[Æ´Òô]£ºpianweifen fangcheng
[ÍâÎÄ]£ºpartial differential equation
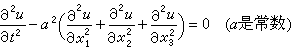
¿Í¹ÛÊÀ½çµÄÎïÀíÁ¿Ò»°ãÊÇËæÊ±¼äºÍ¿Õ¼äλÖöø±ä»¯µÄ£¬Òò¶ø¿ÉÒÔ±í´ïΪʱ¼ä×ø±êtºÍ¿Õ¼ä×ø±ê(x1£¬x2£¬x3)µÄº¯Êýu(t£¬x1£¬x2£¬x3)£¬ÕâÖÖÎïÀíÁ¿µÄ±ä»¯¹æÂÉÍùÍù±íÏÖΪËü¹ØÓÚʱ¼äºÍ¿Õ¼ä×ø±êµÄ¸÷½×±ä»¯ÂÊÖ®¼äµÄ¹ØÏµÊ½£¬¼´º¯Êýu¹ØÓÚtÓë (x1£¬x2£¬x3)µÄ¸÷½×Æ«µ¼ÊýÖ®¼äµÄµÈʽ¡£ÀýÈçÔÚÒ»¸ö¾ùÔȵĴ«ÈÈÎïÌåÖУ¬Î¶Èu¾ÍÂú×ãÏÂÃæµÄµÈʽ£º
¡¡ (1)
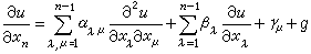
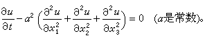
ÕâÑùÒ»ÀàµÄ°üº¬Î´Öªº¯Êý¼°ÆäÆ«µ¼ÊýµÄµÈʽ³ÆÎªÆ«Î¢·Ö·½³Ì¡£Ò»°ã˵À´£¬Èç¹û(x1£¬x2£¬¡£¬xn)ÊÇ×Ô±äÁ¿£¬ÒÔuΪδ֪º¯ÊýµÄƫ΢·Ö·½³ÌµÄÒ»°ãÐÎʽÊÇ
(2)
ÕâÀïFÊÇËüµÄ±äÔªµÄº¯Êý£¬
Ëù°üº¬µÄÆ«µ¼ÊýµÄ×î¸ß½×Êý³ÆÎªÆ«Î¢·Ö·½³ÌµÄ½×Êý¡£
ÓÉÈô¸É¸öƫ΢·Ö·½³ÌËù¹¹³ÉµÄµÈʽ×é¾Í³ÆÎªÆ«Î¢·Ö·½³Ì×é¡£Æäδ֪º¯ÊýÒ²¿ÉÒÔÊÇÈô¸É¸ö¡£µ±·½³ÌµÄ¸öÊý³¬¹ýδ֪º¯ÊýµÄ¸öÊýʱ£¬¾Í³ÆÕâÆ«Î¢·Ö·½³Ì×éΪ³¬¶¨µÄ;µ±·½³ÌµÄ¸öÊýÉÙÓÚδ֪º¯ÊýµÄ¸öÊýʱ£¬¾Í³ÆÎªÇ·¶¨µÄ¡£
Èç¹ûÒ»¸öƫ΢·Ö·½³Ì£¨×飩¹ØÓÚËùÓеÄδ֪º¯Êý¼°Æäµ¼Êý¶¼ÊÇÏßÐԵģ¬Ôò³ÆÎªÏßÐÔÆ«Î¢·Ö·½³Ì£¨×飩¡£·ñÔò£¬³ÆÎª·ÇÏßÐÔÆ«Î¢·Ö·½³Ì£¨×飩¡£ÔÚ·ÇÏßÐÔÆ«Î¢·Ö·½³Ì£¨×飩ÖУ¬Èç¹û¶Ôδ֪º¯ÊýµÄ×î¸ß½×µ¼ÊýÀ´ËµÊÇÏßÐԵģ¬ÄÇô¾Í³ÆÎªÄâÏßÐÔÆ«Î¢·Ö·½³Ì£¨×飩¡£
É覸ÊÇ×Ô±äÊý¿Õ¼äRnÖÐÒ»¸öÇøÓò£¬uÊÇÔÚÕâ¸öÇøÓòÉ϶¨ÒåµÄ¾ß£ü¦Á£ü½×Á¬Ðøµ¼ÊýµÄº¯Êý¡£Èç¹ûËüÄÜʹ·½³Ì(2)ÔÚ¦¸ÉϺãµÈ³ÉÁ¢£¬ÄÇô¾Í³ÆuÊǸ÷½³ÌÔÚ¦¸ÖеÄÒ»¸ö¾µäÒâÒåϵĽ⣬¼ò³ÆÎª¾µä½â¡£ÔÚ²»ÖÂÎó»áµÄÇé¿öÏ£¬¾Í³ÆÎª½â¡£
ƫ΢·Ö·½³ÌÀíÂÛÑо¿Ò»¸ö·½³Ì£¨×飩ÊÇ·ñÓÐÂú×ãijЩ²¹³äÌõ¼þµÄ½â£¨½âµÄ´æÔÚÐÔ£©£¬ÓжàÉÙ¸ö½â£¨½âµÄΩһÐÔ»ò×ÔÓɶȣ©£¬½âµÄ¸÷ÖÖÐÔÖÊÒÔ¼°Çó½â·½·¨µÈµÈ£¬²¢ÇÒ»¹Òª¾¡¿ÉÄܵØÓÃÆ«Î¢·Ö·½³ÌÀ´½âÊͺÍÔ¤¼û×ÔÈ»ÏÖÏóÒÔ¼°°ÑËüÓÃÖ®ÓÚ¸÷ÃÅ¿ÆÑ§ºÍ¹¤³Ì¼¼Êõ¡£Æ«Î¢·Ö·½³ÌÀíÂÛµÄÐγɺͷ¢Õ¹¶¼ÓëÎïÀíѧºÍÆäËû×ÔÈ»¿ÆÑ§µÄ·¢Õ¹ÃÜÇÐÏà¹Ø£¬²¢±Ë´Ë´Ù½øºÍÍÆ¶¯¡£ÆäËûÊýѧ·ÖÖ§£¬Èç·ÖÎöѧ¡¢¼¸ºÎѧ¡¢´úÊýѧ¡¢ÍØÆËѧµÈÀíÂ۵ķ¢Õ¹Ò²¶¼¸øÓèÆ«Î¢·Ö·½³ÌÒÔÉî¿ÌµÄÓ°Ïì¡£
΢»ý·ÖÀíÂÛÐγɺ󲻾ã¬ÔÚ18ÊÀ¼Í³õ£¬ÈËÃǾͽáºÏÎïÀíÎÊÌâÑо¿Æ«Î¢·Ö·½³Ì¡£×îÔçÑо¿µÄ¼¸¸ö·½³ÌÊÇÏÒÕñ¶¯·½³Ì¡¢ÈÈ´«µ¼·½³ÌºÍµ÷ºÍ·½³Ì£¨ÓÖ³ÆÀÆÕÀ˹·½³Ì£©¡£ÀýÈç¸ø¶¨Ò»¸ùÀ½ôµÄ¾ùÔÈÈáÈíµÄÏÒ£¬Á½¶Ë¹Ì¶¨ÔÚxÖáµÄijÁ½µãÉÏ£¬¿¼²ì¸ÃÏÒÔÚÆ½ºâλÖø½½üµÄ΢СºáÕñ¶¯£¬ÏÒÉϸ÷µãµÄÔ˶¯¿ÉÒÔÓúáÏòÎ»ÒÆu(x£¬t)±íʾ£¬ÆäÔ˶¯¹æÂÉ¿ÉÒÔÓÃ
¡¡ (3)
±íʾ¡£(3)ʽ¾Í³ÆÎªÏÒÕñ¶¯·½³Ì£¬ËüÊÇj.le r.´ïÀʱ´¶ûÊ×ÏÈÑо¿µÄ¡£Èç¹û¿¼ÂǿռäÖеIJ¨¶¯ÏÖÏó£¨ÀýÈçµç´Å²¨ºÍÉù²¨´«²¥£©£¬Æä¹æÂÉ¿ÉÒÔÓÃ
¡¡¡¡ (4)
±íʾ¡£(4)ʽ³ÆÎª²¨¶¯·½³Ì¡£ ÃèдÈÈ´«µ¼¹æÂɵÄÈÈ´«µ¼·½³ÌÈç(1)Ëùʾ£¬ËüÊÇj.-b.-j.¸µÀïÒ¶·¢Ïֵġ£µ±ÈÈÔ˶¯´ïµ½Æ½ºâ״̬ʱ£¬Î¶ÈuËùÂú×ãµÄ·½³ÌÊÇ
Ëü³ÆÎªµ÷ºÍ·½³Ì¡£µ÷ºÍ·½³ÌÒ²¿ÉÒÔÓÉÐí¶àÆäËûÎïÀíÀíÂÛÍÆµÃ£¬ÀýÈçÅ£¶ÙÒýÁ¦ÀíÂÛÖеÄÒýÁ¦ÊÆ£¬µ¯ÐÔ±¡Ä¤µÄƽºâ£¬²»¿ÉѹËõÁ÷ÌåµÄ¶¨³£Ô˶¯µÈ¡£ÔÚ×Ô±äÊý¸öÊýΪ2ʱ£¬¸Ã·½³ÌÒ²ÊǽâÎöº¯Êýƒ(z)=u+i¦ÔµÄʵ²¿uÓëÐ鲿¦ÔËùÓ¦Âú×ãµÄ·½³Ì£¬Õâʱu¡¢¦ÔÓ¦Âú×ã¿ÂÎ÷£ÀèÂü·½³Ì×飺
ÕâÊÇÔÚÊýѧÖÐ×îÖØÒªµÄƫ΢·Ö·½³Ì×éÖ®Ò»£¬ºÜÔç¾ÍÔÚÁ÷ÌåÁ¦Ñ§ÖÐÆðÖØÒª×÷Óá£
Ëæ×ÅÁ¦Ñ§¡¢ÎïÀíѧµÄ·¢Õ¹£¬18ÊÀ¼ÍÒÔÀ´£¬Á¬Ðø½éÖÊÁ¦Ñ§¡¢µç´ÅÀíÂÛ¡¢Á¿×ÓÁ¦Ñ§¡¢ÒýÁ¦ÀíÂÛ¡¢¹æ·¶³¡Â۵ȵȷ½ÃæµÄ»ù±¾¹æÂÉ£¬¶¼±»Ð´³Éƫ΢·Ö·½³ÌµÄÐÎʽ¡£ÕâЩ·½³Ìͨ³£³ÆÎªÊýѧÎïÀí·½³Ì£¬¶ÔÓÚÏàÓ¦µÄÁ¦Ñ§¡¢ÎïÀíѧ¿Æ¶¼ÊÇÖÁ¹ØÖØÒªµÄ¡£ÔÚÆ«Î¢·Ö·½³ÌÖÐËù»ñµÃµÄÿһÑо¿³É¹û£¬¼¸ºõ¶¼¿ÉÒÔѸËÙµØÔÚÏàÓ¦µÄÁ¦Ñ§¡¢ÎïÀíѧ¿ÆÖеõ½Ó¦Ó᣽üÄêÀ´£¬ÔÚÁ¦Ñ§¡¢ÎïÀíѧ¡¢»¯Ñ§¡¢ÉúÎïѧÒÔÖÁ¾¼Ãѧ¡¢Éç»áѧµÈѧ¿ÆÖÐÓÖ²»¶Ï¹é½á³öһЩÐÂµÄÆ«Î¢·Ö·½³Ì£¨×飩£¬ËüÃǵÄÑо¿¶ÔÓÚÁ˽âÏàӦѧ¿ÆÖеÄһЩÔ˶¯¹æÂÉÊÇÊ®·ÖÖØÒªµÄ¡£
´Óƫ΢·Ö·½³ÌµÄ±¾ÉíÐÎʽÀ´¿´£¬×î¼òµ¥µÄÊÇÒ»½×ƫ΢·Ö·½³Ì¡£ n¸ö×Ô±äÊýµÄ¿Õ¼äRnÖÐÒ»½×ÏßÐÔÆ«Î¢·Ö·½³ÌµÄ±ê×¼ÐÎʽÊÇ
Ò»½×ÄâÏßÐÔ·½³ÌµÄ±ê×¼ÐÎʽÊÇ
¶øÒ»°ãµÄÒ»½×·ÇÏßÐÔ·½³ÌÔò¿É±íΪ
¶ÔÓÚÒ»½×ƫ΢·Ö·½³ÌµÄÇó½âÎÊÌ⣬ÔçÔÚ19ÊÀ¼Í³õÆÚÒÑÓÉa.-l.¿ÂÎ÷¡¢j.-l.À¸ñÀÊÈÕµÈÈ˸øÒÔ½â¾ö£¬»ù±¾µÄ·½·¨ÊǰÑÇó½âÕâÖÖ·½³ÌµÄÎÊÌ⻯ΪÇó½âÒ»½×³£Î¢·Ö·½³Ì×éµÄÎÊÌâ¡£
¶þ½×ÒÔ¼°¸ü¸ß½×µÄ·½³Ì£¬Ò»°ãÄÑÒÔ»¯Îª³£Î¢·Ö·½³ÌÇó½â£¬¶¨½âÎÊÌâµÄÌá·¨Ò²Ï൱¶àÑù¡£¾Í²¨¶¯·½³Ì¡¢ÈÈ´«µ¼·½³ÌºÍµ÷ºÍ·½³Ì¶øÑÔ£¬Ê×ÏÈ×ܸù¾ÝÎïÀíÎÊÌâµÄÐèÒª£¬Ìá³öΪÇó½âÎÊÌâËù±ØÐëµÄ¶¨½âÌõ¼þ£¬È»ºóÔÙ´ÓÊýѧÉϼÓÒÔ¸ÅÀ¨ºÍÍÆ¹ã£¬ÐγɶàÖÖ¶àÑùµÄ¶¨½âÎÊÌâ¡£¶Ô²»Í¬µÄƫ΢·Ö·½³Ì£¬Æä¶¨½âÌõ¼þµÄÌá·¨Ò²ÍùÍùåÄÈ»²»Í¬¡£
¶ÔÈÈ´«µ¼·½³Ì£¬¿ÉÑо¿¿ÂÎ÷ÎÊÌ⣬Æä¶¨½âÌõ¼þÊÇÔÚt=0ʱ¿Ì¸ø³öuÖµ£¬Çót>0ʱ·½³Ì(1)µÄ½â¡£»¹¿ÉÑо¿ÈÈ´«µ¼·½³ÌµÄÁíһЩ¶¨½âÎÊÌ⣬ÀýÈçÉ覸ÊÇR3ÖеÄÒ»¸öÇøÓò£¬ÇóÔÚ¦¸¡Á[0£¬¡Þ)Öз½³Ì(1)µÄ½â£¬
ÒªÇóËüÔÚt=0
ʱȡ¸ø¶¨Öµ
u=¦Õ£¬ÔÚt>0ʱµ±(x£¬y£¬z)ÂäÔÚÇøÓòµÄ±ß½çÉÏʱuÒ²Âú×ãÒ»¶¨µÄÌõ¼þ£¬ÀýÈçÒÑÖªuµÄÖµ»òuµÄ·¨Ïòµ¼ÊýÖµµÈ£¬ÕâÖÖÎÊÌâ³ÆÎª³õ±ßÖµÎÊÌâ¡£¶ÔÓÚ²¨¶¯·½³Ì£¬Ñо¿µÃ×î¶àµÄÒ²ÊÇ¿ÂÎ÷ÎÊÌâÓë³õ±ßÖµÎÊÌ⣬µ«ÕâʱÔÚt=0ÉϱØÐë¸ø³öÁ½¸ö³õʼÌõ¼þ£ºº¯Êýu¼°Æä¹ØÓÚʱ¼äµÄµ¼Êý
¡£¶ÔÓÚµ÷ºÍ·½³Ì£¬Ñо¿µÃ½Ï¶àµÄÊDZßÖµÎÊÌ⣬¼´ÔÚRnµÄÒ»¸öÇøÓò¦¸µÄ±ß½çÉϸø³ö¶¨½âÌõ¼þ£¬ÔÚ¦¸ÄÚÇóµ÷ºÍ·½³ÌµÄ½â¡£Èô±ß½çÉϵÄÌõ¼þÊǸø¶¨Î´Öªº¯ÊýuµÄÖµ£¬Ôò³ÆÕâÑùµÄ±ßÖµÎÊÌâΪµÒÀû¿ËÀ×ÎÊÌ⣬Èô±ß½çÉϵÄÌõ¼þÊǸø¶¨Î´Öªº¯Êý·¨Ïòµ¼ÊýµÄÖµ£¬Ôò³ÆÕâÑùµÄ±ßÖµÎÊÌâΪŵÒÁÂüÎÊÌ⣬µ±È»»¹Óб߽çÌõ¼þµÄÆäËûÖÖÖÖÌá·¨¡£Ñ¡¶¨ÉÏÊöÕâÑùһЩ¶¨½âÎÊÌâ½øÐÐÑо¿¼ÈÓÐÆäÎïÀíÉϵĸù¾Ý£¬ÔÚÊýѧÉÏÓÖÄܰ´ÕÕÒ»¶¨µÄ×¼Ôò±»Ö¤Ã÷ÊǺÏÀíµÄ£¬ÕâЩ׼ÔòÖÐ×î³£ÓõÄÊǽâµÄ´æÔÚÐÔ¡¢Î©Ò»ÐÔÒÔ¼°½â¹ØÓÚÓÃ×÷¾ö¶¨½âµÄ×ÊÁÏ£¨ÀýÈç³õʼÌõ¼þµÈ£©µÄÁ¬ÐøÒÀÀµÐÔ¡£Èç¹ûÒ»¸ö¶¨½âÎÊÌâµÄ½âÊÇ´æÔÚ¡¢Î©Ò»ÇÒÁ¬ÐøµØÒÀÀµÓÚ¶¨½âÌõ¼þ£¬ÔòÕâ¸ö¶¨½âÎÊÌ⣬³ÆÎªÊʶ¨µÄ¡£Êʶ¨ÐÔ¸ÅÄîÊÇj.£¨-s.£©°¢´ïÂíÌá³öÀ´µÄ£¬¹ýÈ¥ÈÏΪ£¬ÔÚÎïÀíѧÖÐÓÐÒâÒåµÄ¶¨½âÎÊÌâ±ØÐëÊÇÊʶ¨µÄ£¬µ«ºóÀ´ÒѾ֪µÀÐí¶àÔÚÓ¦ÓÃÉϺÜÓÐÒâÒåµÄ²»Êʶ¨µÄÎÊÌâ¡£
¶ÔÉÏÊöµÄ¼¸ÖÖ·½³Ì£¬ÒÑÓÐÐí¶à½â·¨£¬²¨¶¯·½³ÌºÍÈÈ´«µ¼·½³ÌµÄ¿ÂÎ÷ÎÊÌ⣬ÒѾÓÐÁËÇó½âµÄ¹«Ê½£¬¶ÔÓÚÐí¶àÌØÊâµÄÇøÓò¦¸£¬²¨¶¯·½³ÌºÍÈÈ´«µ¼·½³ÌµÄ³õÖµÎÊÌâÒÔ¼°µ÷ºÍ·½³ÌµÄ±ßÖµÎÊÌâÒ²ÓнâµÄÃ÷ÏÔ±í´ïʽ¡£·ÖÎöѧÖеÄÐí¶àÌØÊ⺯Êý£¬Ò²ÊÇ´ÓÕâЩÎÊÌâÖз¢Õ¹ÆðÀ´µÄ¡£µ«¶ÔÒ»°ãµÄÓò¦¸£¬ÕâЩÎÊÌâÒªÓñȽϸ´ÔÓµÄÊֶβÅÄܽâ¾ö£¬ÀýÈç½âµÒÀû¿ËÀ×ÎÊÌâ¾ÍÓÐÉÏϺ¯Êý·¨£¨Åå¡·¨£©£¬Î»ÊÆ·¨£¬±ä·Ö·¨£¬²î·Ö·¨µÈµÈ¡£ÔÚÓ¦ÓÃÉÏÍùÍùÒªÓÃÊýÖµ½â·¨£¬Èç²î·Ö·¨ºÍÓÐÏÞÔª·½·¨µÈµÈ¡£
ÔÚÉÏÊöÌØÊâµÄ¶þ½×·½³ÌÓÐÁ˳ä·ÖµÄÑо¿Ö®ºó£¬ÈËÃÇתÏòÓÚÒ»°ãµÄ¶þ½×ÏßÐÔÆ«Î¢·Ö·½³Ì£¬¼´
¡¡¡¡¡¡(5)
·½³ÌÖÐϵÊýµÄ²»Í¬´úÊýÐÔÖÊÍùÍù»áʹƫ΢·Ö·½³Ì¼°Æä½â¾ßÓÐÏ൱²»Í¬µÄÐÔÖÊ£¬Îª´ËÐèÒª°Ñ΢·Ö·½³Ì·Ö³É²»Í¬ÀàÐÍÀ´Ñо¿£¬¶Ô·½³Ì£¨5£©£¬Èç¹ûÔÚ¦¸µÄÿһµãx£¬¶þ´ÎÐͦÒ0
ΪÕý¶¨(»ò¸º¶¨)£¬Ôò³ÆËüÔÚ¦¸ÖÐΪÍÖÔ²Ð͵Ä;Èç¹ûÔÚ¦¸µÄÿһµã£¬Õâ¶þ´ÎÐ͵ÄÌØÕ÷Öµ¾ù²»ÎªÁ㣬ÇÒÓÐÒ»¸öºÍÆäËûµÄÌØÕ÷ÖµÒìºÅ£¬¾Í³ÆÕâ·½³ÌΪ˫ÇúÐ͵ģ»Èô·½³Ì(5)¿ÉдΪ
µÄÐÎʽ£¬Ê½ÖÐ
ÔÚ¦¸ÖÐΪÕý¶¨£¬Ôò¾Í³ÆËüΪÅ×ÎïÐ͵ġ£Ë«ÇúÐÍ¡¢Å×ÎïÐÍ¡¢ÍÖÔ²ÐÍ·½³ÌÊǶþ½×ÏßÐÔÆ«Î¢·Ö·½³ÌµÄÈýÖÖ»ù±¾ÀàÐÍ£¬ÊýѧÎïÀíÖг£¼ûµÄ²¨¶¯·½³Ì¡¢ÈÈ´«µ¼·½³ÌºÍµ÷ºÍ·½³Ì·Ö±ðΪËüÃǵĴú±í¡£¹ØÓÚÕâÈýÖÖµäÐÍÊýѧÎïÀí·½³ÌµÄ¶¨½âÎÊÌâµÄÌá·¨¡¢½âµÄÐÔÖÊÒÔ¼°Çó½â·½·¨£¬¶à°ë¿ÉÍÆ¹ãµ½ËüÃÇËù´ú±íµÄÈýÖÖÀàÐ͵ķ½³ÌÉÏÈ¥¡£
»¹ÓÐÐí¶à¶þ½×ÏßÐÔÆ«Î¢·Ö·½³Ì²¢²»ÊôÓÚÉÏÊöµÄË«Çú¡¢Å×Îï¡¢ÍÖÔ²ÈýÖÖÀàÐÍ¡£Èç¹ûÔÚ¦¸µÄÒ»¸ö×ÓÇøÓòÖз½³Ì(5)ÊÇÍÖÔ²Ð͵ģ¬ÔÚÁíÒ»×ÓÇøÓòÖз½³ÌÊÇË«ÇúÐ͵ģ¬ÔÚijÓ༯Öжþ´ÎÐͦÒ(x£¬¦Î)ΪÍË»¯£¬ÄÇô¾Í³ÆÕâ·½³ÌÊÇ»ìºÏÐ͵ġ£F.G.ÌØÀï¿ÆÃ×ÔÚ1923ÄêÊ×ÏÈÑо¿ÁË·½³Ì
y>0ʱ£¬ËüÊÇÍÖÔ²Ð͵ģ¬y<0ʱ£¬ËüÊÇË«ÇúÐ͵ġ£ÒÔºóÈËÃÇÓÖ½áºÏ¿ÕÆø¶¯Á¦Ñ§ÖеĿçÒôËÙÁ÷ºÍ¾ßÏàËÆÐԵij¬ÒôËÙÁ÷£¬¶Ô»ìºÏÐÍ·½³Ì×÷ÁËÐí¶àÑо¿¡£
һЩÆÕ±éÊÊÓõ쬲»ÒÀÀµÓÚÌØÊâÀàÐÍµÄÆ«Î¢·Ö·½³ÌµÄÐÔÖʵÄÑо¿Ò»Ö±ÒýÈ˹Ø×¢£¬19ÊÀ¼ÍÄ©ÔÚ½âÎöº¯Êý·¶Î§Öеõ½ÁËÒ»¸öºÜÒ»°ãµÄ½á¹û¡£ÉèÓÐÒÔu1£¬u2£¬¡£¬uNΪδ֪º¯Êý£¬x1£¬x2£¬¡£¬xnΪ×Ô±äÊýµÄƫ΢·Ö·½³Ì×飬Ëü¾ßÓÐÏÂÊöÌØÊâÐÎʽ
¡¡¡¡¡¡(6)
ʽÖÐF1£¬F2£¬¡£¬FNÊÇx1£¬x2£¬¡£¬xn£¬u1£¬u2£¬¡£¬uNÒÔ¼°ËüÃÇ·Ö±ðµ½r1£¬r2£¬¡£¬rN½×ΪֹµÄÆ«µ¼ÊýµÄº¯Êý£¬µ«²»ÒÀÀµÓÚ³öÏÖÔÚ×ó¶ËµÄÄÇЩƫµ¼Êý£¬Èç¹ûF1£¬F2£¬¡£¬FNÊÇÆä±äÔªÔÚÔµãÁÚÓòÄڵĽâÎöº¯Êý£¬ÓÖÉèxn=0ʱ¸ø¶¨³õʼֵu¦Á£¬
ËüÃÇÓÖ¶¼ÊÇx1£¬x2£¬¡£¬xn-1µÄ½âÎöº¯Êý£¬¶øÇÒ
ʱ£¬ÕâЩº¯Êý¼°ÆäÓйص¼ÊýµÄÊýÖµÁ¬Í¬x1=0£¬
x2=0£¬¡£¬xn-1=0ÊÇÔÚF1£¬F2¡£¬FNµÄ¶¨ÒåÓòÖ®ÄÚ£¬ÄÇô¾ÍÓÐÈçϵĽáÂÛ:ΩһµØ´æÔÚ·½³Ì×é (6)ÔÚÔµãijÁÚÓòÄڵĽâÎö½â¡£ËüÂú×ãÒѸøµÄ³õʼÌõ¼þ¡£Õâ¾ÍÊÇ¿ÂÎ÷£¿ÂÍßÁзò˹¿¨æ«¶¨Àí¡£ÕâÖÖ½âÎö½âµÄÃݼ¶ÊýÕ¹¿ªÊ½µÄϵÊý¿ÉÒÔÖðÏîÇó³ö¡£ÕâÊÇÇó½üËÆ½âµÄÒ»ÖÖÒ»°ãÐÔ·½·¨£¬µ«ÍùÍùÓÐÊÕÁ²²»¿ì»òÊÕÁ²ÇøÓò½ÏСµÄÇéÐΡ£
¶ÔÈκÎÒ»¸ö½âÎöº¯Êý¹¹³ÉµÄƫ΢·Ö·½³Ì×é¿ÉÒÔͨ¹ýÒ»¶¨µÄË㷨ȷ¶¨ÆäÊÇ·ñ¿ÉÄÜÓнâÎö½â£¬ÔÚÓнâµÄÇé¿öÏÂÈ·¶¨½âÎö½âµÄ×ÔÓɶȣ¬ÕâÊÇC.Àï¿ü¶ûËùµÃµÄ½á¹û¡£É.¼Îµ±ºÍE.¿ÀÕ°ÑÆ«Î¢·Ö·½³Ì×éд³ÉÍâ΢·Ö·½³ÌµÄÐÎʽ£¬ÓøüºÃµÄ·½·¨´¦ÀíÁËͬһÎÊÌ⣬²¢Ôڱ任ÄâȺÂۺ;ֲ¿Î¢·Ö¼¸ºÎѧÖÐÈ¡µÃÁ˺ܶàÓ¦Óá£
ÔÚ½âÎöº¯ÊýÁìÓòÖÐÑо¿Æ«Î¢·Ö·½³Ì£¬Æä½á¹û¾ßÓÐijÖ̶ֳȵÄÒ»°ãÐÔ£¬ÔÚÏßÐÔµÄÇéÐΣ¬E.»ôÄ·¸ñÂ×¾ÍÔøÖ¤Ã÷£¬Èç·½³ÌµÄϵÊýºÍ³õʼÌõ¼þ¾ùΪ½âÎöº¯Êý£¬¿ÂÎ÷ÎÊÌâµÄ¹â»¬½âÊÇΩһµÄ¡£È»¶øÏµÊýºÍ¶¨½âÌõ¼þµÄ½âÎöÐÔ¶ÔÓÚÊýѧÎïÀíÖÐËù¹ØÐĵÄÐí¶à±ßÖµÎÊÌâÊDz»ÄÜÊÊÓõġ£ËùÒÔÃݼ¶ÊýÕâ¸ö·ÖÎö¹¤¾ß¶ÔÓÚÑо¿Æ«Î¢·Ö·½³ÌÀ´ËµÊÇÔ¶Ô¶²»¹»µÄ¡£
20ÊÀ¼Í30Äê´úÆð£¬¸÷ÖÖ·ºº¯·ÖÎö·½·¨Â½Ðø±»Ó¦ÓÃÓÚÆ«Î¢·Ö·½³ÌµÄÑо¿£¬Ê¹Æ«Î¢·Ö·½³ÌÀíÂÛµÄÃæÃ²²úÉúÁ˺ܴóµÄ±ä»¯¡£Ê×ÏÈ¶ÔÆ«Î¢·Ö·½³Ì½âµÄ¸ÅÄî×÷Á˶àÖÖ·½Ê½µÄÍÆ¹ã£¬Ò»ÖÖÍÆ¹ãµÄ·½Ê½ÊǰѾµä½âµÄÔÚijÖÖº¯Êý¿Õ¼äÖеļ«ÏÞ×÷Ϊ¹ãÒå½â¡£¾ßÌåµØËµ£¬Èç¹ûlÊÇÒ»¸öÏßÐÔÆ«Î¢Ëã×Ó£¨ÀýÈçʽ(5)Ëùʽ£©£¬unÊÇ·½³Ìlun=ƒnµÄ¾µä½â£¬º¯ÊýÐòÁÐunÓëƒn·Ö±ð°´Ä³ÖÖÒâÒåÊÕÁ²ÓÚu¡¢ƒ£¬Ôò³ÆuÊÇ·½³Ìlu=ƒµÄÇ¿½â¡£ÁíÒ»ÖÖÍÆ¹ã·½Ê½ÊÇÀûÓøñÁÖ¹«Ê½£¬¼´¶Ôl¿É×÷ÆäÐÎʽ¹²éî΢·ÖËã×Ól*£¬Ê¹¶Ô¾µä½âu¼°±ß½çÉÏÂú×ãÒ»¶¨Ìõ¼þµÄÈÎÒâ¹â»¬º¯Êý¦Ô³ÉÁ¢
¡¡¡¡ (7)
Èç¹ûÔÚÒ»¸ü¹ã·ºµÄ¿Õ¼äÖеÄu£¬ƒÒ²ÄܶÔÕâЩ¦Ôʹ(7)ʽ³ÉÁ¢£¬ÄÇô¾Í³ÆuÊÇlu=ƒµÄÈõ½â¡£ÓÉÓÚ·½³ÌÓ붨½âÎÊÌâÖÖÀà·±¶à£¬¹ãÒå½âÓÖ¿ÉÊÓΪ¸÷ÖÖ²»Í¬¿Õ¼äÖеÄÔªËØ£¬ËùÒÔ¹ãÒå½âµÄÖÖÀàÊǺܶàµÄ¡£
Ç¿½âºÍÈõ½âÔÚÐí¶à³¡ºÏÏÂÊÇÒ»Öµģ¬µ«ÓÐʱҲ²»Ò»Ö¡£Çó½âµÄ´óÖ¹ý³ÌÊÇ:ÀûÓ÷ºº¯·ÖÎöÖеÄijЩ¶¨Àí£¬Ö¤Ã÷¹ãÒå½âµÄ´æÔÚÐÔ£»ÔÙÂÛÖ¤ÕâЩ¹ãÒå½âµÄ¿É΢·ÖÐÔ£¬È»ºóµÃµ½¾µä½âµÄ´æÔÚÐÔ¡£ÔÚÕû¸ö¹ý³ÌÖУ¬ÀûÓñ߽çÌõ¼þºÍ·½³Ìlu=ƒµÄÓҶ˃£¬¶Ôu×÷³ö¸÷ÖÖ¹À¼Æ(³ÆÎªÏÈÑé¹À¼Æ)Æð×ÅÊ®·ÖÖØÒªµÄ×÷Óã¬ÕâʱlÊÓΪһ¸öº¯Êý¿Õ¼äµ½ÁíÒ»¸öº¯Êý¿Õ¼äµÄËã×Ó£¬¿É½âÐÔµÄÎÊÌâ¾Í¹é½áÓÚÄæËã×ÓÊÇ·ñ´æÔÚµÄÎÊÌâ¡£
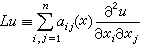
ÉÏÊö·½·¨¶Ô½â¾öÐí¶àƫ΢·Ö·½³ÌÎÊÌâ¶¼Æð×ÅÖØÒª×÷Óᣲ»½ö¿ÉÒÔÓÃÀ´ÌÖÂÛ¶þ½×µÄÇéÐΣ¬Ò²¿ÉÒÔÓÃÀ´·¢Õ¹¸ß½×·½³Ì£¨ÒÔ¼°·½³Ì×飩µÄÀíÂÛ¡£Ò»°ãµØËµ£¬n¸ö×Ô±äÊýµÄÒ»¸öm ½×ÏßÐÔ·½³Ì¾ßÐÎʽ
¡¡¡¡¡¡¡¡ (8)
ʽÖÐ
Ϊ·Ç¸ºÕûÊý£¬
£»ÈôËüµÄϵÊýÂú×ã
¡¡¡¡¡¡ (9)
ʽÖÐ
£¬Ôò³Æ(8)Ϊm½×ÍÖÔ²ÐÍ·½³Ì¡£¸ø¶¨Êʵ±µÄ±ß½çÌõ¼þ£¬¿ÉÒÔÖ¤Ã÷Æä½âµÄ¸¥À׵»ôÄ·ÐÔÖÊ£¬¼´Æë´Î·½³ÌµÄÏßÐÔ¶ÀÁ¢½âµÄ¸öÊýÊÇÓÐÏ޵ģ¬·ÇÆë´Î·½³Ì½âµÄ´æÔÚÐÔÈ¡¾öÓÚ·ÇÆë´ÎÏîÊÇ·ñÓë¹²éîÆë´Î·½³Ì£¨Á¬Í¬¹²éîµÄ±ß½çÌõ¼þ£©µÄ½âÕý½»¡£¹ØÓÚÕâÖÖ¶¨½âÎÊÌâ½âµÄ¹â»¬ÐÔÒ²ÓкܺõĽá¹û£¬µ±ÎÊÌâµÄ×ÊÁÏ£¨³öÏÖÔÚ·½³ÌÓë±ß½çÌõ¼þÖеĺ¯Êý£¬ÇøÓòµÄ±ß½ç£©ÊÇ
ʱ£¨¼´ÈÎÒâ½×µ¼Êý´æÔÚÇÒÁ¬Ðø£©£¬½âÔÚÇøÓòÉÏÒ²ÊÇC¡ÞµÄ£¬µ±ÎÊÌâµÄ×ÊÁÏΪ½âÎöʱ£¬½âÒ²ÊǽâÎöµÄ¡£
Èô(9)ʽÖÐÈ·¶¨µÄº¯ÊýPm(x£¬¦Î)Âú×ãÌõ¼þ£º¶ÔÈκΦΡÙ0¿ÉÒÔ´Ó¦Î1£¬¦Î2£¬¡£¬¦ÎnÖÐÑ¡³öÒ»¸ö±äÁ¿¦În£¬Ê¹¶ÔÈÎÒâ¦Î1£¬¦Î2£¬¡£¬¦În-1£¬·½³ÌPm(x£¬¦Î)=0¶¼ÓЦÎnµÄn¸öÏàÒìʵ¸ù£¬Ôò³Æ(8)¹ØÓÚ·½Ïò(0£¬¡£¬0£¬1)ΪÑϸñË«ÇúÐÍ·½³Ì¡£¶Ô´Ë£¬¿ÉÒÔÖ¤Ã÷Æä¿ÂÎ÷ÎÊÌâÊÇÊʶ¨µÄ£¬¶øÇÒÔÚÓÐÏÞÇøÓòÖеĽâÖ»ÒÀÀµÓÚ³õÊ¼Æ½ÃæÉÏÓÐÏÞÇøÓòÖгõʼ×ÊÁϵÄÖµ¡£¶ÔÓÚË«ÇúÐÍ·½³Ì×éÒ²ÓÐÀàËÆµÄ½áÂÛ¡£Ë«ÇúÐÍ·½³Ì£¨×飩µÄ³õ±ßÖµÎÊÌ⣬ҲÒÑÓÐÒ»¶¨µÄÑо¿¡£
ÕâÖÖ·ºº¯·ÖÎö·½·¨ÓÃÓÚ¾ßÏ൱һ°ãÐÔµÄÒ»½×·½³Ì×é
µÄ±ßÖµÎÊÌâÒ²ÓÐÏ൱µÄ³ÉЧ¡£ÕâÀï uÊÇδ֪µÄÏòÁ¿º¯Êý£¬Ai¡¢B¶¼ÊÇ·½Õ󣬃ÊÇÒÑÖªµÄÏòÁ¿º¯Êý¡£µ±Ai(x)ÊǶԳÆÕó£¬Õó
ΪÕý¶¨Ê±£¨B*ÊÇBµÄתÖã©£¬Ëü±»³ÆÎªÕý¶Ô³Æ·½³Ì×é¡£Ëü¿çÔ½Á˾µäµÄ·½³Ì·ÖÀà·½·¨£¬¼´°üÀ¨Á˲¿·ÖµÄË«Çú¡¢ÍÖÔ²ºÍÅ×ÎïµÄ·½³Ì×飬²¢ÇÒ°üÀ¨ÁËÏ൱¶àµÄ²»ÊôÓÚÉÏÊöÀàÐ͵ķ½³Ì×é¡£ÒѾŪÇå³þÁËÕâÀà·½³Ì×éһϵÁбßÖµÎÊÌâµÄ½âµÄ´æÔÚÐÔ¡¢Î©Ò»ÐԺͿÉ΢·ÖÐÔ¡£Õâ¸öÀíÂÛ¶Ô»ìºÏÐÍÆ«Î¢·Ö·½³ÌµÄÑо¿ÓÐÌØ±ðµÄÓô¦£¬ÒѾÄܹ»ÀûÓÃÕâÏîÀíÂÛ½â³ö¶àÔª»ìºÏÐÍ·½³ÌµÄһϵÁбßÖµÎÊÌ⣬µÃµ½¾µä½âµÄ´æÔÚÐÔ¡£
ÔÚÆ«Î¢·Ö·½³Ì»ò·½³Ì×éÖУ¬ÈçÉÏËùÊöµÄÍÖÔ²ÐÍ¡¢Ë«ÇúÐ͵ÈÖ»Õ¼ºÜÉÙµÄÒ»²¿·Ö£¬¾ø´ó²¿·ÖµÄ·½³Ì£¨×飩ÎÞ·¨°´¾µäµÄ·ÖÀà½øÐÐÑо¿¡£Òò´Ë£¬ÓбØÒª½¨Á¢¾¡¿ÉÄÜÆÕ±éÊÊÓõÄÀíÂÛ»òÕ߸ø³öеķÖÀà·½·¨¡£ÈËÃÇÏȶԳ£ÏµÊý·½³Ì½øÐÐÁËÑо¿£¬ÍùÍù²»¼Ó¶¨½âÌõ¼þ¶ø¿¼²ì·½³Ì
P(D)u£½ƒ ¡¡¡¡¡¡¡¡¡¡¡¡ (10)
µÄÇó½âÎÊÌ⣬ÕâÀïP(D)ÊÇÒ»¸ö³£ÏµÊýµÄƫ΢·ÖËã×Ó¡£ÓÉÓÚ¸µÀïÒ¶±ä»»¿ÉÒÔ½«Î¢·ÖÔËËã±ä³É³Ë·¨ÔËË㣬ËùÒÔËüÔÚ¶ÔÕâÖÖ·½³ÌµÄÑо¿ÖÐÆðןÜÖØÒªµÄ×÷Óã¬B.Âí¶û¸ñÀÊÈÈÊ×ÏÈÖ¤Ã÷ÈÎÒ»³£ÏµÊýƫ΢·ÖËã×ÓP(D)´æÔÚ»ù±¾½â£¬¼´Âú×ãP(D)E=¦ÄµÄ½â¡£ÕâÀï¦ÄÊǵÒÀ®¿Ëº¯Êý¡£L.ºÕ¶ûÂüµÂ¶ûÖ±½Ó¹¹Ôì³öÁËÒ»¸ö»ù±¾½âE£¬²¢Ö¸³öËüÊǾßÓÐ×îºÃµÄ¾Ö²¿ÐÔÖʵĻù±¾½â¡£¾Ý´Ë£¬Ö»Òª¶ÔÓÒ¶ËÏîƒÔÚÎÞÇîÔ¶´¦µÄÔö³¤ÐÔ×÷Ò»¶¨µÄÏÞÖÆ£¬·½³ÌP(D)u=ƒµÄ½â¾Í¿ÉÒÔÓþí»ýE*ƒ¸ø³ö£¬´Ó¶øµÃµ½·½³Ì(10)µÄ½âµÄ´æÔÚÐÔ¡£µ«ÕâÖֽ⣬һ°ãÖ»ÊÇ·Ö²¼½â£¨¼û¹ãÒ庯Êý£©£¬Ò²¾ÍÊÇ˵£¬¾ß½ôÖÂÖ§¼¯µÄC¡Þº¯ÊýËù³ÉµÄ¿Õ¼äÉϵÄÏßÐÔ·ºº¯£¬ÊÇÒ»ÖÖÈõ½â¡£ËùÒÔ¹ØÓÚ½âµÄ¹â»¬ÐÔÑо¿Ò²ÊÇÒ»¸öÖØÒª¿ÎÌâ¡£¶ÔijЩ·½³Ì¶øÑÔ£¬ÈôƒÎªC¡ÞµÄ£¬·½³Ì(10)µÄÈÎÒ»½âuÒ²±ØÊÇC¡ÞµÄ¡£ÕâÀà·½³Ì³ÆÎªÑÇÍÖÔ²µÄ£¬Ëü°üÀ¨ÍÖÔ²Ëã×Ó£¬µ«Êǹ㷺µÃ¶à¡£
µ±Óɳ£ÏµÊý·½³ÌµÄÒ»°ãÀíÂÛ¹ý¶Éµ½±äϵÊý·½³Ìʱ£¬·¢ÉúÁËÒâÍâµÄ¸´ÔÓÇé¿ö¡£1957ÄêH.¬ÒÁÊ×Ïȸø³öÒ»¸öÎ޽ⷽ³ÌµÄÀý×Ó£º
¡¡¡¡¡¡(11)
ʽÖÐuÊǸ´ÖµµÄδ֪º¯Êý¡£ËûÖ¸³ö£¬ ¿ÉÒÔѡȡƒ¡ÊC¡Þ(R3)£¬Ê¹µÃ(11)ÔÚR3µÄÈκηǿÕ×Ó¼¯Öзǵ«ÎÞ¾µä½â£¬¶øÇÒÒ²ÎÞ·Ö²¼½â¡£ºóÀ´ÖªµÀ£¬ÕâÖÖ¾Ö²¿²»¿É½âµÄƫ΢·Ö·½³ÌÊǷdz£¶àµÄ¡£
ΪÁ˶ԱäϵÊýÏßÐÔÆ«Î¢·Ö·½³Ì×÷ÉîÈëµÄÑо¿£¬¹Åµä¸µÀïÒ¶·ÖÎöµÄ¹¤¾ßÒÑÔ¶Ô¶²»¹»¡£60Äê´ú΢·ÖËã×ӵĸÅÄîÒ²ÓÐÁ˺ܶàÀ©³ä£¬´ÓÆæÒì»ý·ÖËã×Ó¿ªÊ¼·¢Õ¹ÎªÄâ΢·ÖËã×Ó£¬Ëü°üÀ¨Î¢·ÖËã×Ó£¬¾ßC¡ÞºËµÄ»ý·ÖËã×ÓÒÔ¼°ÍÖÔ²Ëã×ÓµÄÄæËã×ӵȵÈΪÆäÌØÊâÇéÐΣ¬ÀûÓÃËüÌÖÂÛ¸÷ÖÖÆ«Î¢·Ö·½³ÌÎÊÌ⣬Èç¾ßC¡ÞϵÊýƫ΢·ÖËã×ӵĿÂÎ÷ÎÊÌâµÄΩһÐÔ¶¨Àí¡¢¾Ö²¿¿É½âÐÔÎÊÌâ¡¢½âµÄÆæÐԵĴ«²¥ºÍ·´ÉäµÈµÈ£¬¶¼È¡µÃÁ˺ܺõĽá¹û£¬Äâ΢·ÖËã×ÓºóÀ´ÓÖ±»ÍƹãΪ¸µÀïÒ¶»ý·ÖËã×Ó£¬Ëü×ÛºÏÁ˹ŵäµÄ¸µÀïÒ¶·ÖÎö·¨ÓëÃݼ¶Êý·¨µÄÓŵ㣬°ÑËüÓÃÓÚ΢·ÖËã×ӵϝ¼ò£¬ÆäÊֶθüΪÁé»î¡£
ÒÔÄâ΢·ÖËã×ÓÓ븵ÀïÒ¶»ý·ÖËã×ÓΪ¹¤¾ß£¬½üÄêÀ´ÓÖ·¢Õ¹ÁË΢¾Ö²¿·ÖÎö·½·¨¡£°´ÕâÖÖ·½·¨¶Ôƫ΢·Ö·½³ÌµÄ½â×÷¸üΪ¾«Ï¸µÄ·ÖÎö£¬½â¾öÁËÐí¶àеĿÎÌ⣬³ÉΪ½üÊ®ÓàÄêÀ´ÏßÐÔÆ«Î¢·Ö·½³ÌµÄÖØÒª¹¤¾ß£¬²¢±»Öð²½ÍƹãÓëÓ¦ÓÃÓÚ´¦Àí·ÇÏßÐÔÎÊÌ⡣Ŀǰ¶ÔÓÚ½ö¾ßÓе¥ÖØÌØÕ÷µÄ΢·ÖËã×Ó£¨Ö÷ÐÍËã×Ó£©ÒÑ×÷Á˱Ƚϳä·ÖµÄÑо¿¡£
ÓëÏßÐÔ·½³ÌÀíÂÛÅ·¢Õ¹µÄͬʱ£¬¸÷ÖÖ·ÇÏßÐÔÎÊÌâµÄÑо¿Ò²»ñµÃÁËÐí¶à½øÕ¹£¬¿ÉÒÔ˵£¬Ðí¶à½ÏΪ¸´ÔÓµÄÎïÀíÎÊÌâ¶¼ÊÇ·ÇÏßÐÔÎÊÌâ¡£ÔÚÓеÄʱºò£¬ÓÃÏßÐÔ·½³Ì×÷Ϊ·ÇÏßÐÔ·½³ÌµÄ½üËÆ£¬Ò²Äܹ»µÃ³öÏ൱ºÃµÄ½á¹û£¬µ«ÔÚÐí¶àÇé¿öÏ£¬·ÇÏßÐÔ·½³Ì¾ø²»ÊÇÓÃÏßÐÔ·½³ÌËùÄܹ»´úÌæµÄ¡£
¾ÍË«ÇúÐÍ·½³ÌµÄ¿ÂÎ÷ÎÊÌâ¶øÑÔ£¬ÔÚ³õʼʱ¿Ì¸½½ü£¬·ÇÏßÐÔ·½³ÌµÄ½âµÄ´æÔÚÐÔÊÇÄܹ»ºÜºÃµØ½â¾öµÄ¡£µ«ÕâÖÖ½âÓÐʱ»áÔÚÓÐÏÞʱ¼äÄÚÇ÷ÏòÎÞÇî»òÆä¿É΢·ÖÐÔÊܵ½ÆÆ»µ£¬´Ó¶ø¼ä¶Ï½â¾Í³ÉΪÑо¿µÄ¶ÔÏó¡£ËüÊÇÓÃÀ´ÃèÊöÆøÌåÁ¦Ñ§Öм¤²¨µÄ´«²¥¡¢·´ÉäµÈÏÖÏóµÄ¡£´ËÍ⣬ÔÚʲôÌõ¼þϲ»»á³öÏÖÆæÐÔ£¬Ò²ÊǽüÄêÀ´ÖØÒªµÄÑо¿¶ÔÏó¡£
·ÇÏßÐÔ·½³ÌËùÃèÊöµÄ²¨£¬Æä²¨ÐÎÍùÍù»áËæÆä´«²¥¶ø·¢Éú»û±ä£¬µ«¶ÔÓÚijЩ·½³ÌÀ´Ëµ£¨ÈçKdV·½³Ì£©´æÔÚ×Ų»·¢Éú»û±äµÄ²¨¶¯½â£¬³ÆÎª¹ÂÁ¢²¨¡£Á½¸ö¹ÂÁ¢²¨Ï໥×÷Óúó£¬ÈÔÈ»·Ö¿ª³ÉÁ½¸ö¹ÂÁ¢²¨£¬ÕâÖÖÏÖÏóÒ²ÒýÆðÁËÈËÃǺܴóµÄÐËȤ£¬²¢ÒÑ·¢Õ¹ÁËϵͳµÄÀíÂÛ¡£
Å×ÎïÐͺÍÍÖÔ²Ð͵ÄÄâÏßÐÔ·½³Ì£¬ÓÉÓÚÏÈÑé¹À¼ÆµÄÉîÈë·¢Õ¹£¬ÒÑÓÐÏ൱¶àµÄ³É¹û¡£ÓÉÓÚÕâÖÖËã×ÓµÄÄæËã×ÓÍùÍùÓÐÏ൱ºÃµÄ¹â»¬µÄÐÔÖÊ£¬ËùÒÔ½âµÄ¿É΢·ÖÐÔÒª±ÈË«ÇúÐÍ·½³ÌµÄÇé¿öºÃµÃ¶à¡£µ«Å×ÎïÐÍ·½³ÌµÄ½âÈÔÈ»¿ÉÄÜÔÚÓÐÏÞʱ¼äÄÚ±äΪÎÞÇÍÖÔ²ÐÍ·½³ÌÒÀijÖÖÒâÒ嶨Òå³öÀ´µÄ¹ãÒå½âÈÔÈ»²»ÄܾßÓкõĿÉ΢·ÖÐÔ£¬¶ÔÓÚÃèÊöÕ³ÐÔÁ÷ÌåÔ˶¯µÄÄÉά-˹ÍпË˹·½³Ì£¬Ò²ÓÐÉîÈëµÄ³É¹û£¬µ«¶Ô½âµÄ´ó·¶Î§´æÔÚÐԺͽâµÄÕýÔòÐÔÈÔÓкܶàÎÊÌâ¡£½üÄêÀ´£¬¶ÔÓÚÃèÊö¼ÈÓÐÀ©É¢ÏÖÏóÓÖÓл¯Ñ§·´Ó¦µÄ·´Ó¦À©É¢·½³Ì£¬Ò²Óн϶àÑо¿£¬²¢ÇÒÔÚÉúÎïѧµÈÁìÓòÓÐËùÓ¦Óá£
ÔÚ·ÇÏßÐÔÎÊÌâµÄÑо¿ÖУ¬²»¶Ï·¢Õ¹³öһЩ¶ÀÌØµÄÊýѧ·½·¨£¬³ýÁË´ÓÏßÐÔÎÊÌâ¹ý¶Éµ½·ÇÏßÐÔÎÊÌâʱ³£ÓõIJ»¶¯µã·½·¨Íâ£¬ÍØÆË¶È·½·¨Óë±ä·Ö·¨(°üÀ¨ÁÙ½çµãÀíÂÛ)ÊÇÑо¿·ÇÏßÐÔÎÊÌâ´ó·¶Î§½âÓë¶àÖØ½âµÄÓÐЧ¹¤¾ß£¬´ËÍ⣬ÔÚ¸÷ÖÖ²»Í¬µÄ¾ßÌåÎÊÌâÖУ¬µ¥µ÷Ëã×Ó·½·¨¡¢·ÇÏßÐÔ°ëȺ¡¢Òþº¯Êý¶¨ÀíµÈ¶¼Æð×ÅÖØÒªµÄ×÷Óᣵ«×ܵÄÀ´Ëµ£¬¶ÔÓÚ·ÇÏßÐÔ·½³ÌµÄÑо¿Éд¦ÓÚ¸÷ÖÖÎÊÌâºÍ·½·¨·Ö±ðµØ·¢Õ¹µÄ״̬£¬ÉÐδÐγÉÒ»¸öͳһµÄÀíÂÛ£¬»¹Ã»ÓÐÒ»ÖÖÆÕ±éÊÊÓÃÓÚ¸÷ÀàÎÊÌâµÄ·½·¨¡£ÔÚʵ¼ÊÓ¦ÓÃÖУ¬³£ÀûÓõç×Ó¼ÆËã»ú½øÐÐÊýÖµ¼ÆËãÀ´Çó½â£¬¶ÔÐí¶àÎÊÌâ¶¼Äܹ»È¡µÃÏ൱׼ȷµÄ½á¹û¡£
ƫ΢·Ö·½³ÌÍùÍù»¹ÊÇ´¦Àí·ÖÎöÎÊÌâºÍ¼¸ºÎÎÊÌâµÄÓÐЧµÄ¹¤¾ß£¬ÀýÈ縴±äº¯ÊýÂÛ£¬ÌرðÊǶàÔª¸´±äº¯ÊýÐèÒªÓÃÆ«Î¢·Ö·½³ÌÈ¥½â¾öÐí¶àÎÊÌ⡣΢·Ö¼¸ºÎѧºÍƫ΢·Ö·½³Ì¹ØÏµÒ»Ö±Ê®·ÖÃÜÇУ¬Î¢·Ö¼¸ºÎËùÌá³öµÄÎÊÌ⣬ÊÇÆ«Î¢·Ö·½³Ì·¢Õ¹µÄÒ»ÏÁ¦¡£½üÄêÀ´£¬Î¢·ÖÁ÷ÐÎÉÏµÄÆ«Î¢·Ö·½³ÌµÄÑо¿£¬È¡µÃÁ˺ܶàÉîÈëµÄ³É¹û£¬ÈçÏßÐÔÍÖÔ²Ëã×ÓµÄÖ¸±ê¶¨Àí£¬ÑîÕñÄþ-Ã×¶û˹·½³ÌºÍÃÉÈÕ-°²Åà·½³ÌµÄÇó½â£¬¼«Ð¡ÇúÃæºÍµ÷ºÍÓ³ÉäµÄÑо¿µÈµÈ£¬Î¢·Ö¼¸ºÎºÍƫ΢·Ö·½³ÌµÄÏà»¥ÉøÍ¸£¬³ÉΪһ¸öÖØÒªµÄ·¢Õ¹Ç÷ÊÆ¡£
´Ó50Äê´úÆð£¬ÖйúÑо¿Æ«Î¢·Ö·½³ÌÀíÂÛºÍÓ¦ÓõÄÈËÔ±Ôö³¤ºÜ¿ì£¬Ñо¿µÄ·¶Î§Ò²ÈÕÒæ¹ã·º£¬ÔÚÈô¸ÉÁìÓòÖУ¬ÒѾȡµÃÁËÓйú¼ÊÓ°ÏìµÄһϵÁгɹû¡£
- ²Î¿¼ÊéÄ¿
- R.Courant and D£¬Hilbert£¬Methods of MatheMatical Physics£¬Vol. 1¡«2£¬ International Pub.£¬ New York£¬1953£¬1962.
- L.Hormander£¬The Analysis of Linear partial Differential Operators£¬ Vol.1¡«3£¬ Springer-Verlag£¬Berlin£¬1983.