[拼音]:liangdu wendu
[外文]:luminance temperature
若实际物体在某一波长下的光谱辐射度(即光谱辐射亮度)与绝对黑体(见黑体辐射)在同一波长下的光谱辐射度相等,则黑体的温度被称为实际物体在该波长下的亮度温度。上述定义的数学表示式是
式中λ为波长;ε(λ,T)为温度为T 时实际物体在波长λ下的光谱发射率,它的数值在0与1之间;C1为第一辐射常数,等于3.7418×10-16W·m2;C2为第二辐射常数,等于1.438 8×10-2m·K;T为实际物体的真实温度(K);TS为绝对黑体的温度或实际物体在波长λ下的亮度温度 (K)。
在实用的温度(T〈3000K)及常用波段的波长(λ<0.8μm)范围内,
及
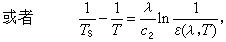
。因而式(1)可变成
(2)
该式是光测高温学的一个常用公式。它给出了实际物体的亮度温度与其真实温度之间的定量关系。在已知波长和物体的光谱发射率的情况下,可以根据式(2)由亮度温度计算出真实温度。
由于ε(λ,T)总是小于1的正数,即式(2)的右侧总为正数,因此实际物体的亮度温度总小于它的真实温度。物体的光谱发射率偏离1越远,则其亮度温度偏离真实温度就越大;反之,光谱发射率越接近于1,那么亮度温度就越接近于真实温度。以上结论表明,在相同的温度与波长下,实际物体的热辐射总比黑体辐射小;而在具有相同热辐射的条件下,黑体温度必然低于实际物体的实际温度。
在实际测温中,被测物体的真实温度通常是一确定的值。这样,物体的亮度温度是一个与波长相联系的量。在用具有不同波长的亮度高温计对同一物体进行测温时,所测得的亮度温度值是不一样的。一般说来,所取的波长愈长,则测得的亮度温度愈低;而波长愈短,则亮度温度愈高。因此,实际物体的亮度温度值只有在注明其相应波长数值的情况下才是有意义的。
亮度高温计,例如光学高温计、光电高温计等(见高温计),测得的结果是实际物体在确定波长下的亮度温度。