磁标势

浏览

为简化磁场的计算,在一定条件下,引入的一个辅助物理量。

如果稳恒磁场的某个局部区域V中没有传导电流,且其中任何封闭曲线L都不能包围传导电流,以H表示区域内各点的磁场强度,ds表示面积元,即有

(1)

类似于静电场中引入电位的方法,可引入磁标势m

H=-墷m。 (2)

V中某点Po作为基准点,定义任一点P的磁标势m(P)如下

(3)

式(2)中m(Po)为任一常数,H的单位是安/米,m的单位是安。

稳恒电流大都是在细长导线的回路中流动的。磁场则大都在没有传导电流的空间中。为了使 V中的任一封闭曲线满足式(1),可限定以电流回路为边缘的任意形状的一个曲面为不可穿越的壁障。图1、图2分别示出了长直电流和圆形电流所假想的壁障。其中长直电流的壁障是包含电流且向左延伸的无穷大平面,图1中的1与2是壁障二侧无限靠近的二点。应用安培环路定理求H的环量时,如取途径1M231不包围电流,可使式(1)满足。当取由1经M至2的途径对H积分时, 值等于长直电流的电流强度I。由式(3)得

(4)

由此得到一个普适的结论:壁障是磁标势有I突变的突变面。

图1 图2

容易计算出长直电流的磁标势分布。若取点1为零势,则

其标势只是θ的函数。θ相同的各点标势相同,构成等磁势面,且磁力张(H线)与其处处正交,如图3所示。任何磁力线总与等磁势面正交,这可由式(3)直接得出。

图

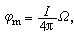
对于线电流回路的磁场利用磁标势法来计算是方便的。可以证明任意载流回路在空间任一点 P的磁标势为

(5)

式中I是回路中的电流,Ω是回路在P点所张的立体角,从P点看电流逆时针方向时,立体角为正。如果计算出立体角Ω,再根据式(2)即得H

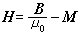
在讨论磁介质磁化或铁磁体的磁场时,因所讨论磁场范围内没有传导电流,故可用磁标势法来处理。

由磁场的高斯定理H的定义可得H的高斯定理

(6)

其中

(7)

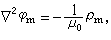
与静电场的高斯定理相似。这样,磁场强度H与电场强度E具有形式相同的规律,且HEmμoεoμoMP有对应关系。据此可直接由静电势方程写出对应的磁标势方程

(8)

其中

(9)

两种磁介质分界面上满足的边界条件为

(10)

(11)

对铁磁体的磁场,若已知M,则问题归结为在给定边界条件下求解磁标势的泊松方程。对于分区均匀的各向同性线性媒质,问题归结为在给定边界条件下解磁标势的普拉斯方程。