[拼音]:saha gongshi
[外文]:Saha formula
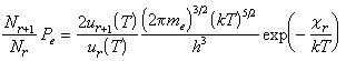
描述在热动平衡状态下原子按电离级分布的一个物理规律。1920年,印度物理学家萨哈首先根据热力学的相平衡理论导出;1933年,美国天体物理学家门泽尔又用统计物理方法得到。萨哈公式的一般形式为:
,
式中Nr+1和Nr分别为单位体积内同一元素的r+1次电离原子和r次电离原子的数目,T为绝对温度,Pe为电子压力,me为电子质量,h为普朗克常数,k为玻耳兹曼常数,xr为r次电离原子的电离电势(原子电离所需要的最小能量),ur+1(T)和ur(T)分别为r+1次电离原子和 r次电离原子的配分函数。萨哈公式表明:原子的电离程度和温度、电子压力有关,温度愈高或电子压力愈低时,原子的电离程度愈高。