傅里叶变换

浏览

一种积分变换,它来源于函数的傅里叶积分表示。积分

   (1)

称为ƒ 的傅里叶积分。周期函数在一定条件下可以展成傅里叶级数,而在(-∞,∞)上定义的非周期函数ƒ,显然不能用三角级数来表示。但是J.-B.-J.傅里叶建议把ƒ表示成所谓傅里叶积分的方法。  设ƒ(x)是(-ll)上定义的可积函数,那么在一定条件下,ƒ(x)可以用如下的傅里叶级数来表示:

(x∈(-Л, Л)),    (2)

式中

。 (3)

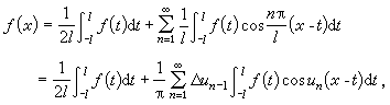
把(3)代入(2),即有

式中un/l (n=1,2,…);。当l→∞时,上式第一项趋于0,级数换成积分,因此形式上就成为

。 (4)

这就是傅里叶积分的直观推导。记号~表示右方的积分是从 ƒ得来的,它并不意味着右方积分收敛,即使收敛,也未必等于ƒ(x)。

傅里叶积分的收敛判别法

类似于傅里叶级数,相应的收敛判别法也有多种。为了简单起见,假定ƒ是连续的。  ① 迪尼判别法 假如对于某个h>0,积分

那么ƒ的傅里叶积分(1)在点x收敛于ƒ(x)。

(2)狄利克雷-若尔当判别法 如果函数ƒ在含有点x的某区间,例如(x-hx+h)上分段单调,则ƒ 的傅里叶积分在点x收敛于ƒ(x)。

傅里叶积分的复数形式

傅里叶积分(1)中的内层积分u的偶函数,所以(4)式可以形式地写成

。 (5)

另一方面,积分u的奇函数,所以形式上,积分

, (6)

合并(5)与(6),利用公式e =cosθ+isinθ,即得

  (7)

最后的积分称为ƒ的傅里叶积分的复数形式。

傅里叶变换与傅里叶逆变换

(7)中内层积分

,     (8)

称为ƒ的傅里叶变换,记为弮(u)。在一些书中,积分前面的因子代替,相应地,下面的逆变换积分前面应添加因子。以上都假定了函数ƒl1(-∞,∞),所以(8)中的积分是存在的。进一步可以证明,ƒ的傅里叶变换弮(u)是u的连续函数;当u→±∞时,弮(u)→0;此外,若弮(ul1(-∞,∞),则几乎处处成立下面的逆转关系:

。      (9)

上式称为弮(u)的傅里叶逆变换。例如的傅里叶变换弮(u)等于;而弮(u)的傅里叶逆变换是

L2(-∞,∞)中函数的傅里叶变换

对于ƒ(xl2(-∞,∞),(8)中积分未必收敛,由(8)定义的傅里叶变换可能不存在。因此,对由(8)定义的傅里叶变换需要从另一种意义上去理解。可以证明,函数

l→+∞时在空间l2(-∞,∞)内按范数收敛于某函数F(xl2(-∞,∞),即

。  (10)

这样所得的F(x),称为ƒ的傅里叶变换,也记作F(x)=弮(x)。此外,还可以证明,以下的关系成立:

。 (11),

上述结果,即为普朗歇尔定理,(11)式相应于傅里叶级数论中的帕舍伐尔等式。

佩利-维纳定理

假如ƒl2(-∞,∞),并且ƒ(x)=0 (|x|>σ),那么ƒ的傅里叶变换为

把上式积分中的x换成复变数z(z=x+iy),即得复平面上定义的函数F(z):

。   (12)

可以证明Fz)是复平面上的解析函数。此外,由于ƒl2(-σσ),可得估计

这就是说,(12)定义的F(z)是一个指数σ型的整函数。下面的佩利-维纳定理则说明逆命题也成立:  设σ>0,F(xl2(-∞,∞),那么F(x)为l2(-∞,∞)中以(-σσ)为支集的某函数ƒ(t)的傅里叶变换的充分且必要的条件是,F(x)为指数σ型整函数F(x+iy)在x轴上的限制。

多元傅里叶变换

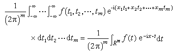
m欧几里得空间Rm上的l可积函数,即ƒl(Rm),那么称函数

ƒ的傅里叶变换,记作弮(x)。假如ƒ(xl2(Rm),那么同样可以证明,“截断”积分

K趋于无穷时,在空间l2(Rm) 中按范数收敛于某函数F(x)就称为ƒ的傅里叶变换。类似于一元的情形,成立着普朗歇尔定理。

以傅里叶变换为工具,研究函数的许多性质,是傅里叶分析的主要内容。傅里叶变换在数学、物理以及工程技术中都有重要的应用。

参考书目
  1. E.M.Stein and G.Weiss,Introduction to Fourier Analysis on Euclidean Spaces,Princeton Univ.Press,Princeton,1971.