[拼音]:fushe wendu
[外文]:radiation temperature
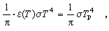
若实际物体的总辐射亮度(包括全部波长)与绝对黑体(见黑体辐射)的总辐射亮度相等,则黑体的温度称为实际物体的辐射温度。此定义的数学表达式是
或者
式中ε(T)为实际物体的总发射率,它是温度的函数,其数值在0与1之间;σ为斯忒藩—玻耳兹曼常数,等于5.67032×10-8 W·m-2·K-4;Tp 为绝对黑体的温度或实际物体的辐射温度(K);T为实际物体的真实温度(K)。
由于ε(T)是小于 1的正数,因而实际物体的辐射温度总小于它的真实温度,即Tp<T。物体的总发射率越小,其辐射温度偏离真实温度就越大。此外,实验指出,在同一温度下,物体的总发射率始终小于它的光谱发射率,由此,物体的辐射温度总比它的相应的亮度温度要小。这就是说,任何物体的辐射温度对真实温度的偏离比亮度温度对真实温度的偏离更大。测量实际物体的辐射温度是用辐射高温计(见高温计)或辐射感温器进行。