相似律

两个规模不同(包括空间范围和时间久暂)的物理现象保持相似所必须遵循的准则。相似律是设计力学模型实验的主要依据。

概述

力学现象的相似必须满足几何相似和力学相似两种条件。以流体的流动为例,如果两个流动系统的边界形状是几何相似的,则称这两个流动系统几何相似;如果在这两个流动系统的时间和空间的对应点上,速度、压力等的无量纲参量相等,则称这两个几何相似的流动系统力学相似。两力学现象的相似,意味着两者间存在有可以互相比拟的内在关系。定量地表述这些关系就构成现象间的相似律。

相似变换

现象间规模的变异,数学上用“变换”描述,因此,寻求相似律跟量纲分析一样,无非是确定变换下的不变性。不过,相似变换是从这一现象到另一现象的客观、实质的过渡,而单位变换则指对同一现象采用不同度量标准的主观变化。

两个几何相似图形中所有对应的一切长度均成同一固定比值。长度比一旦确定,其余对应的导出量,如面积、体积等也都会各有一固定比值。这些比值称为相似比数。导出量的相似比数由基本量的比数按量纲式确定,例如面积和体积的相似比显然必须等于长度比的二次方和三次方。所有长度量纲指数为零的无量纲量,例如对应的夹角,则在变换中保持不变,始终两两相等。但是,两个图形所有对应的夹角相等不能保证它们是完全几何相似的。因为长度比如果不是在图形的一切部分都相同,就只能构成局部相似。

两个力学相似的物理现象中所有对应的有关力学量在对应点和对应时刻全都各自构成一定的比值。力学中一般可任选三个参量做为基本量。其余各类导出量的相似比数显然将按各自量纲式等于各基本量相似比的幂次积。例如长度比为4,时间比为2,对应速度的相似比就必然等于2。

由此可见,相似变换是若干个基本量的比例变换,只要变换比相同,在数学上就跟量纲分析中的单位变换毫无差异。由于力学现象的控制方程以及它的解在基本单位变换下不变,因此在相似变换下也会保持不变。

流动相似律

相似律的研究有两种不同途径:运用量纲分析和从流动的控制方程出发,两者都可得到同一结论。

根据量纲分析,某一流动问题中所要研究的无量纲参量f必然同问题中的其他无量纲参量存在下列关系:

公式 符号

式中ab…为边界(包括物体)的特征尺度;xyz为空间点的坐标;t为时间;LT 为特征长度和特征时间;π1π2、…、πn为无量纲相似参数。函数φ的具体形式由实验或理论分析确定。由此可见,对两个几何相似的流动系统公式 符号只要相似参数π1π2,…,πn相等,在时间空间相似点公式 符号上,两系统的无量纲参量必然相等,即这两个流动系统是力学相似的。πi称为相似准数。由于在相似准数相等的条件下,因变量之间存在着直接的换算关系,因此工程中广泛使用与实物相似的模型进行实验,以取得工程设计中所需的各种数据或探求具体工程技术问题中有关物理量间的定性关系。

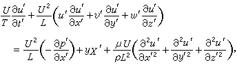
相似律也可以通过控制物理现象的基本方程进行研究。以粘性不可压缩流体的流动为例,这种流动的控制方程是纳维-斯托克斯方程,这方程在直角坐标系x轴上的投影式为:

公式 符号

式中uvw为流速在xyz轴上的投影;p为压力;X为场力在x轴上的投影;μ为动力粘性系数;ρ为流体密度。对具体问题,可选长度L、时间T、流速U、压力ρv2、单位质量上的重力g做为特征量,把上式中每一个物理量写成各自的特征量乘一无量纲数,因而上式变为:

公式 符号

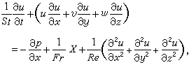
式中u′,t′,…为各物理量与其特征量的比值,是无量纲数。用U2/L遍除上式各项并省略上标后,得到下式:

公式 符号

式中St=UT/LFe=U2/gLRe=ρUT/μ,它们分别称为斯特劳哈尔数、弗劳德数和雷诺数。如果两流动系统的无量纲准数StFrRe彼此相等,则控制两流动系统的基本方程完全相同,从而两流动系统完全相似。表中列出几个常用的力学相似准数,并给出表示这些相似准数特征的物理效应。表中L为长度;μ为动力粘性系数;c为声速;g重力加速度σ为表面张力;k为热导率;β热膨胀系数;为温度;λ为分子平均自由程;cp为定压比热。

图 模型试验的相似律

模型试验是科学研究和工程技术中经常采用的一个极为重要的手段。其首要任务在于如何满足相似律以确立模型与实体的相似性。飞行器、船舰等的风洞、水池试验主要是探求实际运动中物体所将承受的周围流体的作用力。因此,要求模型周围的流场与实体周围的流场完全相似。首先要选定长度比,制成比例模型,使固体边界几何相似;再选择速度比等以保证一些无量纲参数相同。在控制方程未能建立和解出的情况下,这些做为判断相似性的无量纲相似准数还可按π定理(见量纲分析)确定。例如,船舰设计目标之一是寻求阻力最小的船形。船舶阻力包括摩擦阻力和兴波阻力两部分。前者指船体水下表面所承受的水流摩擦力;后者则因船前水面壅高、船后水面涡陷形成纵向压差所致,所耗能量由波浪给以扩散。船波起伏,重力成为限制水面升降的恢复力,直接影响运动,故不能忽略。可见总阻力的大小F取决于船长l、船速v、密度ρ、动力粘性系数μ以及单位质量的重力值g,即

FF(glvρμ)。

将上式按π定理无量纲化就得到总阻力系数

公式 符号

上式指出,在船模阻力试验中,如果雷诺数公式 符号和弗劳德数Fr=v2/gl各自分别相等,则实船与模型的总阻力系数CD就会完全相同。对于实船和模型,FrRe各自分别相等的条件是νm/νp=(lm/lp)3/2,下标p和m分别表示实船和模型。若采用长度比为1/20的船模,则相似双方液体的运动粘性系数ν之比必须是 νm/νp=(1/20)3/2=0.011。通常,水的运动粘性系数νp约为10-62/秒,要同时满足ReFr各自相等的完全相似,室温下船池用水的运动粘性系数必须降低到νm≈0.011×10-62/秒。这是实际上难于做到的。因此,FrRe在实船和模型中各自分别相等的条件是不能同时满足的。一般常维持Fr在实船和模型中相等。这样,在实验测得的总阻力系数CD中,只有兴波阻力系数与实船相同。假定双方都是无粘性流体,故总阻力系数中仅有的兴波阻力系数就与Re无关。对此,可通过近似计算分别求出实船与模型的摩擦阻力系数,将两者之差加进所测定的总阻力系数中,就得到实船的总阻力系数。

参考书目
  1. 钱学森著:现代科学的结构──再论科学技术体系学,《哲学研究》,3月,1982。