磁体

浏览

产生一定强度的磁场的装置。物理实验中常用的产生稳恒磁场的磁体大致有下列几种。

(1)螺线管,产生恒定而均匀磁场的装置。能达到的磁场强度约为 109~1T(特斯拉)。

(2)亥姆霍兹线圈,在大范围空间内产生非常均匀磁场的装置。其磁场强度一般不超过0.1T。

(3)电磁体,应用最广的磁体。借助于励磁线圈和轭铁、铁芯,可在不同大小空间内产生大约不超过2T的稳恒磁场。

(4)毕特磁体,实际是特殊构造的电流磁体。泵水冷却,可载高达1万安培的电流。在直径数厘米空间内产生高达30T的磁场。因此,功率消耗甚大。

(5)永磁体,利用永磁材料产生磁场的装置。磁场强度为 10-3~1T。特点是无需供电,结构一般小巧、紧凑。

(6)脉冲场磁体,利用瞬时强大的脉冲电流通过一高强度的线圈,在毫秒或微秒时间里产生10~103T磁场的装置。

(7)超导磁体,利用低温超导现象,用属于第二类超导体的合金丝绕制的线圈以产生强磁场的装置。它不需消耗大量电能而能长时间保持1~20T的磁场。下面仅对用途最广泛并有代表性的电磁体和超导磁体,作一简单的介绍。

电磁体

实验室中常用的外斯型磁体的结构如图 1所示。图中G是空气隙,即供使用的磁场空间;T是极靴,它把磁通尽可能集中到气隙内;P是铁芯;C是励磁线圈,用来激发磁通和控制磁场的大小;Y是轭铁。通过气隙、极靴和铁芯的磁通由此闭合。

图1

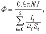
若完全无漏磁,根据磁路定理,电磁体产生的磁通为

其中N为励磁线圈的总匝数,I为导线中的电流强度。lo为空气隙距离,μo为空气中的磁导率,So为空气隙的等效截面积。i为1、2、3时的liμiSi分别表示极靴、铁芯和轭铁的长度、磁导率和截面积。li/μiSi就是各部分的磁阻。求得的Ф除以So,即,就是空气隙中的磁场强度。

Bo增加时,磁路各部分的漏磁增大,公式(1)和实际的偏离也增大。所以在实际设计电磁体时,铁芯材料都用饱和磁化强度大、磁导率高的工业纯铁,极靴采用工业纯铁或铁钴合金,常做成圆锥台形。轭铁多用工业纯铁或退火的低碳钢,轭铁的截面积要比铁芯的适当放大些,使磁导率大和漏磁少。实际安匝数要比公式(1)给出的大一些,并根据电源的数据或使用上的要求,调节其NI 的值。

除了外斯型结构的电磁体外,还有图2所示双轭铁型(a,b)。它结构牢固,磁场对称性好。图2c称为毕特型电磁体,它和前面讲的毕特磁体不是一回事。毕特磁体是电流磁体,而毕特型电磁体主要是靠铁芯来增强磁场的。它的结构紧凑小巧,漏磁很小,磁场相对更强,但制作比较复杂。

电磁体是产生中、强磁场的专用设备。它能按照使用要求改变磁场的强度、方向和工作空间。它广泛地应用于磁性材料的各种测量,磁光、磁电和磁共振等研究以及磁场处理、磁场排列等技术中。在有特殊需要时,它还能做到磁场在空间上高度均匀或在时间上高度稳定。重量可从几公斤到几十吨。

图2 超导磁体

超导材料做成的磁体。随着不均匀第二类超导材料的发现(1961),超导磁体才开始显出实用的价值。在结构上超导磁体比常规磁体要复杂一些,然而它的体积和重量要比同性能常规磁体小几个数量级。超导磁体的磁场完全靠通过超导材料的大电流产生,因此可把磁场空间做得大而均匀。由于磁体本身所受电磁力很大,通常超导磁体的骨架结构材料多用强度比较大的无磁不锈钢铝合金作成。

制作超导磁体的工艺技术要求是非常严格的。磁场在8T以下者大都用铌钛多芯线材或编织带制作;8~15T一般多用铌三锡材料制作;15T以上多采用钒三镓材料或其他混合超导材料制作。现在用超导材料与常规导体材料相混合制作的磁体已达到几十甚至上百特斯拉。如用爆炸法压缩磁通线,可产生上千特斯拉的强脉冲磁场。

为了使超导磁体能够安全稳定地运行,人们采取了很多抑制磁通跳跃和防止丧失超导性的措施。由于超导磁体在运行过程中储存着大量的能量,一旦超导破坏,就有可能烧毁磁体或使整个装置爆炸。因此,还必须要有可靠而灵敏的保护磁体的引能系统。

超导磁体的主要特点是:

(1)能在比较大的空间内产生十几特斯拉的磁场。

(2)经过多种辅助线圈的补偿,可获得10-8~10-11均匀度的磁场空间,该空间可以在室温到低温间连续可调。

(3)利用超导焊接闭合技术,可把电流锁在磁体线圈中形成持续电流,从而获得不随时间变化的高稳定度的恒定磁场。由于电阻为零,因而磁体本身不消耗能量。

参考文章