[Æ´Òô]£ºyundong daidian lizi de diancichang
[ÍâÎÄ]£ºelectromagnetic field of moving charged particle
΢¹Û´øµçÁ£×ÓÔÚÔ˶¯ÖÐËù²úÉúµÄµç´Å³¡¡£Õâ¸öÎÊÌâËäÈ»ÒѾ³¬³ö¾µäµç¶¯Á¦Ñ§µÄ·¶Î§£¬µ«¾µäÀíÂÛÈÔÓÐÒ»¶¨µÄÒâÒå¡£ÒòΪÔÚijЩÇé¿öÏ£¬Á¿×ÓЧӦ²¢²»ÖØÒª£¬¾µäÀíÂ۵Ľá¹ûÈÔ½üËÆÕýÈ·£¬¿ÉÒÔÔÚʵ¼ùÖÐÖ±½ÓÓ¦Óã¨ÀýÈç¼ÆËã¸ßεÈÀë×ÓÌå»ò¼ÓËÙÆ÷ÖÐÁ£×ӵķøÉ䣩£»»¹ÓÐһЩÇé¿ö£¬Á¿×ÓЧӦËäÈ»ÏÔÖø£¬µ«¾µä½á¹û¿É°´Ò»¶¨·½Ê½ÓëÁ¿×ÓÀíÂ۵Ľá¹ûÏà¶ÔÓ¦£»ÁíÍ⣬ͨ¹ý¾µäÀíÂÛ½á¹ûÓëÁ¿×ÓÀíÂÛ½á¹û¼äµÄ¶Ô±È£¬¿ÉÒÔ¸üºÃµØÈÏʶÁ¿×ÓЧӦµÄÌØµã¡£
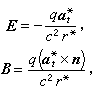
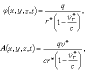
ÔÚ¾µäÀíÂÛÖУ¬Í¨³£°Ñ´øµçÁ£×Óµ±×÷Ò»¸öÏ߶ȼ«Ð¡µÄ´øµçÌ壬ÇÒÒ»°ã²»¿¼ÂÇËüµÄ×ÔÐý´Å¾Ø¡£Õâʱһ¸ö×÷ÈÎÒâÔ˶¯µÄ´øµçÁ£×ÓËù²úÉúµÄµç´ÅÊÆÓøß˹µ¥Î»ÖƿɱíʾΪ
´Ë½á¹û³ÆÎªÀîÄÉ-άл¶ûÊÆ¡£Ê½ÖÐq´ú±íÁ£×ӵĵçºÉ£¬§ã´ú±íÕæ¿ÕÖеĹâËÙ£¬r´ú±í´ÓÁ£×Óµ½ËùÌÖÂ۵ij¡µã(x£¬y£¬z)µÄ¾àÀ룬v´ú±íÁ£×ÓµÄËÙ¶È£¬¦Ôr´ú±ívÔÚr·½ÏòµÄ·ÖÁ¿¡£¼Ó*ºÅ±íʾÕâЩֵ²»ÊÇÈ¡tʱ¿ÌµÄÖµ¶øÊÇȡijһ½ÏÔçʱ¿Ìt*ʱµÄÖµ£¬ÕâÊÇÒòΪµç´ÅÓ°ÏìÒÔÓÐÏÞËٶȧ㴫²¥µÄÔµ¹Ê¡£Ê½ÖеÄ
ͨ³£³ÆÎª¶àÆÕÀÕÒò×Ó¡£
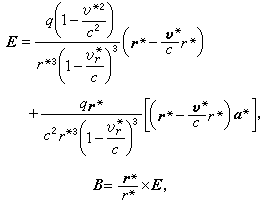
´ÓÀîÄɣάл¶ûÊÆ£¬¿ÉÒÔ¼ÆËã³öÈÎÒâÔ˶¯µÄ´øµçÁ£×ӵĵç´Å³¡£¬½á¹ûΪ
ʽÖÐa*´ú±ít*ʱ¿ÌÁ£×ӵļÓËÙ¶È¡£E ÖеĵÚÒ»Ïî(ÒÔ¼°ÏàÓ¦µÄB)Ö»ºÍt*ʱ¿ÌÁ£×ÓµÄλÖúÍËÙ¶ÈÓйأ¬¶øÓë¼ÓËÙ¶ÈÎ޹ء£ËüÔÚr*´óʱ˥¼õ½Ï¿ì
¡£´ËÏî¶Ô·øÉäûÓй±Ï×£¬´ú±íÒÀ¸½ÓÚ´øµçÁ£×ÓµÄÄÇÒ»²¿·Ö³¡£¬ÓÐʱ³ÆÎªÁ£×ÓµÄ×Ô³¡¡£ÔÚÁ£×Ó¾²Ö¹µÄÇé¿ö£¬×Ô³¡¾Í»¯ÎªÍ¨³£µÄ¿âÂØ³¡¡£µÚ¶þÏî²»½öÓët*ʱ¿ÌÁ£×ÓµÄλÖúÍËÙ¶ÈÓйأ¬»¹Õý±ÈÓÚÁ£×ÓÔÚt*ʱ¿ÌµÄ¼ÓËÙ¶È¡£´ËÏîµç³¡ºÍ´Å³¡
£¬EºÍB´óСÏàµÈ£¬¶øÇÒE¡¢BºÍr*ÈýÕß»¥Ïà´¹Ö±¡£Ëù¶ÔÓ¦µÄÄÜÁ÷¾ÍÔÚr*·½Ïò£¬ÆäÊýÖµ
£¬Õâ±íÃ÷´ËÏî´ú±íÁ£×ӵķøÉ䳡¡£ÒÔÉÏÌØµãÏÔʾÁË·øÉ䳡µÄºá²¨ÐÔ¡£
ÉÏÃæËùÊöµÄt*¿ÉÒÔ²ÉÓÃÏÂÊöͼ½â·¨À´È·¶¨£ºÔÚÁ£×ÓËù¾ÀúµÄ¹ìµÀÉÏ£¨Ö±µ½tʱ¿ÌΪֹ£©È¡Ò»ÏµÁеĵ㣬ËüÃÇ·Ö±ðÏàÓ¦ÓÚÁ£×ÓÔÚt1¡¢t2¡¢t3¡¡Ê±¿ÌµÄλÖã¬Èçͼ1Ëùʾ¡£È»ºóÒÔÕâЩµãΪÖÐÐÄ£¬·Ö±ðÒÔ§ã(t-t1)¡¢§ã(t-t2)¡¢§ã(t-t3)¡¡Îª°ë¾¶»³öһϵÁеÄÇòÃæS1¡¢S2¡¢S3¡¡¡£´Óµç´ÅÓ°Ïì´«²¥ËÙ¶ÈΪ§ã¼´¿É¿´³ö£ºÁ£×ÓÔÚtiʱ¿ÌËù²úÉúµÄµç´ÅÓ°Ï죬µ½tʱ¿ÌÕýºÃ´«µ½SiÃæÉÏ¡£Òò´ËSiÃæÉÏtʱ¿ÌµÄµç´ÅÊÆºÍ³¡Ç¿Ó¦ÓÉtiʱ¿ÌÁ£×ÓµÄ״̬Ëù¾ö¶¨¡£ÓÚÊǶÔÓÚÇòÃæSiÉϵĵãÀ´Ëµ£¬Óëtʱ¿ÌÏàÓ¦µÄt*¼´Îªti£¬r*¼´ÎªÇòÐĵ½¸ÃµãµÄʸ¾¶¡£
ÒÔÉϵÄÌÖÂÛ±íÃ÷£¬Á£×Ó;¾¶¿Õ¼äijµãPʱËù·Å³öµÄµç´Å²¨¼´ÒԸõãΪÖÐÐÄÏòÍâ´«²¥£¬Á£×Óһ·ÉÏ·ÅÉäµÄÈ«²¿·øÉ䳡¼´ÐγÉһϵÁв»Í¬ÐĵÄÇòÃæ²¨¡£·øÉ䳡µÄÄÜÁ÷¼´ÔÚÇòÃæ·¨Ïß·½Ïò£¬·øÉ䳡µÄEºÍB¶¼ÓëÇòÃæÏàÇС£
¶ÔÓÚ·ÇÏà¶ÔÂÛÁ£×Ó£¬
£¬·øÉ䳡ǿ¿É½üËÆÎª
±íʾa*ÔÚÇòÃæÉϳ¡µã´¦µÄÇÐÏò·ÖÁ¿£¬n±íʾÇòÃæÉϳ¡µã´¦µÄ·¨Ïòµ¥Î»Ê¸Á¿¡£·ÇÏà¶ÔÂÛÁ£×ӵķøÉ书ÂÊΪ
ÉÏʽͨ³£³ÆÎªÀζû·øÉ书Âʹ«Ê½¡£Èç¹ûÓÃp±íʾÁ£×Ó¶ÔÈÎÒ»¹Ì¶¨µãµÄµçż¼«¾Ø£¬Ôò
ÆäÖÐ
±íʾp¶Ôʱ¼äµÄÁ½´Î΢ÉÌ£¬ÓÚÊǵÍËÙ(·ÇÏà¶ÔÂÛ)Á£×ӵķøÉ䳡¿É±íΪ
·øÉ书ÂÊΪ
Óɴ˿ɼû£¬µÍËÙÔ˶¯Á£×ӵķøÉäÏàÓ¦ÓÚµçż¼«·øÉä¡£
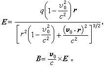
¶ÔÓÚ´øµçÁ£×Ó×÷µÈËÙÔ˶¯µÄ¼òµ¥Çé¿ö£¬vµÈÓÚ³£Ê¸Á¿v0¡£ÕâʱE ºÍB¿ÉÒÔͨ¹ý¼´Ê±µÄr£¨´Ótʱ¿ÌÁ£×ÓλÖõ½³¡µãµÄ¾àÀ룩±íʾ³öÀ´¡£½á¹ûΪ
´ÓÉÏʽ¿ÉÒÔ¿´³ö£¬ÕâʱµçÁ¦ÏßÈÔΪÒÔÁ£×ÓΪÖÐÐĵÄÖ±Ïß×壬Èçͼ2Ëùʾ¡£´ÅÁ¦ÏßÐγÉÒ»¸ö¸öÒÔv0ΪÖáµÄԲȦ¡£µÈËÙÔ˶¯Á£×ӵĵ糡Óë¾²Ö¹Á£×Ó²»Í¬Ö®´¦ÔÚÓÚ£¬ÏÖÔÚµçÁ¦ÏßÔÚ¸÷·½ÏòµÄ·Ö²¼²»ÊǾùÔȵģ¬Ëü±È½ÏÃܼ¯ÔÚ´¹Ö±ÓÚv0µÄÆ½Ãæ¸½½ü¡£ËÙ¶ÈÓú¸ß£¬Ãܼ¯³Ì¶ÈÓú´ó¡£
µÈËÙ´øµçÁ£×ÓûÓзøÉ䣬ÉÏÊöµç´Å³¡Õû¸öµØËæ×ÅÁ£×ÓÏòÇ°ÒÆ¶¯¡£
¶ÔÓÚ·ÇÏà¶ÔÂÛÁ£×Ó£¬
Óë1Ïà±È¿ÉÒÔÂÔÈ¥£¬Õâʱ
¼´»¯Îª¿âÂØµç³¡ºÍ±Ï°Â-Èø·¥¶û´Å³¡µÄÐÎʽ¡£
µ±ËٶȽӽüÓÚ§ãʱ£¬µç´Å³¡²î²»¶à¼¯ÖÐÔÚͨ¹ý´øµçÁ£×Ó²¢ÇÒ´¹Ö±ÓÚv0µÄÆ½ÃæÉÏ£¬ÐγÉΪһ±¡Æ¬Ðεķֲ¼¡£
¹ØÓÚËٶȺܸ߶øÓÖÓмÓËٶȵÄÁ£×ӵķøÉ䣬¿É²Î¼ûéíÖ·øÉä¡¢»ØÐý¼ÓËÙÆ÷·øÉäºÍͬ²½¼ÓËÙÆ÷·øÉä¡£