±íÃæÕÅÁ¦

ä¯ÀÀ

´¹Ö±µØÍ¨¹ýÒºÌå±íÃæÉÏÈÎÒ»µ¥Î»»¡Ôª²¢ÑØ×ÅÓëÒºÃæÏàÇеķ½ÏòµÄÊÕËõ±íÃæµÄÁ¦£»ÒÔºÁÅ£¶Ù£¯Ã×Ϊµ¥Î»¡£Í¨³£ÓÃγ À´´ú±í¡£

Ò»ÖÖÒºÌåÓëÁíÒ»ÖÖ²»Ïà»ìÈܵÄÁ÷ÌåÏà½Ó´¥¾ÍÐγÉÁ÷¶¯½çÃæ¡£Èô´Ë²»Ïà»ìÁ÷ÌåÊÇÆøÌ壨¸ÃÒºÌåµÄÕôÆø»òÆäËûÆøÌ壩£¬ÐγɵĽçÃæÍ¨³£³Æ×÷ÒºÌå±íÃæ¡£ÒºÌå±íÃæµÄ»ù±¾ÌØÐÔÊÇÇãÏòÓÚÊÕËõ£¬¾ÍÊÇ˵×ÜÊǾ¡¿ÉÄÜÈ¡×îСµÄ±íÃæ»ý¡£Ò»ÇÐÈÝ»ýÏàµÈµÄÐÎÌåÖÐÒÔÇòÐεıíÃæ»ý×îС£¬Òò´ËСÁ¿Ë®ÒøºÍ¶Öé»áÇ÷ÏòÇòÐΡ¢·ÊÔíĤ»á×Ô¶¯ÊÕËõ³ÉµÎ¡£ÃèÊöÒºÌåÕâÒ»»ù±¾ÐÔÖʵÄÎïÀíÁ¿ÊÇ£º

£¨1£©±íÃæÕÅÁ¦ÏµÊý£¬¼ò³Æ±íÃæÕÅÁ¦£»

£¨2£©±È±íÃæ¹ýÊ£×ÔÓÉÄÜ£¬¼ò³Æ±íÃæ×ÔÓÉÄÜ¡£

ζȺÍÒºÌåÐÔÖʶԱíÃæÕÅÁ¦µÄÓ°Ïì

´¿ÒºÌåÔÚÒ»¶¨Ñ¹Á¦¡¢Î¶ÈÏÂÓÐÒ»¶¨µÄ±íÃæÕÅÁ¦Öµ£¨¶ÔÓÚÒ»¶¨µÄÆøÏà³É·Ö£©¡£Ò»°ã˵À´ÒºÌå±íÃæÕÅÁ¦ËæÑ¹Á¦±ä»¯²»´ó£¬¶øÓëζȺͳɷÖÓÐÃÜÇйØÏµ¡£´¿ÒºÌå±íÃæÕÅÁ¦Ò»°ãËæÎ¶ÈÉÏÉý¶øÏ½µ£¬ÀýÈç20¡æÊ±1´óÆøÑ¹Á¦ÏÂË®µÄ±íÃæÕÅÁ¦ÊÇ72.88ºÁÅ£¶Ù/Ã×£¬25¡æÊ±ÊÇ72.14ºÁÅ£¶Ù/Ã×£¬30¡æÊ±ÊÇ71.40ºÁÅ£¶Ù/Ãס£ÔÚÓÐÏÞζȷ¶Î§ÄÚ±íÃæÕÅÁ¦ÓëζȳÉÏßÐÔ¹ØÏµ£¬¿ÉÓþ­Ñ鹫ʽ±íʾ£º

γ£½γ0(1-bT) (1)

ʽÖÐγ0ºÍbÎªËæÒºÌå¶ø¶¨µÄ³£Êý£»TΪÈÈÁ¦Ñ§Î¶ȡ£¸ü¾«È·µÄ±íÃæÕÅÁ¦£­Î¶ȹØÏµ¿ÉÓöàÏîʽÀ´±íʾ£º

γ£½γ0+aT+bT2+cT3+¡­ ¡¡¡¡¡¡¡¡¡¡¡¡¡¡¡¡(2)

ʽÖÐa¡¢b¡¢cÎªËæÎïÖʶø¶¨µÄ³£Êý¡£±íÃæÕÅÁ¦ËæÒºÌåÐÔÖʲ»Í¬¿ÉÓкܴó²î±ð¡£ÀýÈç20¡æÊ±ÓлúÒºÌå±½µÄ±íÃæÕÅÁ¦ÊÇ28.88ºÁÅ£¶Ù/Ã×£¬¶øÒºÌå½ðÊô¹¯µÄ±íÃæÕÅÁ¦ÔòÊÇ486.5ºÁÅ£¶Ù/Ãס£ÒºÌå»ìºÏÎïµÄ±íÃæÕÅÁ¦¿ÉÓкܴó±ä»¯£¬ÉõÖÁ΢Á¿ÔÓÖʾͻáʹ֮½µµÍºÜ¶à¡£

±íÃæ×ÔÓÉÄÜ

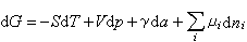
ÊÇÔÚºãκãѹÌõ¼þÏÂʹÌåϵÔö¼Óµ¥Î»±íÃæ»ý£¬Íâ½ç±ØÐë¶ÔÌåϵ×öµÄ¹¦¡£ÒòΪҺÌåÓбíÃæÕÅÁ¦γ£¬ËüÊÇÔÚµ¥Î»³¤¶ÈÉÏÊÕËõ±íÃæµÄÁ¦£¬Óûʹ±íÃæÀ©´ó±ØÐë¿Ë·þ´ËÁ¦¡£Îª´ËËù×öµÄ×îС¹¦ÖµÓ¦Îªγ¡¤dl¡¤ds£½γ¡¤da£¬Ê½ÖÐdlºÍds·Ö±ðΪÔö¼ÓÃæ»ýµÄ³¤¶ÈºÍ¿í¶È£¬ da´ú±íÃæ»ýµÄÔöÖµ£¬Ôö¼Óµ¥Î»Ãæ»ýµÄ×îС¹¦¾ÍµÈÓÚ㣬µ¥Î»ÊǺÁ½¹¶ú/Ã×2¡£Óɴ˿ɼû£¬±íÃæ×ÔÓÉÄÜÓë±íÃæÕÅÁ¦Á¿¸ÙÏàͬ£¬²ÉÓÃÏàÓ¦µ¥Î»Ê±£¬ÊýÖµÒ²Ïàͬ£¬ÊÇ´Ó²»Í¬½Ç¶ÈÃèÊöÒºÌå±íÃæÐÔÖʵÄÒ»¶ÔÎïÀíÁ¿¡£±íÃæÕÅÁ¦ÊÇ´ÓÁ¦µÄƽºâÀ´¿¼ÂÇ£»±íÃæ×ÔÓÉÄÜÔò´ÓÄÜÁ¿±ä»¯À´¿¼ÂÇ£¬ºóÕß±ãÓÚÓ¦ÓÃÈÈÁ¦Ñ§·½·¨À´Ñо¿±íÃæÏÖÏó¡£

¸ù¾ÝÈÈÁ¦Ñ§»ù±¾¹«Ê½£º

¹«Ê½ ·ûºÅ¡¡¡¡ (3)

ʽÖÐGΪ¼ª²¼Ë¹º¯Êý£»SÎªìØ£»VΪÌå»ý£»pΪѹÁ¦£»μΪ»¯Ñ§ÊÆ£»n ΪĦ¶ûÊý£»d Ϊ΢·Ö·ûºÅ£¬±íʾ΢С¸Ä±äÁ¿£»W¡ä±íʾÅòÕ͹¦ºÍ»¯Ñ§¹¦ÒÔÍâµÄÆäËûÓÐÓù¦£»Ï±êiÖ¸µÚi ÖÖÎïÖʵÄÊýÖµ¡£¶ÔÓÚ°üº¬Ãæ»ý±ä»¯¶øÎÞÆäËûÓÐÓù¦µÄ¿ÉÄæ¹ý³Ì£¬Ê½(3)±äΪ£º

¹«Ê½ ·ûºÅ¡¡¡¡ (4)

¹«Ê½ ·ûºÅ¡¡¡¡ (5)

¼´±íÃæ×ÔÓÉÄÜγΪºãΡ¢ºãѹ¡¢ºã×é·ÖÌõ¼þÏ£¬ÌåϵÔö¼Óµ¥Î»Ãæ»ýʱ×ÔÓÉÄܵÄÔöÖµ¡£´ÓÁíÒ»¸ö½Ç¶ÈÀ´¿´£¬ÔÚºãΡ¢ºãѹÏÂʽ(4)±äΪ£º

¹«Ê½ ·ûºÅ¡¡¡¡ (6)

ÉèÇ¿¶ÈÐÔÖÊ (㣬μ) ºã¶¨£¬¶ÔËùÓеÄÃæ»ý¼°Ä¦¶ûÊý»ý·Ö£¬ÔòµÃ£º

¹«Ê½ ·ûºÅ¡¡¡¡ (7)

»ò

¹«Ê½ ·ûºÅ¡¡¡¡ (8)

¼´±íÃæ×ÔÓÉÄÜÊǾßÓе¥Î»±íÃæ»ýµÄÌåϵµÄ×ÔÓÉÄÜÓë´ËÌåϵÖеÄÎïÖÊÈ«´¦ÓÚÄÚ²¿Ê±µÄ×ÔÓÉÄÜÖµÖ®²î¡£¹Ê±íÃæ×ÔÓÉÄÜÊÇÌåϵÒòÓбíÃæ´æÔÚ¶ø¾ßÓеÄ×ÔÓÉÄܹýÊ£Öµ¡£

´Óʽ(4)»¹¿ÉÒÔ¿´³ö£¬ÔÚÒ»¶¨Î¶ÈÏÂ(dT£½0)£¬¶ÔÒ»¶¨µÄÌåϵ(dni£½0)£¬ÓУº

¹«Ê½ ·ûºÅ¡¡¡¡ (9)

dGÊÇȫ΢·Ö£¬Óɴ˵óö£º

¹«Ê½ ·ûºÅ¡¡¡¡ (10)

ʵ¼ÊÉÏ£¬ÒºÌåÐÎ×´±ä»¯Ê±Ãæ»ý¿ÉÃ÷ÏÔ²»Í¬£¬¶øÌå»ýÔòºÜÉٱ仯£¬¹Ê¹«Ê½ ·ûºÅºÜС¡£°´Ê½(10)£¬¹«Ê½ ·ûºÅÒ²ºÜС£¬ ÕâÌáʾ£¬ÒºÌå±íÃæÕÅÁ¦ËæÑ¹Á¦±ä»¯²»´ó¡£

±íÃæÕÅÁ¦ºÍ±íÃæ×ÔÓÉÄÜÓë·Ö×Ó¼ä×÷ÓÃÁ¦

±íÃæÕÅÁ¦ºÍ±íÃæ×ÔÓÉÄÜÊÇ·Ö×Ó¼ä×÷ÓÃÁ¦µÄÒ»ÖÖ±íÏÖ¡£ËüµÄ´æÔÚÒÀÀµÓÚÁ½¸öÊÂʵ£º

£¨1£©·Ö×ÓÔÚÒ»¶¨¾àÀëÄÚÓÐÏ໥×÷ÓÃÁ¦£»

£¨2£©ÆøÏàÎïÖÊÃܶÈ×ÜÊÇԶСÓÚÒºÏà¡£´¦ÓÚÒºÌåÄÚ²¿µÄ·Ö×Ó£¬ÓÉÓÚ·Ö×Ó¼äµÄ×÷ÓÃÁ¦Ö»ÔڱȽ϶̵ľàÀëÄÚÆð×÷Óã¬ËÄÖÜ·Ö×Ó¶ÔËüµÄ×÷ÓÃÁ¦ÊǵÈͬµÄ£¬ºÏÁ¦ÎªÁ㣬ÓÚÊÇ·Ö×ÓÔÚÒºÌåÄÚ²¿Ô˶¯Ê±ÎÞÐè×ö¹¦¡£´¦ÔÚ±íÃæµÄ·Ö×ÓÔò²»Í¬¡£ÓÉÓÚÆøÏà·Ö×ÓÃܶÈԶСÓÚÒºÏ࣬ҺÌåÄÚ²¿·Ö×Ó¶ÔËüµÄÒýÁ¦½«´óÓÚÍâ²¿ÆøÏà·Ö×Ó¶ÔËüµÄÒýÁ¦¡£½á¹û£¬±íÃæ²ã·Ö×Ó³ÐÊÜÖ¸ÏòÄÚ²¿µÄºÏÁ¦×÷ÓᣴËÁ¦Á¦Í¼°Ñ·Ö×ÓÀ­ÏòÄÚ²¿£¬Õâ¾ÍÊÇÒºÌå±íÃæÇ÷ÓÚÊÕËõµÄ¸ùÔ´¡£·Ö×Ó¼ä×÷ÓÃÁ¦´óС²»Í¬±ØÈ»µ¼Ö±íÃæÕÅÁ¦Ç¿Èõ²»µÈ¡£¾ö¶¨±íÃæÕÅÁ¦µÄ×÷ÓÃÁ¦¿ÉÒÔ·ÖΪÁ½Àࣺ

£¨1£©»¯Ñ§Á¦£¬ÓÐÀë×Ó¼ü(ÈçÈÛÑÎÖÐ)¡¢½ðÊô¼ü£¨ÈçË®Òø¼°ÆäËûÒºÌå½ðÊô»òºÏ½ðÖУ©¡¢Çâ¼ü£¨ÈçË®¼°ÆäËû¶àôÇ»ùÒºÌåÖУ©£»

£¨2£©ÎïÀíÁ¦£¬ÓÐɫɢÁ¦£¨´æÔÚÓÚÒ»ÇзÖ×Ӽ䣩¡¢¶¨ÏòÁ¦(´æÔÚÓÚ¼«ÐÔ·Ö×Ó¼ä)¡¢ÓÕµ¼Á¦£¨´æÔÚÓÚ¼«ÐÔ·Ö×Ó¼äºÍ¼«ÐÔ·Ö×ÓÓë·Ç¼«ÐÔ·Ö×Ӽ䣩¡£Ò»°ã˵À´£¬»¯Ñ§Á¦±ÈÎïÀíÁ¦ÒªÇ¿¡£¹ÊÒºÌå½ðÊôµÄ±íÃæÕÅÁ¦½Ï¸ß£¬×ÜÔÚ100ºÁÅ£¶Ù/Ã×ÒÔÉÏ£»Éú³ÉÇâ¼üµÄÒºÌå±È²»ÐγÉÇâ¼üµÄÒºÌå±íÃæÕÅÁ¦¸ß¡£ÎïÀí×÷ÓÃÁ¦ÓëÎïÖÊ·Ö×ӵĴóС¡¢½á¹¹ÃÜÇÐÏà¹Ø¡£

µÈÕűÈÈÝ

¶¨ÒåΪ£º

¹«Ê½ ·ûºÅ

¡£Ê½ÖЦ¬Îª·Ö×ÓÁ¿£»DºÍd·Ö±ðΪÁ½ÏàµÄÃܶȡ£µÈÕűÈÈݵÄÖ÷ÒªÒâÒåÔÚÓÚ¾ßÓнṹ¼ÓºÏÐÔ£¬¼´»¯ºÏÎïµÄµÈÕűÈÈݵÈÓÚ¹¹³ÉËüµÄÔ­×Ó¡¢Ô­×ÓÍźͽáºÏ·½Ê½£¨Èç³ÉË«¼ü¡¢Èþ¼ü»ò³É»·µÈ£©µÄµÈÕűÈÈÝÖµÖ®×ܺ͡£ÓÉ´Ë¿Éͨ¹ý²â¶¨»¯ºÏÎïµÄ±íÃæÕÅÁ¦¡¢Ãܶȡ¢·Ö×ÓÁ¿À´¼ÆËãµÈÕűÈÈÝÖµ¶øÍƲâÆä·Ö×ӽṹ¡£ÕâÔÚÀúÊ·ÉÏÔøÆð¹ýÒ»¶¨×÷Ó㬵«ÔÚ¸÷ÖÖ¹âÆ×¡¢Äܯ׼¼Êõ¸ß¶È·¢Õ¹µÄ½ñÌ죬ÒÑûÓжà´óʵÓÃÒâÒåÁË¡£

±íÃæÕÅÁ¦µÄ²â¶¨·½·¨

ëϸ¹Ü·¨

´Ë·¨ÓòâÁ¿ÒºÌåÔÚëϸ¹ÜÖÐÉÏÉýµÄ¸ß¶ÈÀ´È·¶¨±í£¨½ç£©ÃæÕÅÁ¦¡£½«Ò»¸ùÒÑÖª°ë¾¶µÄëϸ¹Ü²åÈëÒºÌåÖУ¬ÒºÌåÔÚëϸ¹ÜÄÚÉÏÉý£¬Ö±µ½¹ÜÄÚÒºÌåÓë¹ÜÍâµÄÒºÌå³É¾²Á¦Æ½ºâΪֹ£¨Í¼1£©¡£

ͼ

Èôëϸ¹Ü°ë¾¶×㹻С£¬ÆäÖÐÉÏÉýÒºÌåµÄ°¼ÍäÔÂÃæ½üÓÚÇòÃæ£¬ÍäÔÂÃæµÄÇúÂʰ뾶RÓëëϸ¹Ü°ë¾¶rµÄ¹ØÏµÎªR£½r/cosθ£¬Ê½ÖÐθΪҺÌåÓëëϸ¹Ü±ÚµÄ½Ó´¥½Ç¡£Óɰ¼ÍäÔÂÃæÇúÂÊÒýÆðµÄѹÁ¦½µ¦¤p£½(2γcosθ)/r£¬Æ½ºâʱ£¬ ëϸ¹ÜÖеÄÒºÖù¾²Ñ¹Á¦Îª (ρ2£­ρ1)gh£½¦¤p£¬Òò´Ë¿ÉµÃµ½±í(½ç)ÃæÕÅÁ¦ÓëëϸÉý¸ßµÄ¹ØÏµ£º

¹«Ê½ ·ûºÅ

ʽÖÐρ2¡¢ρ1·Ö±ðΪÏà2ÓëÏà1µÄÃܶȣ»¦¤ ρΪÁ½ÏàµÄÃܶȲgÎªÖØÁ¦¼ÓËÙ¶È£»hΪëϸ¹ÜÖÐÒºÌåÉÏÉýµÄ¸ß¶È¡£Èôëϸ¹ÜÖеÄÒºÌåÍêÈ«Èóʪ¹Ü±Ú£¬Ôòθ£½0£¬cosθ£½1£¬ÔòÉÏÊö¹«Ê½¿ÉдΪ£º

¹«Ê½ ·ûºÅ

ÈôÏà1ÎªÆøÌ壬Ôòρ2-ρ1¡Öρ2£¬Ôò±íÃæÕÅÁ¦¹«Ê½¿ÉдΪ£º

¹«Ê½ ·ûºÅ

ëϸ¹Ü·¨µÄÔ­ÀíÑϸñ£¬½á¹û¾«È·£¬µ«²»ÊÊÓڶԹܱÚÓнӴ¥½ÇµÄÒºÌ壬ʵÑé²Ù×÷Ò²²»Éõ·½±ã£¬¹Ê½ÏÉÙÓ¦Óá£

µÎÖØ·¨

´Ë·¨ÒÔëϸ¹Ü϶˵ÎÂäÒºÌåµÄÖØÁ¿£¨»òÌå»ý£©²â³öÒºÌå±í£¨½ç£©ÃæÕÅÁ¦¡£½«Ò»µÎÒºÌå×Ô´¹Ö±µÄëϸ¹Ü϶˻ºÂýÏµΣ¬µ±ÒºµÎµÄÖØÁ¿´ïµ½±íÃæÕÅÁ¦Î¬³ÖÒºµÎ²»ÂäÏÂÖ®Á¦Ê±£¬ÒºµÎÈ«²¿´Ó¹Ü¿ÚÍÑÂ䣬¼´ÓУº

W£½mg£½2πrγ

ʽÖÐWΪҺµÎÖØÁ¿£»mΪҺµÎÖÊÁ¿£»gÎªÖØÁ¦¼ÓËÙ¶È£»rΪëϸ¹Ü°ë¾¶£¨ÒºÌåÈôÈóʪ¹Ü±Ú£¬ÎªÍâ°ë¾¶£»Èô²»Èóʪ¹Ü±Ú£¬ÔòΪÄÚ°ë¾¶£©¡£µ«ÔÚÒºµÎʵ¼ÊÏÂÂäʱ£¬Ö»Óв¿·ÖÒºµÎµÎÂ䣨ͼ2£©¡£

ͼ

´ËÍ⣬ÓÉÓÚÒºµÎÔڹܶËÐγÉϸ¾±£¬±íÃæÕÅÁ¦ÓëÖØÁ¦×÷Ó÷½Ïò²»Ò»Ö£¬¶øÓÐÒ»¶¨µÄ½Ç¶È£¬ÖÂʹ±íÃæÕÅÁ¦ÄÜÖ§³ÖµÄÒºµÎÖØÁ¿±äС£¬Òò´ËµÎÂäÒºÌåµÄÖØÁ¿Ó¦ÔÚÉÏʽµÄ»ù´¡ÉϼÓÒÔУÕý£¬¼´£º

W£½2πrγfʽÖÐf ΪУÕýÒò×Ó£¬ËüÊÇr/V„ µÄº¯Êý£»V ΪҺµÎÌå»ý¡£ÓÉ´Ëʽ¿ÉÇó³ö±íÃæÕÅÁ¦£º

¹«Ê½ ·ûºÅ

ʽÖÐFΪ1/2πf¡£

Èô½«ÒºµÎÖØÁ¿ÒÔÌå»ý±íʾ£¬ÔòΪ£º

¹«Ê½ ·ûºÅ

ʽÖÐρ2Óëρ1·Ö±ðΪµÎ¹ÜÄÚÒºÌåÓëÍⲿ½éÖʵÄÃܶȣ¬ÈôÍⲿ½éÖÊΪ¿ÕÆø£¬Ôòρ1¿ÉÂÔÈ¥¡£´Ë·¨²âµÃµÄ±í(½ç)ÃæÕÅÁ¦Êý¾Ý½Ï¾«È·£¬¶ÔÒ»°ãÒºÌå»òÈÜÒº½ÔÄÜÊÊÓᣵ«¶Ô±íÃæÕÅÁ¦Óкܳ¤Ê±¼äЧӦµÄÌåϵ²»Ì«ÊÊÓá£

»··¨

´Ë·¨°ÑÒ»½ðÊôË¿µÄÔ²»·ÖÃÓÚÒºÃæÉÏ£¬²âÁ¿½«´Ë»·À­ÀëÒºÃæËùÐèÖ®×î´óÁ¦£¬Óɴ˼ÆËã³ö±í£¨½ç£©ÃæÕÅÁ¦£¨Í¼3£©¡£

ͼ

»·±»ÏòÉÏÀ­Ê±»á´øÆðһЩҺÌ壬ÆäÖØÁ¿ÓëÑØ»·£­ÒºÌå½»½ç´¦µÄ±íÃæÕÅÁ¦ÏàµÈ£¬´ËʱÌáÉýÒºÌåµÄÖØÁ¿×î´ó£¬ÔÙÌáÉýÔò»·ÓëÒºÌå¶Ï¿ª¡¢»·ÍÑÀëÒºÃæ¡£»·¶ÔÆäÏÂÃæ»·×´ÒºÌåµÄÀ­Á¦PΪ£ºP£½mg£½2π(R£«r)㣫2π(R£­r)γ£½4πRγʽÖÐmΪ»·À­ÆðÒºÌåµÄÖÊÁ¿£»RΪ»·µÄƽ¾ù°ë¾¶£¬¼´»·µÄÄÚ°ë¾¶Óë½ðÊôË¿µÄ°ë¾¶Ö®ºÍ¡£Êµ¼ÊÉÏ»·À­³öµÄÒºÌå²¢·Çºñ¶È¾ùÔȵÄÒº»·£¬Ðè¼ÓÒÔУÕý£¬¿É°´ÏÂʽ¼ÆËã±í(½ç)ÃæÕÅÁ¦γ£º

¹«Ê½ ·ûºÅ

ʽÖÐF¡äΪУÕýÒò×Ó£»ËüÊÇR3/VÓëR/rµÄº¯Êý;VΪԲ»·´øÆðµÄÒºÌåÌå»ý£¬¿ÉÓÉP£½mg£½Vρg(ρΪҺÌåÃܶȣ»gÎªÖØÁ¦¼ÓËÙ¶È)µÄ¹ØÏµÇó³ö¡£ÓÉʵÑéµÃ³öR3/VµÄÊýÖµ£¬´úÈ빫ʽÒÔ¼ÆËãγ¡£

µõƬ·¨

´Ë·¨ÊDzⶨһƽ°å¸ÕºÃ½Ó´¥±íÃæ»ò½çÃæÊ±£¬ËùÊܵ½µÄÏòÏÂÀ­Á¦P£¬Óɴ˼ÆËã±í£¨½ç£©ÃæÕÅÁ¦£¨Í¼4£©£º

ͼ

P£½2(l£«d)γ

ʽÖÐlºÍd·Ö±ðΪƽ°åµÄ³¤¶ÈºÍºñ¶È¡£´Ë·¨¶Ô²»ÍêÈ«ÈóʪµõƬµÄÒºÌå»á²úÉú½Ï´óµÄÎó²î¡£

×î´óÆøÅÝѹÁ¦·¨

´Ë·¨ÊDzⶨһëϸ¹ÜÔÚÒºÌåÖдµ³öÆøÅÝËùÐèÖ®×î´óѹÁ¦£¬ÒÔÇóµÃÒºÌåµÄ±íÃæÕÅÁ¦¡£½«Ò»¸ùϸ¿ÚµÄëϸ¹Ü²åÈëÒºÏ࣬ʹÆä¹Ü¿Ú¸ÕºÃ½Ó´¥ÒºÃ棬Ôö¼Ó¹ÜÄÚѹÁ¦£¬¹ÜÄÚ°¼ÐÎÒºÃæÏ½µ£¬ÔڹܿÚÐγÉÒ»¸öÆøÅÝ£¬ËæÆøÅÝÖð½¥Ðγɣ¬ÆäÇúÂʰ뾶²»¶Ï½µµÍ¡£µ±ÆøÅÝÇ¡ºÃÔÚëϸ¹Ü¿ÚÐγɰëԲʱ£¬ÆäÇúÂʰ뾶×îС£¬´ËʱÅÝÄÚѹÁ¦×î´ó£¬ÆøÅÝÌå»ýÈôÔÙÔö´ó£¬ÆøÅÝͻȻ×Թܶ˴µ³ö£¬Ñ¹Á¦¼´Ï½µ¡£ÅÝÄÚ×î´óѹÁ¦pm¿É±íʾΪ£º

pm£½2γ/R£½ρgh

ʽÖÐRΪëϸ¹Ü¿ÚµÄÄÚ°ë¾¶¡£Ò»°ã pm¿É×ÔÓëëϸ¹Ü½ÓͨµÄUÐ͹ÜѹÁ¦¼ÆÖÐÒºÌåµÄÃÜ¶È ρºÍ¸ß²îhÇóµÃ¡£´Ë·¨²â¶¨Óë¼ÆËã½Ô½Ï¼òµ¥£¬ÊDzⶨÐÂÏʱíÃæµÄ×¼¶¯Ì¬·¨£¬µ«²»ÊÊÓڲⶨ´ïµ½Æ½ºâ½ÏÂýµÄ±íÃæÕÅÁ¦¡£

ÐüµÎ·¨

´Ë·¨ÊÇͨ¹ý²â¶¨Ðü¹ÒÔÚëϸ¹Ü϶˵ÄÒºµÎ£¨»ò¸¡ÓÚÉÏ¶ËµÄÆøÅÝ»òÇáµÄÒºµÎ£©µÄÐÎ×´£¬Çó³ö±í(½ç)ÃæÕÅÁ¦¡£ÊµÑé²â¶¨³öÐüµÎµÄ×î´óÖ±¾¶de¡¢ÒºµÎµ×²¿¶¥µãÏòÉϾàÀëΪ de´¦µÄÖ±¾¶ds£¨Í¼5£©¡£×Ôds/deµÄÊýÖµÇóµÃ¶ÔÓ¦µÄ1/H ÊýÖµ(HÊÇÒºµÎÐÎ×´µÄº¯Êý)£¬´úÈëÏÂʽ¿ÉÇó³ö±í£¨½ç£©ÃæÕÅÁ¦£º

γ£½(ρ2£­ρ1)gdŠØ/H

´Ë·¨µÄÓŵãÊÇ¿ÉÒԲⶨʱ¼äЧӦ³¤µÄ±í£¨½ç£©ÃæÕÅÁ¦¡£

ͼ

²Î¿¼ÎÄÕÂ