显微镜

浏览

获得微小物体或物体细节的放大像对物体进行观察的光学仪器。为识别微小物体或物体细节,要把物体移近眼睛以增加物体对人眼的张角。受眼睛调节能力的限制,物体不能无限制地移近眼睛,它必须置于眼睛近点之外,一般为 250mm,该距离称为明视距离。当物体置于明视距离,细节对人眼的张角仍小于眼睛的极限分辨角(1┡)时,则必须借助于放大镜或显微镜将其放大成像,供人眼观察。

发展简史

早在公元前5~前4世纪,中国古著作《墨经》就指出,用凹面镜可以获得一个缩小倒立的像和一个放大正立的像,这是人类关于物体放大或缩小的最早记载。1610年左右,伽利略首创两级放大的显微镜。后来荷兰 A.van列文虎克研制成放大率达二百多倍、分辨率为1.4μm的显微镜。1807年H.van代耳最早研制出消色差显微物镜。1827年G.B.阿米奇发明了孔径角高达120°的三组消色差物镜,1850年阿米奇又提出浸液物镜。1873年E.阿贝提出显微镜二次衍射成像概念,接着阿贝又于1886年研制成功复消色差显微物镜。

虽然显微镜早在17世纪初就发明了,但直到19世纪中叶才开始获得应用。19世纪末的40~50年间,理论和技术急速发展并接近完善,光学显微镜的物镜、目镜及基本结构也已大体确定。近代致力于发展研究用显微镜,以满足各个领域的需要。

成像原理

表征显微镜主要特征之一的放大率为视觉放大率。视觉放大率定义为:通过显微镜观察物体时,其像对眼睛张角的正切与眼睛直接观察物体时物体对眼睛张角的正切之比。

根据结构及放大率,显微镜可分为简单显微镜和组合显微镜。简单显微镜又叫放大镜,放大率м

м=250/f┡,式中f┡以mm为单位。放大镜的放大率由焦距(f┡)决定,高倍放大镜只能有短的焦距,因而限制了视场及工作距离的增加,一般放大镜的放大率为5~20倍。为进一步提高放大率并能取得合适的工作条件必须采用组合显微镜,简称显微镜。

显微镜由物镜、目镜两个部分组成,为充分发挥其效能,还需要有一个照明标本的聚光系统。

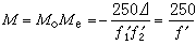
图1表示显微镜系统成像原理图,L1为物镜,L2为目镜,人眼在目镜后一定位置上。位于物镜物方焦点以外的物体AB,经物镜成一个放大倒立的实像A┡B┡于目镜物方焦点F2上或之后很靠近的地方;目镜再将A┡B┡成一个放大正立的虚像A″B″于无穷远或明视距离,以供人眼观察,显微镜的放大率м

式中мo为物镜的垂轴放大率,мe为目镜的视觉放大率,分别为物镜、目镜的焦距,墹为光学筒长,即物镜的像方焦点到目镜的物方焦点之间的距离,f┡为物镜与目镜的组合焦距。由此可见,显微镜相当于焦距为f┡的放大镜。式中负号表示当>0时,显微镜成倒立的虚像,反之<0,成正立实像。

图

显微镜的物镜、目镜各由数只组成一套,物镜和目镜间的不同组合构成不同的放大倍率。物镜采用转换器调换;目镜采用插入式调换。物镜、目镜在镜筒中支承面之间的距离称为显微镜的机械筒长。显微镜应满足齐焦要求,即调换物镜后,不需要重新调焦就能看到物体的像。为此,不同倍率物镜的共轭距应为常数。光学筒长随物镜的焦距而异。

阿贝成像理论

阿贝成像原理

分辨率和有效放大率

显微镜的分辨率 (即分辨本领)与照明条件及照明光束的相干度等有关。显微镜的分辨率是以物面上能被分辨开的两点之间的最小距离δym表示。根据瑞利判据

式中λ0为真空波长;NAnsinu0为物镜的数值孔径,u0为物光束的孔径角。采用折射率n>1的浸液物镜以及提高物镜的孔径角,其目的均在于提高显微镜的分辨率,为充分利用物镜的分辨率,使物镜所分辨的物体细节能同时被眼睛看清楚,显微镜必须满足显微镜的有效放大率的要求。即

500NAм<1000NA

提高分辨率的另一途径是减小波长,由此发展了波长为1┱(埃)的电子显微镜,分辨率可达几埃,比可见光提高一千倍。

物镜

见透镜及透镜组。

目镜

由于物镜的高倍放大,导致目镜的相对孔径很小,一般为1/20~1/40;显微目镜是短焦距、小相对孔径及大视场系统。目镜应校正彗差、像散和倍率色差。像面弯曲一般不大,而且对目视影响不大。目镜类型的选择在相当大程度上取决于物镜的类型。观察用显微镜,采用消色差物镜和惠更斯目镜;测量用显微镜,采用消色差物镜和冉斯登目镜;与复消色差物镜和半复消色差物镜匹配使用的是补偿目镜;显微照相及显微投影需采用平场物镜与平场目镜。

照明系统

照明系统使试件获得充分而均匀的照明,并使像面有高的对比及分辨率。照明方法有两种:一种叫临界照明,聚光镜把光源成像于物平面上,这种照明方法的缺点是光源本身的不均匀性直接反映在物面上;另一种叫柯勒照明,光源成像于物镜的入射光瞳上,物面能获得均匀的照明。聚光系统中常设有两个可变光阑:一个为孔径光阑;另一个为视场光阑。在满足显微物镜的视场及孔径的条件下,应缩小光阑的口径至最小限度,以减少杂散光的影响。

根据成像光束特性,照明又可分为两种照明方法:一种叫亮场观察,成像光束是被试件规则反射或折射的光束;另一种叫暗场观察,由试件正规反射或折射的光束不能射入物镜参与成像,成像光束是物体表面散射的光束,因而是在暗的背景上进行观察,故叫暗场观察。由于眼睛在暗场时具有更高的灵敏度,而且暗场时,像的对比度高,因而暗场观察具有更高的分辨率。

根据试件特性,有三种照明装置。

(1)用透射光观察透明物体,观察生物标本即属此类。

(2)用反射光观察非透明物体,金相显微镜观察金属磨片属此类。可以用暗场或亮场观察。低倍大工作距离的物镜,可以从侧面对物体进行照明,叫单向暗场照明。也可以从垂直方向实现全向暗场照明。若把物镜本身作为聚光镜的一部分,则为垂直亮场照明。

(3)暗场观察微粒的超显微术,利用显微镜观察比 0.1μm更小的超显微粒子的技术称为超显微术。超显微粒子小于显微镜的分辨率极限,用亮场观察法则不能发现此粒子,在暗的背景上,利用粒子的散射光则能看到亮的微粒子的像。

为更好地识别物体细节,必须力求增加像的对比度。生物标本的着色以及金属切片的腐蚀都是为了增加物体不同区域的对比度。除此以外还有多种不同的照明方法可以提高像的对比度。例如暗视场照明、缝隙照明(被照明狭缝以小的倾斜角成像于被测表面,由狭缝像的相应弯曲探测被检表面的不平整度)等。也可以用干涉的方法增加像的对比度,如各种类型的干涉显微镜及相衬显微镜等。也可以改变光线的状态,例如用偏振光照明识别双折射状态不同的物质;用紫外线照射识别物质的荧光性等。

类型

近代科学的发展,对显微镜提出各种特殊要求,下面讨论各类特殊显微镜。

双目立体显微镜

使用单目显微镜时由于用单眼观察,工作的眼睛易于疲乏,而且无空间立体感,不便于判断试样深度方向上的细节。

立体显微镜是把被观察的物体放大,形成正立的有立体感的像,它具有较长的工作距离和较大的视场,常用于检验、装配和修理细小的精密零件以及电子线路的焊接等工作。

早期立体显微镜采用两个显微镜镜筒,光轴之间的夹角为14°~16°,数值孔径不超过0.1,放大率不大于12倍,即整个显微镜的放大率不超过120倍。它的缺点是两个中间像平面彼此倾斜;可进一步采用一组公用的大物镜,从而使中间像平面平行于物平面。

立体显微镜有不连续变倍和连续变倍两种类型。

不连续变倍立体显微镜,被观察物体置于大物镜的焦面上,被大物镜成像于无穷远;然后经伽利略系统(变倍)、小物镜及屋脊棱镜在目镜的焦平面上形成正立的实像;由于左右两支光路以不同的角度观察物体,因此产生立体感。

连续变倍立体显微镜,物体经大物镜后进入变倍透镜组成虚像于固定的像面上;然后经辅助透镜、棱镜成像于目镜焦平面。利用凸轮控制变倍透镜组的轴向移动,保证像面位置不变的条件下,放大率在一定范围内连续变化。

金相显微镜

金相显微镜用以观察金属磨片等非透明物体,不必采用盖玻片(0.17mm),因而加盖玻片的生物显微镜物镜在此不适用,应采用无盖玻片物镜。试样不透明,照明光束从上面照射非透明物体。

干涉显微镜

干涉显微镜是由显微镜和干涉仪组合而成,基于测量干涉条纹的弯曲量而测量表面的微观不平度及透明物体的折射率不均匀性等。在良好的条件下,可以测量到λ/1300位相差。干涉显微镜分反射型和透射型两种类型。

反射型如图2所示,由光源L发出的光束,经分光板部分为两束:一束射向试样S1;另一束射向参考表面S2。由S1、S2反射的光束分别经物镜O1、O2在目镜的焦面S┡上形成两个表面像。构成两个像的光束在像的对应点上是相干的,由目镜观察干涉条纹。由于加工、装配的缺陷,使O1、O2两组物镜不完全一致,则干涉图样产生附加畸变。为此发展了一种单物镜干涉显微镜,其光学系统如图3所示。玻璃板P2上表面把入射光束分为两束,一束射向试样S;另一束射向玻璃板P1的上表面,即参考表面。两束光反射后会合产生干涉条纹。该系统的优点是显微物镜O的缺陷不影响干涉条纹,但这类物镜的孔径很小,因此限制了它的使用。

图2 图3

透射型的基本原理是由光源发出的光束,经分光装置分为两束,它们分别射入试件的不同区域,两束光会合后产生干涉条纹,由目镜观察干涉条纹。可以有许多种不同的方案实现上述原理。

(1)双焦干涉显微镜。如图4所示,入射光束经起偏镜P1以及双折射透镜L1分为不同会聚度的两束光。一束通过试样S中心,产生理想的参考球面波;另一束通过试样圆区域,其中每条光线受试样不均匀性的影响而产生不同的位相变化,形成变形波面。经物镜O、双折射透镜 L2和检偏镜P2两束光会合于目镜焦面上,产生干涉。

图4 图5

(2)环形光路式干涉显微镜。如图5所示,分光后的光束以相反方向射入试样S,上光束射入试样中心,下光束试入试样圆区域,合成该二束光而产生干涉。

(3)剪切式干涉显微镜。用各种方法使光波发生剪切,合成这两束光而产生干涉。剪切式干涉显微镜适合于测量具有离散特性的光学性能,如细胞等。

偏光显微镜

偏光显微镜用于矿物学、岩石学、生物学、化学、药物学、金属和冶金等部门分析和识别物质。在结构上具有下列特点:

(1)在载物台之下有一个下偏光镜、使入射的自然光变为偏振光。

(2)在物镜上有一个正交于下偏光镜的上偏光镜。

(3)在目镜下面有一个小的凸透镜并附有锁光圈装置称勃氏(Bertrand)镜。上偏光镜与勃氏镜可以推进或拉出。

偏光显微镜可置于下列三种工作状态:

(1)单偏光镜(用下偏光镜)下工作,用以测定矿物外表特性与光吸收有关的光学性质以及与折射率有关的光学性质。

(2)正交偏光镜下工作,平行入射的光束经正交偏光镜后视场全暗。它们间插入试件后则出现“消光”或“干涉”等光学现象。

(3)锥光镜下工作,在下偏光镜之上加入一个聚光镜,使平行偏光束变为锥形偏光束射入试件,经上偏光镜后发生消光和干涉,可以去掉目镜,直接观察干涉图像,也可以把勃氏镜与目镜组合成一个望远镜式的放大系统,观察放大的干涉图像。

荧光显微镜

许多物质如人和动物的细胞等均具有荧光性。荧光显微镜利用物质的荧光性识别物质,利用物质的荧光色性易于作细菌探测。荧光物质把入射的紫外线变为可见光,使荧光显微镜对可见光成像,故可以采用常规的物镜和目镜。照明试样的聚光系统必须考虑对紫外线的透射性。当辐射波长在 3000┱以下时,应采用贵重的石英玻璃作载玻片,为避免试样上的灰尘或污点产生外来的荧光,被检试样必须十分清洁。为防止紫外线进入物镜,可以采用暗视场照明。

相衬显微镜

显微术中所观察的许多物体,如生物切片、油膜和位相光栅等,均具有很高的透明度。光波通过这种物体时,只改变入射波位相而不改变入射波振幅,这种物体称为“位相物体”。因为人眼(包括所有能量检测器)只能辨别强度的差别,也即振幅的变化,而不能识别位相的变化,因而用普通显微镜无法观察位相物体。

1935年F.泽尔尼克提出“相衬法”,它与暗场法一样,也是通过空间滤波器将物体的位相分布转换为相应的振幅分布。因而大大地提高了透明物体的可分辨性。设位相物体的透射函数为

如物体的位相变化不大,则

式中第一项为直流分量(零空间频率分量),第二项(xy)是位相物体产生的衍射光波,。一般显微镜对上述位相物体成像的强度为

即均匀的强度分布,丢失了位相信息,也即观察不到衍射光波的存在。一方面是由于直流分量与衍射光之间存在着π/2的位相差;另一方面是由于直流分量的强度远大于衍射光的强度。为此在物镜后焦面上放一块称为“相衬板”的透明薄板,它一方面使零空间频率的位相比其他空间频率的位相超前或滞后π/2位相,另一方面使零频的透过率由1减小为t。即

式中t为透过率,正号表示滞后,负号表示超前,相应像面上的振幅分布为

像面上的强度分布为

式中第一项表示均匀的背景强度,第二项表示由于物体的位相而引起像面上相应的强度变化。表明像面上任一点的强度与物体上相应点的位相变化成正比。

用相衬法能观察到的物体最小位相变化量取决于 t,像面上光强分布的对比度与t成反比,t越小,灵敏度越高,但视场亮度越低;当 t趋近于零时,则为暗场观察。

图6表示相衬显微镜的光学原理图,在常规显微镜中加入二个光阑。一个位于聚光镜L2前焦面上的环形光阑D1,采用环形光阑使位相物体为斜照明(斜照明可以提高分辨率)。另一个在物镜L3后焦面上的环形位相板D2。环形部分镀一定厚度的金属膜,它产生一定的振幅透过率tπ/2位相变化。位相板的环形部分应正好处于零级直流分量的会聚区。

图6 X射线显微镜

X 射线显微术,广泛地应用于生物学、化学、物理学、地质及冶金等部门。它具有下列特点:

(1)由于波长短(10-8cm数量级),因而可以达到极高的分辨率。

(2)试样可以是透明的,也可以是不透明的,并可以在大气条件下保存试样,因而有利于研究活的组织。电子显微镜虽然也可以检测不透明的试样,但必须在真空中保存试样。

(3)由于孔径角小,可以有很大的焦深,能采用比较厚的试样,易于实现立体摄影。

(4)X射线的吸收率与元素的原子序数有关,当存在晶状组织时,产生微衍射。X 射线显微镜与微衍射及微吸收技术的结合,是研究生物和冶金的一个新的有力工具。

对于X 射线,各介质的折射率十分接近于一。若采用折射系统,则焦距为曲率半径的几万倍,为实现放大,共轭距长达千米。因此只能采用反射型。因为折射率近似于一,故临界掠射角很小,对铝为0.1°,对金或铂为0.5°。掠入射时的成像公式为

式中p为物距,q为像距,R为反射镜半径,i为掠射角。

X 射线反射型显微镜的基本形式是正交圆柱形反射镜,如图7所示。由于掠入射必须减少彗差、像散、像面弯曲和球差。上述简单的基本形式由于掠入射产生的彗差在50μm视场内,分辨率不能达到0.1μm。为进一步提高分辨率,必须采用组合系统。随着反射面的面数增加,由于X 射线的不完全反射而使光强降低。采用四个反射镜的圆柱系统:一对球面、一对为变形的抛物面,则能使分辨率提高到500┱。为获得这种分辨率,反射面的面形误差不应大于50┱,而且不产生散射,要求反射面达到超光滑光洁度的要求。

图7

参考文章