[拼音]:wutoujian
[外文]:aconitine

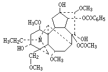
一种二萜生物碱,分子式C34H47NO11。存在于乌头属欧乌头、川乌、北草乌和华乌头等多种植物之中。
乌头碱为无色透明晶体;熔点为204℃,比旋光度为
(氯仿);溶于氯仿、苯等,难溶于水和石油醚。乌头碱为酯类化合物,易水解失去一分子乙酸,毒性即降低,进一步水解除去一分子苯甲酸生成乌头胺,其毒性仅为乌头碱的二千到四千分之一。中药附子(乌头的侧根)经过炮制能降低毒性,可能与乌头碱被水解后毒性降低的性质有关。
乌头碱对各种神经痛和痛风有镇痛作用,但由于其毒性太大,早已不作临床用药。中医和民间广泛用各种草乌来散寒止痛,治疗风湿顽痹,但由于草乌中多含有乌头碱,使用时必须注意。乌头碱中毒剂量(口服)为0.2毫克,致死量为2.5毫克,中医用绿豆或金银花解毒。