[拼音]:guangdian xianxiang
[外文]:photoelectric phenomena
电磁辐射(可见光、紫外线、X 射线或γ射线)投射到物体(气、液、固)上被物体吸收,使这物体的电性质发生变化的现象。它主要包括光电效应、光电离现象、光电导现象、光生伏打效应、俄歇效应、康普顿效应、光核效应。
光电效应在光辐照下,物体内部的电子获得足够的能量越过表面从物体内逸出,这种现象叫做光电发射效应,逸出的电子称为光电子。每个光量子具有能量hv,其中h是普朗克常数,v是光的频率。光子进入物体后与电子作用,如果电子是自由的,则吸收光子能量的电子,必须克服物体表面势垒的阻挡才能逸出物体表面,电子从金属表面逸出时所须作的功称为材料的逸出功或功函数,用符号W 来表示。因此,电子逸出表面时的最大动能是
。 (1)
如果固体中的电子是束缚的,则光子能量还必须大于原子的电离能。
纯金属的逸出功都比较高,它不但与材料有关,还与金属表面状态有关。掺杂与表面化学处理是降低材料逸出功的一些具体办法。绝缘体与半导体中电子的能量分布不同于金属的,逸出功也和金属的不同。结果,人们发现不同材料,尽管逸出功相同,其光电产额(光电子数与入射光子数之比)和入射光子的能量关系并不一样。低逸出功与高光电产额是一切近代光电材料所必须具备的指标,吸收光子与发射出光电子之间的时间延迟小于0.1ns。
光电离现象当光辐照气体(或液体)时,如果光子能量大于分子(或原子)的电离能,则中性气体(或液体)的分子(或原子)被电离成电子与正离子,这一过程称为光电离现象。
光电导现象材料在光的辐照下,其电导发生变化的现象。在光辐照下,材料的电导通常是增大的,但也有少数相反情况。导体的电导很大,在光的辐照下,电导不会发生明显的变化。会发生明显变化的材料是半导体,因此,光电导现象是半导体的主要特征之一。
当半导体受到光辐照时,自由载流子(自由电子与空穴)增多、电导变大,直到电流-电压曲线达到饱和为止。光电导中电子的基本过程取决于材料的能带结构以及材料中的杂质等因素。自由载流子的寿命是决定光灵敏度(即每一吸收光子所产生的电导变化)最重要的因素之一。寿命与载流子复合过程的性质有关。半导体的光吸收特性是另一个决定光灵敏度的重要因素。当光子能量大于半导体的禁带能隙时,每个光子可以产生一个自由电荷对,即一个自由电子与一个自由空穴。如果光子能量比禁带能隙大很多倍,吸收一个光子可以产生许多自由电荷对。
光生伏打效应是指物体由于吸收光子而产生电动势的现象。当两种不同材料所形成的结受到光辐照时,结上产生电动势。它的过程先是材料吸收光子的能量,产生数量相等的正、负电荷,随后这些电荷分别迁移到结的两侧,形成偶电层。光生伏打效应虽然不是瞬时产生的,但其响应时间是相当短的。当前,光生伏打效应主要是应用在半导体的PN结上,把辐射能转换成电能。大量研究集中在太阳能的转换效率上。理论预期的效率为24%。实验上已达14%。
俄歇效应当X射线或γ射线辐照到物体上时,由于光子能量很高,能穿入物体,使原子内壳层上的束缚电子发射出来,于是,在内壳层上出现空位,而原子外壳层上的电子可能跃迁到这空位上。一定的内原子壳空位可以引起许多个俄歇电子跃迁。跃迁时释放的能量将以辐射的形式向外发射。这种现象是1925年P. -V.俄歇所发现的,因而称为俄歇效应。跃迁的电子名为俄歇电子。俄歇效应是研究核子过程(如捕捉过程与内转换过程)的重要手段,同时从俄歇电子的能量与强度,可以求出原子或分子中的过渡几率。反之,由已知能量的俄歇光谱线,可以校准转换电子的能量。
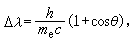
康普顿效应X射线或γ射线通过物质时,其散射线中有部分改变了原来的波长,波长的改变量与入射线的波长无关,只由散射角决定。这种现象称为康普顿效应。其机制是:当光子和静止电子碰撞时,光子将把一部分能量与动量给予电子,而光子与电子将沿不同方向运动。理论分析结果是入射与散射光子的波长差为
(2)
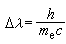
式中h是普朗克常数,me是静止的电子质量,с是真空中的光速,θ是光子散射角。
的值为2.4262×10-12米,它是长度的基本原子单位,并称为康普顿波长。
不同能区的光子与分子、原子、电子、原子核发生相互作用时产生不同的效应。当入射光子的能量较低时(hv<0.5MeV)以产生光电效应为主;入射光子能量很高时(hv>10MeV),光子可产生正、负电子对;入射光子的能量介于以上能区之间时,其能量的衰减主要取决于康普顿散射。
光核效应如果光子的能量特别高,其波长和原子核的直径相当,则可以发生各种核反应。和光电效应极其类似的过程是,在原子核吸收了光子能量后,发射出质子或中子。更复杂的一些相互作用是发射出较重的粒子(α粒子、氘核、氚核),或许多个粒子,造成核的光裂变。
- 参考书目
- A. L. Hughes and L. A. DuBridge, Photoelectric Phenomena,McGraw-Hill, New York, 1932.