[拼音]:jituan zhuanyi juhe
[外文]:group-transfer polymerization
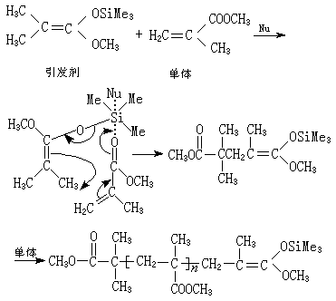
单体的加成增长反应伴随着基团转移的聚合反应。这是20世纪80年代才发现的新聚合反应。基团转移聚合属于链式聚合,按亲核的加成聚合机理反应。例如,2-甲基丙烯酸甲酯单体以 1-甲氧基-1-三甲基硅氧-2-甲基-1-丙烯为引发剂,在催化剂──亲核试剂Nu匉HF娛──的作用下,在室温即能发生基团转移聚合。这种聚合反应在聚合的引发和每一步增长反应中,都有三甲基硅基SiMe3基团转移到进来的单体上:
式中Me为甲基。甲基丙烯酸甲酯通过基团转移聚合,可得到分子量分布较窄的“活”的聚合物。如果加入其他单体,能生成嵌段共聚物。也可用不同的终止剂来合成带有不同端基的遥爪聚合物。α,β-不饱和酸、酯、酮、腈等化合物也能进行基团转移聚合。现在基团转移聚合技术已用于涂料的生产中。