[拼音]:fangshe weifen jihexue
[外文]:affine differential geometry
一门古典的微分几何,早在20世纪20年代初期就已建成。内容包括曲线和曲面的在仿射变换群下的不变量、协变图形及其性质。以W.J.E.布拉施克为首的汉堡学派奠定了仿射微分几何基础,他们的方法同射影微分几何的富比尼方法相类似,分别使用了自然方程和基本微分形式,从而导出空间曲线和曲面论的基本定理。20年代末期的研究主要集中在仿射曲面论的几何结构、仿射铸曲面与仿射旋转曲面论的引进、仿射曲面论和射影曲面论间的若干关系等三个方面,使这门分科趋于完善。此外,曲线和曲面的凸性,也是仿射不变的性质,对于凸闭曲线和凸闭曲面的部分研究工作,也属于微分几何的范围。
曲面论基本定理设
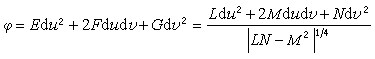
是三维仿射空间A3的一点的坐标,x=x(u,v)是一个曲面S的参数表示。又设普通曲面论的第二基本形式为Ldu2+2M dudv+Ndv2,那么仿射曲面论的二次基本形式是
,
式中假定了LN-M 2≠0,即S是非可展的解析曲面。
同射影曲面论一样,还作出三次基本形式
式中(括号表示三阶行列式)


这两个基本形式的系数必须满足一系列的关系式,即所谓仿射曲面论的基本方程。于此,导出对应的基本定理:给定了二微分形式φ和ψ,并假设它们的系数满足上述的基本方程。那么,除了仿射变换外,可以惟一地决定一个曲面,使它的两个基本形式是φ和ψ。
仿射曲面论的几何结构一般的曲面在其正常点 P必有一个仿射协变的四次(三阶)代数锥面Г4,它的几何结构如下:沿P的每一非主切线t的方向作穆塔尔二次曲面,连P和这二次曲面的中心,得到一根直线l;当t在P点变动时,l的轨迹是一个四次锥面Г4。它有下列的一些重要性质:它和切平面相切于二条主切线t1,t2;它有三根尖点线C1,C2,C3,它们的对应切线是达布切线d1,d2,d3;每二根尖点线的平面和切平面相交于一条塞格雷切线;C1,C2,C3的尖点切平面相会于曲面的仿射法线n;过C1,C2,C3和t1,t2,n中的任何两根可作二次锥面,这两根直线所成的平面关于这二次锥面的极线正好是剩下的第三根直线。此外,还可证明:Г4是特兰森平面的包络。因此,通过Г4,可以弄清楚曲面的许多仿射不变的以及射影不变的图形间的相互关系,这是一个阐明仿射曲面微分几何性质的重要的构图。
此外,为了阐明曲面的仿射理论和射影理论间的关系,还可提出如下的问题:求曲面
使它的仿射法线重合于某一根规范直线
,从这个问题的解可以导出富有兴趣的几何图形。
设S 为一个非可展的解析曲面。假定从一条定曲线C上的任一点A作S 的切平面时,其切点的轨迹是一根平面曲线CA,而且,当A在C上变动时,CA的平面都互相平行。那么,称S为仿射铸曲面。在这种曲面上有两族具备特殊意义的曲线,即“平行曲线”和“子午线”。特别是,当S的仿射法线落在子午线的密切平面之上时,S 就称仿射旋转面。这种曲面有许多特征,如:一族达布曲线在平行的一族平面上,等等。在n维仿射空间An中,同样也可定义这两类超曲面。