[拼音]:erci qumian
[外文]:surface of second degree
在欧氏三维空间里坐标x,y,z之间的二次方程
(系数为实数,且二次项系数不全为零)所表示的曲面。一般说来,直线与二次曲面相交于两个点;如果相交于三个点以上,那么此直线全部在曲面上。这时称此直线为曲面的母线。如果二次曲面被平行平面所截,其截线是二次曲线。
二次曲面的方程可以写为
这里
。曲面F(x,y,z)=0上适合
的点(x0,y0,z0)称为奇异点或奇点,其中,
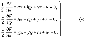
其他点称为寻常点。过曲面的寻常点所作的切线构成一个平面,称为该点的切面。通过该点且与切面垂直的直线称为法线。F(x,y,z)=0于寻常点 (x0,y0,z0)处的切面与法线方程分别是
与
分类
二次曲面上不在同一母线上任何两点所联的线段称为弦,对于二次曲面F(x,y,z)=0,如果一条直线的方向余弦l,m,n,适合


则此直线所对应的方向称为曲面的奇异方向,否则称为寻常方向。二次曲面的一组具有寻常方向的平行弦中点在同一平面上。这个平面称为该方向的径平面。此方向称为径平面的共轭方向。F(x,y,z)=0的以方向余弦l,m,n为共轭方向的径平面方程为
。
关于径平面,当方向余弦l,m,n变动时,无数多的径平面形成一个平面族,方程是l(αx+hy+gz+u)+m(hx+by+ƒz+υ)+n(gx+ƒy+сz+w)=0。方程组
的解称为一般二次曲面F(x,y,z)=0的中心。如果中心位于二次曲面上,则称为顶点。中心的几何意义是:二次曲面的通过中心的任何弦都以中心为中点。
二次曲面有如x2+y2+z2+1=0这样的空集情况,对于非空集情况,如果选取适当的直角坐标系,则二次曲面方程(1)可以化为以下形式之一:
, (2)
, (3)
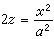
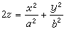
, (4)
, (5)
, (6)
, (7)
, (8)
, (9)
, (10)
, (11)
, (12)
。 (13)
方程形如(2)、(3)、(4)、(5)、(6)的曲面,分别称为椭圆面,单叶双曲面,双叶双曲面,椭圆柱面或椭圆柱,双曲柱面或双曲柱;若方程为(7)的情况,则曲面成为两个平行平面。对于(2)、(3)、(4)、(5)当α=b时,这些曲面是以z轴为旋转轴的旋转曲面,把它们分别称为旋转椭圆面,旋转单叶双曲面,旋转双叶双曲面,圆柱面或圆柱。对于旋转椭圆面,当α=b=с时,曲面成为以α为半径的球面。在方程(8),(9),(10)的情况,曲面分别称为椭圆抛物面,双曲抛物面,抛物柱面或抛物柱;对于(8),当α=b时,曲面成为以z轴为旋转轴的旋转椭圆抛物面(见彩图)。
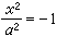
方程(11)的曲面是二阶锥面,当A、B、C异号时,可以认为A>0,B>0,C=-1,曲面称为实锥面,且当A=B时,曲面称为直圆锥面,它是以z轴为旋转轴的旋转曲面;在方程(11)当A、B、C同号时,曲面变成点O,也称为虚锥面;在方程(12)的情况,曲面成为一对相交平面,在方程(13)的情况,曲面成为一对重合平面,对于双曲面(3)、(4),二次锥面
, (3′)
。 (4′)
分别称为(3)、(4)的渐近锥面。 (2)、(3)、…、(13)称为这些曲面方程的标准型(标准型的α,b,с与(1)中的α,b,с不同)。此外还有二次曲面的空集情况与另一个特殊情况,它们的标准方程是:
, (14)
, (15)
, (16)
, (17)
(14)、(15)所表示的曲面分别称为虚椭圆面、虚椭圆柱面;对于(16),曲面成为一对相交虚平面(交线为实直线);对于(17),曲面成为一对平行虚平面。因此共有17种情况。这17种情况,可以根据方程组(*)的系数矩阵
与增广矩阵
的秩数 rankM 与 rank
分类,由于rank M≤3,
≤3,rankM≤rank
,故知仅有五种情况(表1
)。
对于曲面(2),(3),(4)来说,平面x=0,y=0,z=0;以及对于曲面(8),(9)来说,平面x=0,y=0,分别称为曲面的主平面,主平面的交线称为主轴。对于旋转曲面来说,主平面及主轴的位置是不定的。标准方程中的α,b,с称为半主轴的长度或半主轴。
在单叶双曲面或双曲抛物面上分别存在两族母线,同族的二母线不相交(也不平行),不同族的二母线必相交,即对于(3),其上有以λ及μ为参数的母线族
对于(9),其上有母线族
能用直线生成的曲面称为直纹曲面,二次曲面中只有单叶双曲面和双曲抛物面是具有两族母线的直纹曲面。二次柱面和二次锥面是具有一族母线的直纹曲面。而旋转单叶双曲面、圆柱面和直圆锥面既是直纹曲面又是旋转曲面。
二次曲面的不变量可以用二次曲面方程(1)的系数的一些函数来描述二次曲面。经过坐标变换后(见坐标系),方程的系数有所改变,但这些函数的值不变,这些函数称为二次曲面(1)的不变量。用到的不变量有
,
,
,
,
,
其中I1、I2、I3、I4 是坐标轴的平移与旋转的不变量;K1、K2是坐标轴的旋转不变量,且当矩阵
的秩是1时,K1是平移不变量;
的秩是2时,K2是平移不变量。根据这六个不变量,就可以判定二次曲面(1)的形状(表2
)。因此称这六个不变量组成二次曲面的不变量完全系统。I1、I2、I3、I4 称为基本不变量,K1、K2称为条件不变量。
又称I4≠0的二次曲面为常态二次曲面, I4=0的二次曲面为变态二次曲面。单叶双曲面和双曲抛物面是二次常态直纹曲面,而锥面、柱面和平面是二次变态直纹曲面。具有惟一中心的二次曲面成为变态的充要条件是它有惟一奇异点。
表2中“类型”一栏说明二次曲面中心的存在情况。第一种情况(I3≠0),二次曲面有唯一中心,称为中心型二次曲面,其他情况的二次曲面或多中心或无中心,统称为非中心型二次曲面。
利用不变量虽然确定了二次曲面的形状,但不能确定曲面在空间里的位置。通过坐标变换可以确定二次曲面的位置。关于二次曲面的标准型方程,可以通过坐标变换得到,也可以通过不变量的完全系统而得到。
圆形截线在二次曲面里,椭圆面、双曲面、锥面、椭圆抛物面以及椭圆柱面都具有圆形截线。如果某一个平面截二次曲面于一个圆周,则所有平行于它的平面也截该曲面于一个圆周。所以一般来说,二次曲面由两族平行平面可以截出圆截线。与其平行的切平面的切点是二次曲面的脐点(或圆点)。
二级曲面与二阶曲面平面
的系数u1,u2,u3,u4称为该平面的坐标。用平面坐标u1,u2,u3,u4 的二次齐次方程所表示的曲面称为二级曲面,而且它可以分解为圆锥曲线或两个点。一般来说,通过任何直线有两个平面属于一个二级曲面。上述作为点集合的二次曲面也称为二阶曲面。关于二级曲面有与二阶曲面类似的理论。
在欧氏n维空间里,坐标(x1,x2,…,xn)之间的二次方程
, (18)
式中αik,bi,с都是实数,且不失一般性,可设矩阵A=(αik)为对称矩阵;A为非零矩阵所表示的点集称为n维欧氏空间里的二次超曲面,或简称二次曲面。当n=2时,它成为二次曲线。当 n=3时成为二次曲面。上述关于二次曲面的分类等理论,可以推广到n维的情况,即可以根据n维欧氏空间的坐标变换,将方程(18)化为标准型,由于n+1阶方阵
与n阶方阵A二者秩数间的不同关系可以得到各种不同情况。对偶地可以定义二级超曲面,它是二级曲线与二级曲面的高维推广。