[拼音]:shuizhi shuxue moxing
[外文]:water quality models
描述水体中水质变化规律的数学表达式。水文数学模型之一。它主要以物质守恒原理为基础,模拟污染物质排入水体以后,水体的水质在物理、化学和生物化学等过程中的变化。水质数学模型反映污染物排放与水体质量的定量关系,主要用于水体污染特性、水体纳污容量的研究和水质预测。
按研究的水体,水质数学模型分为:地表水(河流、湖泊等)水质数学模型、地下水水质数学模型和海水水质数学模型。本条目涉及前两种模型。
河流水质数学模型
河流水质研究较多,各国学者提出了许多模型。从河流点污染源、确定性单变量的水质数学模型方面说,大致有如下三种。
推流模型一般在河流纵向上,由于水流的推动,污染物的平流(又称对流)输送,远比扩散显著。根据流动方向上的推流作用,导出推流模型,近似地模拟(初始条件下河流横断面上水质浓度、流速分布是均匀的)水质变化。其一维模型为:
式中C为污染物质浓度;Q为河流流量;A为河流横断面积;t 为时间;x为河流纵向距离;S为河段中污染物的增添(又称源)或衰减(又称汇)。
如上游污水来量和水流都是稳定的,即
又在一个均匀河段里,河段平均流速即
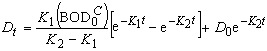
可视为不变,则成为一维稳态模型。据此模拟有机污染生化需氧量(碳化阶段记为BODC)时,对ΣS(C,x)项,只考虑K1·C(K1为耗氧系数);在模拟氧亏量(即缺氧量D=饱和溶解氧-现存溶解氧),只考虑氧平衡的两项K1C 和K2D(K2为复氧系数)。导得简化的水质模型并解出:
式中下角标0和t分别为起始量和t 时后的量。两式分别称为古典的自净方程和氧垂方程。后者表示受污的单一河段中缺氧量沿河程或随时间的变化,可绘出一条曲线,呈下凹状,称氧下垂曲线。
扩散模型污染物质进入河流,在初始横断面上基本均匀后往下流动时,由于断面流速不均匀,实际上不仅存在推流作用,还存在着分(弥,离)散作用,因此应增加分散项,成为一维的扩散-推流模型,简称扩散模型。
式中唕x为顺流向的分散系数。
当污染物质在河流水深方向是均匀分布时,只存在横向与纵向的扩散作用,可以导出二维扩散模型,如果污染物在水深方向也是不均匀的,则可导出三维扩散模型。
槽列模型这种模型按物质守恒原理把受污染的河流模拟为一系列连续搅拌即完全混合的串联水槽流,称为CSTR模型,其形式为
式中Vi为第i 河段的河水体积,i=1,2,3,…,n;Qi为第i河段河流流量;Ci为第i河段污染物成分浓度;Si为第i河段增添(源)与衰减(汇)项。
湖泊水质数学模型
湖泊通常具有水域广阔、水流缓慢和风浪作用明显等特点,其水质模型的建立更趋复杂。
完全均匀混合型模型污水排入湖泊后,在湖流和风浪作用下,可能出现湖内各处水质浓度均一的完全均匀混合现象,这时可按物质平衡原理,模拟湖泊内物质收支和积存的关系建立各种水质模型,例如描述大湖中营养物质积存过程的福朗沃多(Vollonwerdor)模型
式中C为湖泊营养物质的浓度;V为湖泊容积;Q 为湖泊流出水量;vs为营养物质在湖水中的沉降速度;W 为营养物质的入流量;t为时间。
不均匀混合型模型污水在湖水稀释扩散过程中往往有二维或三维的扩散现象,为了简化湖水中的水质现象,有时不采用直角坐标,而以圆柱形坐标建立水质方程。对难降解的污染物质可用下列模型
式中C为离入湖口距离s处的湖水某难降解物质的浓度;Q为入湖废水量;E为湖水的紊动扩散系数;φ为废水在湖水中扩散角度,由排出口附近的地形决定;h 为计算段湖水的平均深度。在深水库或湖泊中,夏秋季节往往发生热分层现象,这时通常按物质平衡原理,先建立各分层的水质模型,进而得出整个水深方向上的浓度分布模型。
地下水水质数学模型
污染物进入含水层以后,一方面被水挟带随水流运动;另一方面由于和原来的地下水中的该物质含量存在浓度差,产生分子扩散;结果,随着地下水流动,污染物在含水层中分布的范围越来越大,这种现象称为水动力弥散。据此导出的地下水水质数学模型称为对流-弥散模型,是一种最常用的地下水水质模型。其难降解污染物一维模型的偏微分方程为
式中C 表示含水层中某一时间某一地点的污染物(或某种溶质)的浓度;d 为参数,称为水动力弥散系数;q为地下水渗透速度;n 为含水层的孔隙度。正负号表示地下水流方向和x 轴正向的关系,一致时取正号,反之取负号。在不同的初始条件和边值条件下求解上述偏微分方程,可以得出含水层中污染物的分布。
- 参考书目
- A.K.Biswas,ed.,Models for Water Quality Management,McGraw-Hill,New York,1981.
- A.James,MathematicalModels in Water Pollution Control,John Wiley & Sons,New York,1978.