[Æ´Òô]£ºXindu
[ÍâÎÄ]£ºreliability
±íʾһÖÖ²âÁ¿¹¤¾ß¡¢²âÁ¿³ÌÐò»ò²âÁ¿½á¹ûµÄÒ»ÖÂÐÔºÍÎȶ¨ÐԳ̶ȡ£Óֳƿɿ¿ÐÔ¡£ËüÊÜËæ»úÎó²îÓ°Ï죬Îó²îԽС£¬ÐŶÈÔ½¸ß¡£Ò²¿ÉÊÓÆäΪ²âÁ¿½á¹ûÏû³ýËæ»úÎó²îÓ°ÏìµÄ³Ì¶È£¬ÈκβâÁ¿¶¼Óв»Í¬³Ì¶ÈµÄËæ»úÎó²î£¬ÐŶȴóСÓÃÐŶÈϵÊý±íʾ£¬ÆäÖµÔÚ0Óë¡À1Ö®¼ä¡£
¿ÉÒÔ´Ó3¸ö·½ÃæÀ´Àí½âÐŶȣº
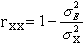
£¨1£©Ö¸ÊµµÃ·ÖÊýºÍÕæ·ÖÊýÏà²îµÄ³Ì¶È£¬Ïà²îԽС£¬²âÁ¿½á¹ûµÄÐŶÈÔ½¸ß¡£ÐŶÈ(rXX)¿É¶¨ÒåÎªÕæ·ÖÊý·½²î(ˆˆ)ÓëʵµÃ·ÖÊý·½²î£¨ˆ‰£©µÄ±ÈÂÊ£¬¼´
¡£ ÓÉÓÚÕæ·ÖÊýÔÚʵ¼Ê²âÁ¿ÖÐÊǵò»µ½µÄ£¬¶øÕæ·ÖÊý·½²îµÈÓÚʵµÃ·ÖÊý·½²î¼õÈ¥Ëæ»úÎó²î·ÖÊý·½²î(ˆ€)£¬ËùÒÔ£¬ÐŶÈÒ²¿É±íʾΪ£º
¡£
£¨2£©Ö¸Í³¼ÆÁ¿Óë²ÎÊýÖ®¼äµÄ½Ó½ü³Ì¶È¡£ÔÚͳ¼ÆÑ§ÖУ¬Ñù±¾µÄÊý×ÖÌØÕ÷£¨ÈçÑù±¾µÄƽ¾ùÊýºÍ·½²î£©³ÆÎªÍ³¼ÆÁ¿£¬×ÜÌåµÄÊý×ÖÌØÕ÷(Èç×ÜÌåµÄƽ¾ùÊýºÍ·½²î)³ÆÎª×ÜÌå²ÎÊý£¬¼ò³Æ²ÎÊý¡£¸÷ÖÖͳ¼ÆÁ¿¶¼´æÔÚÐŶÈÎÊÌ⡣ͳ¼ÆÁ¿Ô½½Ó½ü²ÎÊý£¬ÆäÐŶȾÍÔ½¸ß¡£ÖªµÀÁËͳ¼ÆÁ¿Óë²ÎÊýµÄ½Ó½ü³Ì¶È£¬±ã¿É¶Ô²ÎÊý½øÐÐÇø¼ä¹À¼Æ¡£Í¨³£¸÷ÖÖͳ¼ÆÁ¿µÄÐŶÈÒÔ¸÷×Եıê×¼Îó»ò»úÎóÀ´±íʾ¡£ÕâÒ»ÔÀíºÍ·½·¨Ò²ÊÊÓÃÓÚ²éÃ÷ʵµÃ·ÖÊýÓëÕæ·ÖÊýµÄ½Ó½ü³Ì¶È¡£Í¨¹ý¶ÔʵµÃ·ÖÊýµÄ±ê×¼Îó»ò»úÎóµÄ¹À¼Æ£¬¿ÉÒÔÀûÓÃÇø¼ä¹À¼ÆµÄ¹«Ê½£¬Ëã³öʵµÃ·ÖÊýÓëÖ±·ÖÊýµÄ½Ó½ü³Ì¶È£¬´Ó¶øµÃ³ö²âÁ¿½á¹ûµÄÐŶȡ£
£¨3£©Ö¸Ò»ÖÖ²âÁ¿¹¤¾ßÏȺóÁ½´ÎÊ©²âÓÚÏàͬ±»ÊÔËùµÃ½á¹ûǰºóÒ»Öµij̶ȡ£Ò»ÖÂÐԵij̶ÈÔ½´ó£¬ÐŶÈÔ½¸ß¡£Ò»ÖÂÐԳ̶ȵĸߵÍÒÔÏà¹ØÏµÊýµÄ´óСÀ´±íʾ£¬³ÆÎªÐŶÈϵÊý¡£.
ÐŶÈÊÇÆÀ¼ÛÒ»ÖÖ²âÁ¿µÄÖØÒªÖ¸±ê£¬Ö»ÓÐʵµÃ·ÖÊý½Ó½ü»òµÈÓÚÕæ·ÖÊý£¬ÓÃͬһ¹¤¾ß¶à´Î²âÁ¿Í¬Ò»ÌØÐÔ»ñµÃÏàͬ»ò½üºõÏàͬµÄ½á¹û£¬²ÅÄÜÈÏΪ´Ë½á¹ûÊǿɿ¿µÄ¡£ÈκβâÑé»òÁ¿±í±àÖÆºóÌṩʹÓÃʱ£¬¶¼±ØÐë˵Ã÷ÆäÐŶȴóС¡£
ÔÚʵ¼Ê²âÁ¿ÖÐÖ÷Òª²ÉÓüÆËãÐŶÈϵÊýµÄ·½·¨¹À¼ÆÐŶȡ£ÒÀÕÕ¼ÆËã·½·¨µÄ²»Í¬£¬¿É½«ÐŶȷÖΪ4ÖÖ£º
£¨1£©ÔÙ²âÐŶȣºÓÃÒ»ÖÖ²âÑé¶Ôͬһ±»ÊÔ×éÊ©²âÁ½´Î£¬¸ù¾ÝÁ½´Î²âÑé·ÖÊý¼ÆËãÆäÏà¹ØÏµÊý¡£´ËÖÖÐŶÈÄܱíʾÁ½´Î²âÑé½á¹ûÓÐÎޱ䶯£¬·´Ó³²âÑé·ÖÊýµÄÎȶ¨³Ì¶È£¬¹ÊÓÖ³ÆÎȶ¨ÐÔϵÊý¡£ÔÚûÓи´±¾¿ÉÓ㬶øÏÖʵÌõ¼þÓÖÔÊÐíÖØ¸´Ê©²âʱ£¬Ò»°ã²ÉÓÃÕâÖÖÔٲⷨÀ´¹À¼ÆÆäÐŶȡ£
£¨2£©¸´±¾ÐŶȣºÓÃÒ»ÖÖ²âÑéµÄÁ½¸öµÈÖµ¸´±¾Ê©²âÓÚͬһ±»ÊÔ×飬Ȼºó¼ÆËãÁ½´ÎµÃ·ÖµÄÏà¹ØÏµÊý¡£Ò»°ã˵À´£¬¸´±¾·¨ÊÇ¿¼²é²âÑéÐŶÈ×îºÃµÄ·½·¨¡£
£¨3£©ÄÚ²¿Ò»ÖÂÐÔÐŶȣº²âÑéµÄͬÖÊÐԳ̶ȡ£Èç¹û²âÑéÖи÷²âÌâµÃ·ÖÓÐÕýÏà¹Ø£¬Ôò²âÑéÊÇͬÖʵġ£¿¼²é²âÑéÄÚ²¿Ò»ÖÂÐԵij£Ó÷½·¨Óзְ뷨¡¢¿âµÂ£Àí²éɹ«Ê½ºÍ¿ËÁú°ÍºÕα ϵÊý¡£ÕâÑùÇóµÃµÄÐŶÈϵÊýÒ²½Ð×öÄÚ²¿Ò»ÖÂÐÔϵÊý¡£·Ö°ë·¨ÊÇ¿¼²é²âÑéÐŶÈ×î³£Óõķ½·¨£¬ÔÚ²âÑéûÓи´±¾ÇÒÖ»ÄÜʵʩһ´Îʱ£¬³£Óô˷¨¹À¼ÆÐŶȣ¬¼´°Ñ²âÑéÌâ·Ö³É¶ÔµÈµÄÁ½°ë£¨Ò»°ã°´ÆæÊýÌâºÍżÊýÌâ·Ö£©£¬¸ù¾Ý¸÷ÈËÔÚÕâÁ½°ë²âÑéËùµÃ·ÖÊý¼ÆËãÆäÏà¹ØÏµÊý£¬¼´µÃ·Ö°ëÐŶȡ£µ«·Ö°ë·¨Êµ¼ÊÖ»ÇóµÃ°ë¸ö²âÑéµÄÐŶȣ¬ÓÉÓÚÔÚÆäËûÌõ¼þÏàµÈµÄÇé¿öÏ£¬²âÑéÔ½³¤£¬ÐŶÈÔ½¸ß£¬Òò´Ë±ØÐëʹÓÃ˹Ƥ¶ûÂü£²¼Àʹ«Ê½¼ÓÒÔУÕý£¬ÒÔ¹À¼ÆÕû¸ö²âÑéµÄÐŶȡ£¿âµÂ¶û£Àí²éɹ«Ê½ÒÔ²âÑé¸÷¸öÏîÄ¿µÄÕýÈ··´Ó¦Îª»ù´¡£¬»ò¸ù¾Ý¸÷ÈË×ֵܷį½¾ùÊýºÍ±ê×¼²î¼ÆËãÐŶÈϵÊý£¬¼´µÃ¿â£ÀíÐŶȡ£Ëü´ú±íÒ»ÇпÉÄܵķְëÐŶÈϵÊýµÄƽ¾ùÊý¡£µ«¿âµÂ£Àí²éɹ«Ê½Ö»ÊÊÓÃÓÚ´ð¶ÔÒ»ÌâµÃÒ»·Ö¡¢´ð´íÎ޷ֵIJâÑé¡£¿ËÁú°ÍºÕ¨»ÏµÊýÔòÊÊÓÃÓÚ¶àÖØ¼Ç·ÖµÄ²âÑéÐŶȹÀ¼Æ¡£
£¨4£©ÆÀ·ÖÕßÐŶȣºËæ»ú³éÈ¡Êý·ÝÊÔ¾í£¬ÓÉÁ½Î»»òÁ½Î»ÒÔÉÏÆÀ·ÖÕß·Ö±ðÆÀ·Ö£¬È»ºó¼ÆËãÿ·ÝÊÔ¾íËùÆÀ¸÷·ÖÊýÖ®¼äµÄÏà¹ØÏµÊý¡£ÔÚÁ½ÈËÆÀÔÄÊý·ÝÊÔ¾í£¨»ò1ÈËÏȺóÁ½´ÎÆÀÔÄÊý·ÝÊÔ¾í£©Ê±£¬ÓÃ˹Ƥ¶ûÂüµÈ¼¶Ïà¹Ø¹«Ê½ÇóÏà¹Ø£»ÔÚ3ÈËÒÔÉÏÆÀÔÄÊý·ÝÊÔ¾íʱ£¬ÔòÐè¼ÆËã¿ÏµÂ¶ûºÍгϵÊý¡£¶ÔһЩÎÞ·¨ÍêÈ«¿Í¹Û¼Ç·ÖµÄ²âÑ飬³£Ð迼²éÆÀ·ÖÕßÐŶȡ£ÒÔÉϼÆËãÐŶÈϵÊýµÄ¸÷ÖÖ·½·¨ÊÇÒÔ²»Í¬µÄ¼Ù¶¨ºÍǰÌáÌõ¼þΪ»ù´¡µÄ£¬¹ÊËùÇóµÃµÄÊýÖµÒâÒå²»¾¡Ïàͬ£¬Òò¶ø²»Äܵ¥ÒÔÊýÖµÀ´±È½ÏÆäÐŶȸߵ͡£
Ó°ÏìÐŶȵÄÒòËØºÜ¶à¡£Ìá¸ß²âÁ¿µÄÐŶÈÒªÏàÓ¦µØ´Ó¶à·½Ãæ×ÅÊÖ£¬Ö÷ÒªµÄ·½·¨ÓУº
£¨1£©Ôö¼Ó²âÑé»òÁ¿±íµÄ³¤¶ÈÒÔÌá¸ßÑù±¾µÄ´ú±íÐÔ£»
£¨2£©²âÑéʱ¼ä¡¢²âÑéÄѶÈÊʵ±£»
£¨3£©²âÊÔ¾¡Á¿Ôڳ̶Ȳ»ÆëµÄÍÅÌåÖнøÐУ»
£¨4£©Ê©²â³ÌÐòºÍ»·¾³¾¡Á¿±ê×¼»¯£»
£¨5£©ÆÀ·Ö¾¡Á¿¿Í¹ÛÈ·¶¨¡£
²Î¿¼ÎÄÕÂ
- ÐÅÓÃÊdz¤Ê±¼ä»ýÀÛµÄÐÅÈκͳÏÐŶȡ£ÐÅÓÃÊÇÄѵÃÒ×ʧµÄ֪ʶÌâ¿â
- Ñо¿ÈËÔ±¶ÔijÖÐѧ³ÖÐø60ÌìÿÌìºÈ2¡«3ƿơ¾ÆµÄѧÉú×öҽѧ¼ì²é£¬·¢ÏÖ75%µÄѧÉú¸Î¹¦ÄÜÃ÷ÏÔÍË»¯¡£¾ßÓкܸ߿ÉÐŶȵÄʵÑéÒѾÅÅ֪ʶÌâ¿â
- ÈôÅúÆÀ²»×ÔÓÉ£¬ÔòÔÞÃÀÎÞÒâÒå¡£´ÓijÖÖÒâÒåÉϽ²£¬ÔÞÃÀµÄ¿ÉÐŶÈÒª¿¿ÅúÆÀµÄ×ÔÓɶÈÀ´¼ìÑé¡£Èç¹ûÎÒÃÇ´¦ÔÚÒ»¸ö²»ÄÜ×ÔÓɱí´ïÅúÆÀÒâ¼ûµÄ»·ÖªÊ¶Ìâ¿â
- ÐŶÈÊÇÖ¸¼¨Ð§ÆÀ¼Û½á¹ûµÄÒ»ÖÂÐԺͿɿ¿ÐÔ֪ʶÌâ¿â
- ÐŶÈÔÚ²âÁ¿Ñ§ÉÏÒ²³ÆÎª²âÑéµÄÓÐЧÐÔ£¬Ö¸Ò»Ïî²âÑéÄܲ⵽ԤÏÈÏë²âµÄ֪ʶºÍÄÜÁ¦µÄ³Ì¶È֪ʶÌâ¿â
- Ϊʲô¼É¸ÐÇéµÄ¿ÉÐŶÈϽµ£¿±£½¡ÑøÉú
- Ó°Ïì²âÁ¿ÐŶȺÍЧ¶ÈµÄÖ÷ÒªÒòËØÓÐÄÄЩ£¿Éç¿Æ»ù´¡
- ¼ìÑé²âÁ¿µÄÐŶȵķ½·¨ÓÐÄļ¸ÖÖ£¿Éç¿Æ»ù´¡