[拼音]:Wang lai
中国清代数学家。字孝婴,号衡斋,安徽歙县人。生于乾隆三十三年,卒于嘉庆十八年。出身于贫苦家庭,幼年受教育不多,但他爱学习,“不由师傅,深造自得”,自学了数学、天文、测量、乐律和经史等知识。1807年到北京考取八旗官教习,在国史馆纂修天文志、时宪志(即民用历书)。汪莱的工作以数学最为突出,遗作经学生夏燮整理,出版《衡斋算学》七册。这是他在1796~1805年写成的数学研究成果,其中第五、六两册还吸取了友人李锐、焦循的意见。
汪莱在数学上的贡献主要有以下几方面:
(1)方程论 在深入研究秦九韶、李冶正负开方术的基础上,他对24个二次方程(他称为一乘方形)、72个三次方程(二乘方形)逐个讨论,认为高次方程的正根应有几个,只取其中一个根作为完整答数是不恰当的。由此他归结出当一般二次方程、三次方程不止有一个正根时,方程的系数应具备的条件,他并总结了三次方程的根与系数的一般关系。其结果相当于说,如方程αx3-bx2+сx-d=0有三个正根α,β,у,那么有
这个结果与韦达定理是一致的,不过汪莱限定 α,b,с均为正数。他还分析了从二次方程到十二次方程的18个例子以探索三项式方程有正根的条件,其结果相当于方程
(
都是自然数,
,
)有正根的条件是:
在此基础上,李锐在所著《开方说》中,使方程论研究取得进一步提高。
(2)球面三角形的解 汪莱在《衡斋算学》的第一册中系统地讨论了球面三角形六种基本问题的求解,分别得出了有解和无解的条件。例如第四种问题:已知两边及一对角且这一个对角小于一象限时,汪莱对全部19种有解、无解情况中的11种都有正确论断。
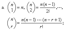
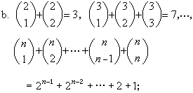
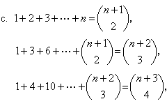
(3)组合公式 《衡斋算学》对组合公式有专题研究,所获公式相当于如下结果:



等等。