阳极溶出伏安法

浏览

一种灵敏度很高、用于痕量组分的电化学分析法。如果用悬汞电极代替一般极谱法中的滴汞电极,同样可以得到适用于定量测定的极谱波。在图1a 中,

图

汞电极是阴极,电极上起的是还原反应:

Cd公式 符号+2e+Hg─→Cd(Hg)

如果把悬汞电极的电位固定在E′处(约-1伏),Cd公式 符号就在电极上被还原而生成汞齐。电解一段时间以后,汞中的Cd已达到一定浓度,然后把 883型极谱仪的分压轮扳到“退”的位置,让悬汞电极的电位从-1伏向零电位的方向移动,就得到图1b中 Cd的氧化波。这时的电极反应为:

Cd(Hg)─→Cd公式 符号+2e+Hg

金属镉从电极中“溶出”,重新氧化为Cd2+,回到溶液中。由于溶出过程中悬汞电极等汞电极是阳极,又因为使用的极化电极不是滴汞电极而是表面不再更新的悬汞电极、汞膜电极或玻璃碳汞电极,故称阳极溶出伏安法

预电解

这是第一步操作,即将被测定的金属离子在一定的电位(相当于该离子的阴极波上产生极限电流的电位)下,部分地还原为金属,该金属或者溶解在汞电极中,或者在电极表面析出。为了加速电解过程,溶液要进行搅拌。预电解是一个富集过程,预电解的时间愈长,溶出的时间愈短,则灵敏度愈高,能把已有的极谱法的灵敏度提高2~4个数量级。如果预电解的时间为τ,预电解电流为I,溶出时间为t,溶出的峰电流为ip,则得:

公式 符号

如果τt,则ipI。在单扫描极谱仪和脉冲极谱仪上进行阳极溶出,则溶出的时间很短,灵敏度很高,示差脉冲极谱阳极溶出伏安法能测定的浓度可低到10-12摩/升。

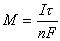
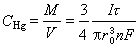
阳极溶出伏安法的峰电流部分地决定于预电解,部分地决定于溶出技术。以悬汞电极为例,如果预电解时间不长,样品溶液的体积又足够大,则预电解电流实际上保持不变,如果电极上析出的金属摩尔数为Μ,则得:

公式 符号

式中n为电极反应的电子转移数;F法拉第常数。如果V为悬汞电极的体积,公式 符号r0为悬汞的半径),则悬汞电极中金属在汞中的浓度为:

公式 符号

对于搅动溶液中的悬汞电极,预电解电流为:

公式 符号

式中C为被测离子在样品溶液中的浓度;D为离子的扩散系数;f为搅拌速度;k为实验值。

阳极溶出

是以一定的方式使微电极的电位由负向正的方向移动,使电极内的金属重新氧化而产生氧化电流的过程。如果在单扫描极谱仪上进行阳极溶出,则在悬汞电极上得到的溶出峰电流为:

公式 符号

式中 A为电极面积;DHg为金属在汞中的扩散系数;v为溶出时电极电位改变的速率。

由以上公式可知,最后得到的溶出峰电流不但决定于被测金属的浓度,也决定于预电解的时间、搅拌速度、悬汞的半径和溶出时电极电位改变的速率。因此,要使实验结果的重现性好,必须严格控制实验条件。

电极

悬汞电极的优点是重现性好,缺点是:

(1)电极面积与体积之比小,使灵敏度低,溶出峰宽;

(2)为了防止汞滴下落,搅拌速度要慢;

(3)需要用滴汞电极提供汞滴。

汞膜电极(铂球镀银沾汞)的优点有:

(1)面积与体积之比大,灵敏度高,溶出峰窄;

(2)旋转电极或搅拌溶液的速度快;

(3)使用方便。汞膜电极的缺点有:

(1)重现性差;

(2)需要有其他金属作衬底,其中银、镍、铂等的超电压低,而且微溶于汞,衬底金属与被衬金属之间可能生成金属间化合物,使溶出峰重现性差。

玻璃碳汞电极以玻璃碳为衬底,克服了汞膜电极会形成金属间化合物的缺点。

应用

可用阳极和阴极溶出伏安法测定的元素有40种左右(图2 )。

图

溶出伏安法也可测定Cl-、Br-、I-、S2-等能与汞生成难溶化合物的阴离子,方法是在较正的电位将汞氧化为固体汞化合物(如氯化亚汞硫化汞等),沉积在电极表面,然后使电极的电位由正向负的方向变化,使汞化合物还原,产生还原电流。由于在溶出过程中,电极是阴极,其测定方法又称阴极溶出伏安法。