[拼音]:dianlidu
[外文]:degree of ionization
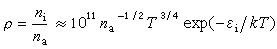
已电离的粒子数占据原有中性粒子数的百分比。引起电离的原因很多。例如,气体粒子受电子或离子的撞击或受电磁波(光、X 射线等)的辐照,固体表面受电子或离子轰击,固体受到高热等,都有可能产生电离现象。对于高温气体,气体粒子互相碰撞所产生的电离称为热电离。描写处于热平衡态的电离气体的公式是萨哈公式。以 na、ni、ne表示电离气体中的原子、离子和电子的数密度(单位为厘米-3),在离子主要是电离一个电子的简单情况下,ni=ne,则根据萨哈公式可得到电离度η为
式中
,T为电离气体温度,单位为电子伏,εi为电离能。