[拼音]:dongli haiyangxue moxing shiyan
[外文]:model experiment of dynamical oceanography
利用相似原理把复杂的海洋动力现象,单一地或复合地在实验室进行的模拟实验。海洋的动力现象,如风浪、风暴、潮汐和海流等,都可以在实验室内进行模拟,观察其变化规律。
模拟实验
海洋动力现象模拟实验的研究发展很快,不仅能模拟海浪、海流、风暴、潮流、成层流和上升流,而且对海洋温度场的模拟实验研究,也取得良好的成果。
海浪模拟H.杰弗里斯于1925年利用风浪水槽模拟风浪发生的机制,后来许多国家也利用大型的风浪水槽模拟风浪的生成和发展,取得了实验室内和实际海洋上的风浪要素的相似关系,如风浪谱的相似关系和风速在水面上按对数分布规律的相似关系,从而导出模型律,把模拟的成果,用于风浪预报、沿岸波对泥沙的输送、风浪对水工建筑物的作用力等方面的研究。由于实验室中普遍应用微型计算机和程序控制,用随机造波机模拟海浪要素,使模型实验的研究结果为海洋工程的设计和施工提供了良好的依据。
潮汐模拟因为潮汐涨落的现象很有规律,所以模拟潮汐的设备比较简单,在小的港域或海域内,科里奥利力可以忽略不计,故可用重力模型相似原理研究潮汐模拟实验,在实验室内取得与原型相符合的数据。通常使用的潮汐发生设备,有空气箱式、尾门式和管路闸阀自控设备等。
海流模拟在20世纪20年代,日本的日高孝次首先对太平洋沿日本海岸的海流,进行了简单的模拟试验,以研究黑潮、亲潮的一些特征。1952年,W.S.冯·阿克斯利用旋转模型研究大范围的海流。从试验上验证了科里奥利力对于海流的效应。伍兹霍尔海洋研究所的一些学者,也在旋转模型上进行大比尺的北半球和南半球海洋环流的模拟试验研究,证实了H.M.施托梅尔的大洋海流西向强化的结论。施托梅尔本人也由简易的旋转模型证明了:由于地球旋转而使经向深层海流趋向大洋的西岸。
模型的相似性
按照相似理论,必须使模型上各种基本物理量和原型上相对应的物理量都相似,才能有效地在模型上模拟海洋的动力现象。
海洋中的流体动力学方程可由下式描述:
式中t为时间;ρ为密度;v为速度;ω为地转角速度,墷P为压强梯度力g为重力加速度;F为单位质量水体的摩擦力。 由公式可见, 海洋中单位质量的水体所受的作用力有5种:
(1)惯性力
,②科里奥利力
,③压强梯度力
,④重力
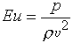
,⑤摩擦力F。其中任意两项的比值都是无量纲数,如:
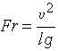
(1)、④两项之比为弗劳德数
式中l为特征长度;υ为特征速度。
当模型实验中的压强梯度力在海洋动力现象中起主要作用时,考虑欧拉数,即压强梯度力与摩擦力的比值
当模拟较深和较广的水域中的海洋动力现象时,固定模型台的误差较大,如果使用具有科里奥利力的旋转模型台,并运用旋转角速度ω的相似律,就能得到更接近实际的研究结果:
式中φ为模型相似区域的地理纬度;t为运动的时间;M和H分别表示模型和原型;
是变态模型律所决定的时间比值。旋转模型台已得到普遍的应用。通常在旋转模型台上,还安装送风、发生潮汐及产生预定温度的设备,以模拟海域中各种动力因素的影响。但应当严格地保证旋转模型台的消震作用。
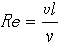
当模拟研究海水中的能量损失和能量转化时,必须考虑O.雷诺的相似准则。
式中Re为雷诺数;ν为运动粘度;υ 为特征速度;l为特征长度。
当研究环球海洋环流的模拟时,要使模型和原型相似,应满足两者的罗斯比数Ro 相等的条件。
式中φ =2ωsinφ为科里奥利力;φ为地理纬度。
在旋转模型台上模拟风吹海流的运动时,必须保持模型和原型间的埃克曼数Ek恒等。
式中的H为垂直尺度;ν*为涡动粘度。
海洋动力现象的物理模型研究与计算机的数值模型相结合,技术上简易,费用低,试验周期短,已成为研究海洋动力及其在工程中的应用的主要手段。