[拼音]:shouheng geshi
[外文]:conservative scheme
一类差分格式。如果差分格式的解满足微分方程所描述的守恒律的离散模型,就称它是该微分方程的守恒格式。
描述d 维空间 Rd 中的一个区域Ω内、在时间间隔[0,T]上物理量U(尣,t)的守恒性质,一般可以用积分关系式表示为
式中F是一个d维向量,表示流量,它的每一个分量都是U(包括它的导数)的函数,有时还依赖于尣和t;Q 是源项;嬠ω是ω的边界;n是ω 的外法线方向。当U 和F充分光滑时,积分关系式(1)与微分方程
(2)
是等价的。这种形式的方程称为守恒律,在物理学、力学及其他各门学科的研究中经常碰到。例如在笛卡儿直角坐标系中,非定常可压缩理想流体力学方程就是一组描述质量、动量、能量守恒的守恒律,即
式中ρ、u、p、E分别表示密度、速度、压力、总能量,l是单位张量。又如描述热量守恒的热传导方程
(3)
也是一个守恒律,其中U=сvT,сv是定容比热,T是温度;流量F=-kgradT依赖于T 的导数,k是热传导系数。如果方程(3)中的未知量T不依赖于时间t,即方程左端等于零,可得描述定常问题的椭圆型方程。
守恒格式一般是从积分守恒关系式(1)出发,利用积分插值方法建立起来的。首先将区域Ω剖分为一组子区域{ωj}。取(1)中的积分区域ω为任一ωj,t2=t1+Δt。然后将(1)中的积分用离散化的近似公式代替。如果 ωj与ωj是两个相邻的子区域,它们的边界就有共同的部分Γij。当Γij 作为ωj的边界和作为ωj的边界时,其上的外法线方向n正好相反,所以当
时,流量
离散化以后的表达式应该只差一个负号。这意味着从一个子区域流出的物理量全部流入相邻的子区域,因而保持了守恒的性质,这样就得到守恒格式。
一维(d=1)守恒律的守恒格式的一般形式为
,
式中α、β均取闭区间[0,1]上的值,
,
是和
相容的。对于二维(d=2)问题的守恒格式,以抛物型方程
为例。将方程(4)在时间间隔[tn,tn+1]和空间区域ω上积分,就得等价的积分守恒关系式(1),式中
。
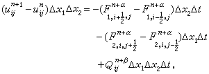
取ω为
和
四条直线所围成的矩形,然后用近似积分公式得出
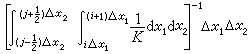
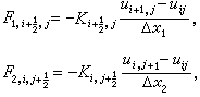
式中
而
可取作
或其他近似式。椭圆型方程的守恒格式可类似地得出。
守恒格式的优点在于它的解能比较好地反映物理量基本的守恒性质。同时,由于守恒格式可以看作是从积分守恒关系式(1)出发建立的,对于间断解,微分方程(2)是不成立的,但是积分关系式(1)仍然满足,因此用守恒格式来计算间断解往往不失为一种有效的方法。