组,|α|=α1+α2+…+αn,
,m为非负整数。下列函数集合赋以相应的范数都是巴拿赫空间:
(1)捙上m阶连续可微的函数的集合Cm(捙),其中的元素u的范数为
。
(2)Cm(捙)中满足赫尔德条件
的函数u的集合C
(捙)(0<λ≤1),u的范数为
(3)p幂可积函数的集合Lp(Ω)(1≤p<∞),元素u的范数是
。
(4)有界可测函数的集合L∞(Ω),元素u的范数为
。
设1≤p ≤∞, 以C怰(Ω)表示属于Cm(捙)且在Ω的一个闭子域外为零的函数的集合。如果u∈Lp(Ω),且对所有满足|α|≤k的α ,存在函数υα∈Lp(Ω),使得积分等式
对所有φ∈C怰(Ω)都成立,那么称 u∈
(或u∈
),而函数υα称为u的α阶广义导数或弱导数或分布导数,记为υα=Dαu。函数类
对范数
(1≤p<∞) (*)成为一个巴拿赫空间,称为索伯列夫空间。此空间中几乎处处相等的函数看成是相同的。当 1≤p<∞且Ω的边界
充分光滑时,空间
就是空间Ck(捙)关于范数(*)的完备化。W0 ,p(Ω)=Lp(Ω)。
空间Hk(Ω)=W k,2(Ω)中赋以内积
还成为希尔伯特空间。
设Ω
是含于捙的一个m维光滑流形;特别地,可以把Ω或Ω的子区域视为Ω
,把
视为Ω(n-1)把m 维平面与捙的交视为Ω
。
中的函数u可以视为Ω
上定义的函数,称为u在Ω
上的迹,记为
, 并称у为把Ω上的函数映射为Ω
上的函数的迹算子。当Ω
=Ω
=Ω时,у为恒等算子。
记X=
,设Y为定义在Ω
上的函数组成的一个巴拿赫空间。若u∈x则必有γu∈Y,且迹算子γ是x到Y的有界算子,就称空间x嵌入空间Y,记为x戺Y。若嵌入算子γ又是紧算子,则称x紧嵌入Y,记为x戺戺Y。
嵌入定理 设1≤p<∞,当Ω的边界
适当光滑时有以下结果。
(1)当 m>n-pk≥0时,对
有
;若
,则
②当
时,有
及
,这里,当
时,
而当
时,λ是(0,1)中的任意数。这个定理不能再改进了。例如,当
时,如果
,那么存在
,但
。
G.H.哈代与J.E.李特尔伍德在30年代初研究变分问题时建立的一些不等式实际上是对n=1的嵌入定理。上述的一般嵌入定理包含了许多人的工作。索伯列夫最初建立的嵌入定理只有:
(1)当
时,有
。
(2)当
时,有
。紧嵌入
是 Л.Β.孔德拉绍夫证明的(1938)。嵌入
是 C.B.莫利证明的(1940)。
的极限指数
是Β.Л.伊利因证明的(1954)。把区域Ω的光滑性条件减到最弱(在情形①是所谓锥条件,在情形②是李普希茨条件)是E.加利亚尔多的工作(1958)。
当m =n-1时,对满足上述嵌入定理的q,
中的函数在
上的迹是Lq(
)中的函数;但是,并非所有Lq(
)中的函数都是空间
中某个函数在
上的迹。然而,研究偏微分方程更加密切相关的问题是:定义在
上的哪一类函数,其中每个函数都可以延拓到捙上而成为
中的一个函数?为了解决这个问题,需要把空间
从整数k推广到非整数s。从50年代起,许多人从不同途径作了推广工作。下面是常用到的分数阶空间
。
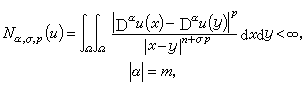
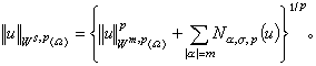
设s=m+σ,m为非负整数,0<σ<1。若u∈
,且u的所有m阶弱导数都满足条件
则称u∈
,其范数定义为
于是,对任意实数s≥0,
是巴拿赫空间。
对上述问题的完整回答是迹定理:当边界
适当光滑时,对1<p<∞ 有
,且嵌入算子是满映射(粗略地说,
的函数在边界
上失掉1/p阶导数)。一般,命
表示u在
上的外法向导数,则迹算子γ=(γ0,γ1,…,γk-1)是
到
的满映射。
1951年,С.М.尼科利斯基研究了一类接近
但稍大于
的空间
并建立了类似的迹定理。上述迹定理对p=2是由Л.Η.斯洛博杰茨基证明的(1958),对任意 p<1是经过加利亚尔多(1957)和С.Β.乌斯宾斯基(1960)先后研究完成的。J.-L.莱昂斯与E.马格内斯通过内插空间理论研究空间
也得出了上述的迹定理(1961)。Ο.Β.别索夫于1959年开始研究另一类分数阶空间
,也证明相应的嵌入定理及迹定理。