物体的振动

浏览

物体围绕一平衡位置的往返重复运动。物体的一部分或整体受力的作用产生形变,形变部分具有恢复其原来状态的力(恢复力,或称具有形变势能)。例如固体的弹性力和液体的表面张力等都可成为恢复力,此外还可以有外加的恢复力,例如把弦或膜拉紧的张力等。在外加作用力消失后,恢复力使变形的物体向平衡位置运动,形变势能逐渐转化为动能,在物体达到平衡位置时,形变势能为零而动能最大;由于惯性作用,物体继续沿与原形变方向相反的方向偏离平衡位置,产生新的形变,动能逐渐转化为形变势能,在动能为零时形变势能最大,偏离平衡位置的距离也最大。如此重复,形成物体的振动。

实际常见的物体振动可以理想化地分为弦、棒、膜、板和壳的振动。

弦的横振动

把一根长度为 Л的柔软(无刚性)且尺度和质量完全均匀的弦拉紧并两端固定(图1a),用手指轻弹弦即可激起弦的横振动。它的振动方程为

, (1)

式中y为弦上坐标为x的一点D在横方向的位移,单位为米(m),t是时间,单位为秒(s),с是波动在弦上传播的速度,单位为米每秒(m/s)

, (2)

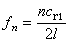
F是弦上的张力,单位为牛[顿](N),d是弦的线密度,单位为千克每米(kg/m)。弦自由振动时的频率为

, (3)

式中N=1,2,3,…。N=1时频率最低,称为基频,对应的振动方式称为一次谐波;N=2时称为二次谐波(图1b),依次类推。可见二次以上的高次谐波的频率是基频的整数倍。在稳定振动的情况下,弦中的波是驻波(见波),因此 N次谐波除两端固定无位移外,弦上还有N-1个无位移的点(图1b、图1c),称之为节点。而位移最大的部分称为波腹。根据式(3)可知,改变弦的长度Л或张力F或线密度d,都可以改变弦振动的频率。弦乐器如胡琴、琵琶和提琴等,都是根据弦的这个振动原理制成的。

图1

膜的振动

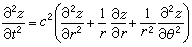
一个柔软无刚性的薄膜,厚度及质量完全均匀,如果它周边用力向外拉紧并固定,即形成一个可以振动的膜。常见的膜周边的形状是矩形和圆形。考虑如图2中所示的矩形膜。若膜平面为xy平面,м是膜上坐标为(xy)的一个点,膜振动时м点离开它静止时位置的位移为z,于是可得膜的振动方程为

, (4)

式中

(5)

是波动在膜中传播的速度,F是膜边缘上每单位长度上的张力,单位为牛顿每米(N/m),δ是膜的面密度,单位为千克每平方米(kg/m2),t是时间。式(4)表明膜是二维的“弦”。膜的振动频率为

, (6)

式中nxny=1,2,3,…,Лx和Лy是矩形膜的边长。当nxny=1时,膜的振动频率最低,是基频(图3a)。当nx=1,ny=2时,膜的振动方式如图3b所示,除周边外还有一个纵向的节线(其上诸点的位移为零),节线把膜分成左右两部分,在振动时两部分的相位相反,即在一边向上运动时另一边向下运动。当nx=1,ny=2时,膜被一横节线分成相位相反的两部分(图3c)。只有当nxny=2,3,4,…时,膜的振动频率是基频的整数倍,即高次谐波。而nxny时,振动频率是基频的泛音。

图2 图3

图4所示是半径为a的圆形膜,用柱坐标表示它的振动方程为

。 (7)

(rθ)为膜上м点的极坐标,zм点的位移。圆形膜自由振动时的频率为

, (8)

其中jmn是无量纲的常数,随不同的mn而异。表中给出几种振动方式的频率,而,是圆膜振动时的基频。其他频率都不是基频的整数倍,是它的泛音。圆膜振动时的振动方式及节线如图5所示。

图4 表 图5

棒的振动

横截面尺度小于长度的固体称为棒或梁。棒受作用力的扰动后可以产生振动,称为棒的振动。其形式因受力方式而异,一般有纵振动、弯曲振动和扭转振动三种。棒或梁的刚性可以支撑它本身的重量,故不像弦那样必须在两端固定拉紧才能振动,只需把棒架起即可使棒产生振动。

棒的纵振动

对各向同性密度均匀的材料制成的细棒,用锤沿棒轴方向轻击一端表面的中心,如图6所示,即可激起棒的纵振动,振动时棒中质点的运动方向与棒轴平行。棒的振动方程是

, (9)

式中ξ 是距Ax 处棒截面的位移。根据棒两端的情况,棒可以有不同的振动形式。一般有三种,即棒两端全是自由的、两端全是固定的和一端自由一端固定三种情况。两端都是自由的棒振动频率为

, (10)

式中Л是棒长,,是细棒中纵波传播速度,n=1,2,3,…。其振动方式如图7b所示,纵坐标表示振动时棒各部分的位移。图中也给出节点的位置。图7a是两端固定的棒的振动方式,从图可看出其振动频率与两端自由的棒振动频率相同,只是节点的位置不同。一端固定一端自由的棒纵振动时的频率为

。 (11)

与式(10)相比,可知一端固定另一端自由的棒,作纵振动时的基频只为两端自由或两端固定时的频率的一半,而且只有奇次谐波。

图6 图7 棒的弯曲振动

沿与棒垂直的方向击棒,可激起棒的弯曲振动,振动时的形状如图8所示。棒做弯曲振动时的振动方程是

, (12)

式中是棒横截面的回转半径。与棒纵振动的情形类似,其振动频率也与棒两端的边界条件有关。一般端点条件有两种情况:即棒的一端自由,另一端固定;棒两端都是自由的。根据两端的条件解式(12),可得一端自由一端固定的棒做弯曲振动时的频率为

f2=6.267f1

f3=17.55f1

……。两端自由的棒弯曲振动时的频率为

f2=2.756f1

f3=5.404f1

……。

图8

在乐器中有些是利用棒的振动原理制成的,例如木琴、风琴的簧片、调音用的音叉等。

从以上所列频率看,棒做弯曲振动时,它的泛音都不是基频的整数倍。

棒的扭转振动

棒除了能作纵振动和弯曲振动外,还可以作扭转振动,如图9所示。若截面为圆形的棒A 端的面与xz平面吻合并固定,棒轴与y轴吻合,在A端加一扭矩G,使A面上的半径转过一个θ角,然后撤去扭矩, 则AB棒即可做扭转振动。棒的每个截面都以y 轴为圆心往返转动。扭转振动的方程为

, (13)

式中сt是无限固体中横波传播速度,θ是角位移。因A面固定,故无角位移,即节点。这与一端固定另一端自由的棒做纵振动时的频率相似,于是有

。 (14)

图9

薄板的振动

适当增加膜的厚度可以形成薄板,薄板振动时的恢复力主要来自板的刚性,而不像膜是来自外加的张力。生活中常见的振动薄板多为圆形,如传声器或电话耳机中的薄金属片,乐器中的锣、钹、铙等。

均匀薄板对称振动时的振动方程是

, (15)

式中z是薄板与xy平面吻合时在z方向的位移,是面回转半径,对于厚度为τ的均匀薄板,E是板材的弹性模量,ρ是体密度,σ泊松比(物体受力拉长时,横向单位长度收缩值与纵向单位长度拉长值之比),是用极坐标时普拉斯算符。圆形薄板振动时的频率与周边支撑情况有关,假设板做简谐振动,圆板周边在ra处固定,形成节线,则频率的表达式是

。 (16)

用上式求得的基频及泛音频率为

f2=3.88f1

f3=8.70f1

……。

壳体的振动

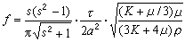
将板弯曲成壳体,可以制成钟、磬、铃等发声的乐器。发声的壳多用金属制成,其振动频率与壳体的形状、尺寸、弹性和密度有关,除少数形状十分简单的壳体比较容易求出其振动频率外,对形状复杂的壳体,计算它的振动频率是比较繁难的。瑞利曾对长度大于直径并均匀的圆柱形壳体振动时的频率进行计算,算得的振动频率为

, (17)

式中τ为壳体的厚度,K为体积模量,a为壳体的半径,s为壳体圆周对波长的倍数,即壳体圆周上的波节数为2s

一般壳体乐器如钟磬等的横剖面均为圆形,但在中国出土文物中的古代编钟的横剖面却为椭圆形,而且表面上还有古书中称为“枚”的圆柱形乳突,用现代科学技术分析中国古代编钟的声学特性,结果表明椭圆形状及表面上的“枚”对钟的音质都有一定的作用。节线的位置及分布也符合科学原理。出土的编钟均完好无损,这一切都说明早在西周时代(公元前1066~前771),中国人已在乐器制造和合金冶炼方面有了相当高的工艺和技术水平。

参考书目
  1. L.E.Kinsler, et al., Fundamentals of Acoustics, 3rd ed.,John Wiley & Sons, New York, 1982.
  2. R. W. B. Stephens and A. E. Bate,Acoustics and Vibrational Physics, 2nd ed.,Edward Arnold,London, 1966.
  3. 陈通、郑大瑞:古编钟的声学特性,《声学学报》,第3期,第161页,1980。
  4. J.W.S.Lord Rayleigh, Theory of Sound,Dover,NewYork, 1945.