[拼音]:guangxue gaowenji
[外文]:optical pyrometer
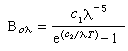
根据物体单色辐射亮度随温度变化原理制成的非接触式温度测量仪表。根据普朗克公式,物体的单色辐射亮度与温度的函数关系为
式中c1和c2为常数;λ为单色辐射波长;T 为物体的温度。根据这一公式可知,波长选定以后,物体的单色辐射亮度只随其温度而变。工业中应用较广的光学高温计就是根据这一原理制成的。图中物镜将被测物体成象于高温计内参比灯的灯丝所在平面上。灯丝通电后发出一定的亮度,测温者通过目镜和红色滤光片观察灯丝与被测物体的单色辐射亮度,如亮度不同(图中a、c),即调节滑线电阻改变灯丝亮度,使灯丝与背景亮度相等(图中b)。这时的灯丝电流即代表被测温度。光学高温计的测量范围为700~3200℃,精确度为±1%。实验室用的光学高温计精确度可达±0.05%。还有一种利用光电元件来比较灯丝与被测物体单色辐射能的自动单色光电高温计,由于不用人来比较亮度,可减少人为误差。这种仪表主要供实验室中精密测量和作为标准之用。