[拼音]:Dilikelei tezheng
[外文]:Dirichlet character
数论中重要的基本概念之一,为P.G.L.狄利克雷所引进的模q的特征,通常称之为狄利克雷特征。它可以用不同的方法来定义。这里采用如下定义:
设
,pj(1≤j≤s)是不同的奇素数,gj是模
的最小正原根,以及
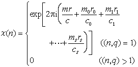
其中φ(d)是不超过d,且与d互素的正整数个数。对于任给的一组整数m,m0,m1,…,ms,把定义在整数集合上的函数
的特征,其中r,r0,r1,…, rs是n 对模
的一个指数组,即
,
,1≤j≤s。为了着重指出特征 ⅹ(n)是属于模
的, 经常采用记号ⅹq(n)或ⅹ(n)mod
。有关特征的基本知识如下:
(1)设ⅹ(n)是模q的特征,当(n,
)=1时恒有ⅹ(n)=1,则称 ⅹ(n)为模
的主特征、记为ⅹ0(n); 不然就称为非主特征。只取实值的特征称为实特征,其他的称为复特征。函数
也是模
的特征,称为ⅹ(n)的共轭特征。
(2)模q的特征ⅹ(n)是以q 为周期的周期函数,即ⅹ(n+
)=ⅹ(n)。此外,ⅹ(1)=1,|ⅹ(n)|=1,(n,
)=1。
(3)特征ⅹ(n)是完全积性函数,即对任意整数n1,n2有
,因此ⅹ2(-1)=1。
(4)对于一个固定的模q, 有且仅有φ(q)个不同的模
的特征。
(5)设塣(n)是模q的特征,则有
(6)设q≥1,(α,
)=1,则有
对模
的所有不同的特征求和。
(7)设ⅹ(n)是模q的非主特征,如果存在正整数q┡<q,使得对所有满足条件(n1,q)=(n2,q)=1,n1呏n2(modq┡)的n1、n2有ⅹ(n1)=ⅹ(n2),那么就称ⅹ(n)为模q的非原特征;否则就称为模q的原特征。
狄利克雷特征的主要作用在于:利用性质⑥,可以从一个给定的整数序列中,把属于某个公差为q的算术级数的子序列分离出来。因此,它在涉及算术级数的许多数论问题诸如算术级数中的素数定理、哥德巴赫猜想的研究中,起着关键的作用。