[拼音]:xiangduilun diandonglixue
[外文]:relativistic electrodynamics
相对论性粒子的电动力学。它采用经典的方法来研究带电的相对论性粒子与电磁场的相互作用,研究粒子在电磁场中的运动和对场的激发。这里所谓的相对论性粒子是指其速度接近真空中光速c,因而其运动不服从牛顿方程而必须用相对论力学方程来处理的粒子。相对论电动力学主要应用于高能加速器以及高能电子学中,在高能天体物理等其他学科中也有应用。
相对论电动力学的基本方程是麦克斯韦方程组、洛伦兹力公式(见经典电动力学)以及粒子的相对论力学方程,即
(1)
式中m0为粒子的静质量,с为真空中光速。将这些基本方程联立起来,就可以完全决定电磁场和带电粒子的运动。
相对论性粒子的特点表现在许多方面。例如,通常同号电荷间的排斥作用会使得粒子束逐渐散开,但在高速粒子的情况,一方面由于从粒子发出的电力线集中在与速度垂直的面附近(见运动带电粒子的电磁场),而在此区域,粒子间的电场作用与磁场作用在很大程度上相互抵消;另一方面,由于高速粒子的质量有极大的增加,因此相对论粒子束的散开效应大大降低。在有些情况(如电子直线加速器中)甚至可以忽略不计。这一结果对高能加速器、高能电子学器件甚至受控热核反应装置都有重要意义。又如在回旋加速器中,粒子的回转频率为
, (2)
m和q为粒子的质量和电荷,A为磁感应强度。在低能时,上述频率为一个与粒子能量无关的常数。但在相对论情况,
,其中U为粒子的能量(包括静质量所相应的能量在内)。这样随着粒子能量U的增加,回转频率将减小。要使交变电源与粒子的回转同步,有两种方法,或者使电源频率也随之逐渐减小,或者使磁感应强度B随着轨道半径增大而增加。相对论性粒子的辐射率也有它的特点。对于直线加速的带电粒子,辐射率为
, (3)
ɑ为粒子的加速度,而对作等速圆周运动的带电粒子,辐射率公式为
。 (4)
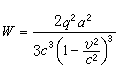
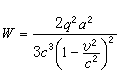
后者分母中少一个
的因子。可是实际上,在高能直线加速器中,辐射损失一般可忽略,而在高能同步加速器或电子加速器中(轨道都是圆形),辐射损失却可能十分严重。这是因为对于作直线运动的相对论性粒子,即使能量增加率较大,相应的ɑ也很小。式(3)通过相对论力学方程可以化为
。 (5)
这样,在外力一定的情况下,直线加速器中粒子的辐射率是一定的,并不随能量的增大而增加。粒子的辐射损失与外力对粒子所作功率的比值为
, (6)
v愈大,比值ξ反而愈小。v接近с时,ξ接近
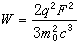
。对于实际采用的 F,这个值是很小的。在圆形轨道情况下,由于向心加速度趋于一个有限值
,故相应的辐射率为
, (7)
它与粒子能量U的四次方成正比。特别对于电子,由于静质量小,在高能时W会变得很大。因而电子的高能圆形轨道加速器都要采用很大的半径。
在加速器中,相对论电动力学还用来研究注入粒子的成束率、束流的聚焦及其运动的稳定性、粒子的能谱分布等重要问题。当束流强到一定程度时,还要研究束流对真空匣和腔体内电磁场的激发以及这种激发场对束流的反作用等。
相对论电动力学的另一重要应用是高能电子学。值得提出的是70年代在回旋管研究上的成就。它解决了产生大功率亚毫米波段的微波问题。
在回旋管中,在强磁场中作回旋运动的相对论性电子束将与微波相互作用(当磁场足够强时,电子的回旋频率可达到亚毫米波的频段)。利用相对论电子的回旋频率随着电子能量的减少而增加的效应,适当调谐微波,可使电子束不断地向微波放出能量,从而得到大功率的亚毫米波的输出(相应于回旋加速器的反过程)。这一成功是微波电子学的一项重大突破,它填补了从毫米波到红外射线之间的间隙。