[拼音]:jifen bianhuan
[外文]:integral transform
通过参变量积分将一个已知函数变为另一个函数。已知ƒ(x),如果
存在(α、b可为无穷),则称F(s)为ƒ(x)以K(s,x)为核的积分变换。
积分变换无论在数学理论或其应用中都是一种非常有用的工具。最重要的积分变换有傅里叶变换、拉普拉斯变换。由于不同应用的需要,还有其他一些积分变换,其中应用较为广泛的有梅林变换和汉克尔变换,它们都可通过傅里叶变换或拉普拉斯交换转化而来。
梅林变换
当K(s,x)=xs_1,x>0,而ƒ(x)定义于[0,+∞),函数
(1)
称为ƒ(x)的梅林变换,式中s=σ+iτ为复数。M(s)的梅林反变换则定义为
(x>0), (2)
这里积分是沿直线Res=σ 进行的。
(1)式与(2)式在一定条件下互为反演公式。例如,设(1)绝对收敛,在任何有限区间上 ƒ(x)是有界变差的,且已规范化:
,则由(1)可推得(2),在l2(0,∞)空间中也有类似结果。
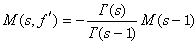
若以M(s,ƒ′)表示ƒ′(x)的梅林变换, 则在一定条件下,有
。在一定条件下,还有下列梅林交换的卷积公式:
,
式中с>Res。
一些简单函数的梅林变换(α >0)如表:
汉克尔变换
设Jγ(x)为у阶贝塞尔函数(见特殊函数),ƒ(x)定义于[0,+∞),则称
(3)
为ƒ(x)的у阶汉克尔变换;而称
(4)
为h(t)的汉克尔反变换。有的作者代替(3)与(4)改用
与
,
效果是一样的。在一定条件下,(3)与(4)成为一对互逆公式,此外,还有
一些简单函数的汉克尔变换如表:
- 参考书目
- A.Erdélyi, ed.,table of Integral Transforms,Vol. 1, McGraw-Hill, New York, 1954.
- 特兰台尔著,潘德惠译:《数学物理中的积分变换》,高等教育出版社,北京,1959。(C.J.Tranter,Integral Transforms in MatheMatical Physics,2nd ed.,John Wiley & Sons, New York, 1956.)
- D.V.Widder,An Introduction to Transform Theory,Academic Press, New York, 1972.