[Æ´Òô]£ºzhiliang
[ÍâÎÄ]£ºmass
ÎïÖʵÄÒ»ÖÖÊôÐÔ¡£ÊÇÎïÖʵÄÁ¿µÄÁ¿¶È£¬ËüÊÇÒ»¸öÕýµÄ±êÁ¿£¬ÓÃm±íʾ¡£
ÖÊÁ¿ÊÇÎïÀíѧµÄÒ»¸ö»ù±¾¸ÅÄ×î³õ£¬I.Å£¶Ù°ÑÖÊÁ¿¶¨ÒåΪÎïÌåÖÐËùº¬ÎïÖʵÄÊýÁ¿£¬ËûÔÚ¡¶×ÔÈ»ÕÜѧµÄÊýѧÔÀí¡·Ò»ÊéÖÐÓÃÈçÏµĻ°¶¨ÒåÖÊÁ¿:¡°ÎïÖʵÄÊýÁ¿(ÖÊÁ¿)ÊÇÒ»¸öͬÎïÖÊÃܶȺÍÌå»ý³É±ÈÀýµÄÁ¿¶È¡£¡±Õâ¸ö¶¨ÒåÔøÔâµ½Ðí¶àÈ˵ķ´¶Ô£¬ÈÏΪ¶¨ÒåÖаüº¬ÁËÑ»·ÂÛ·¨£¨ÃܶȵÈÓÚÖÊÁ¿¶ÔÌå»ýµÄ±È£©£¬¶øÇÒûÓÐÕýÈ·ÃèÊöÒ»ÇÐÎïÌåµÄ¹²ÐÔ£¬Ö»ÊÇÔڱȽÏͬÀàÎïÖÊʱ¾ßÓÐÒ»¶¨ÒâÒå¡£
ÒýÁ¦ÊÇÿһ¸öÎïÌåÎüÒýÆäËûÎïÌå»ò±»ÆäËûÎïÌåÎüÒýµÄ×÷Ó㻹ßÐÔÊÇÎïÌå¶ÔÈκθıäÆäÔ˶¯×´Ì¬µÄÍâÀ´×÷ÓõÄ×迹µÄÐÔÖÊ¡£Å£¶ÙÔÚÍòÓÐÒýÁ¦¶¨ÂÉÖÐÒýÈëÁËÒýÁ¦ÖÊÁ¿ÒÔÏÔʾÎïÌå²úÉúºÍ½ÓÊÜÒýÁ¦µÄÇ¿Èõ£»ÓÖÔÚµÚ¶þÔ˶¯¶¨ÂÉÖÐÒýÈë¹ßÐÔÖÊÁ¿m£½f/¨»ÒÔÏÔʾ¹ßÐԵĴóС£¬Ê½ÖÐfÊÇ×÷ÓÃÔÚÎïÌåÉϵÄÍâÁ¦µÄ´óС£¬¨»ÊÇÎïÌåµÄ¼ÓËٶȵĴóС¡£ÊµÑé±íÃ÷£¬ÒýÁ¦ÖÊÁ¿ºÍ¹ßÐÔÖÊÁ¿Í¬Ê±´æÔÚ£¬²¢ÇÒ×ÜÊdzɱÈÀý¡£Å£¶Ù¾ÍÒÑÖ¸³ö£¬¹ßÐÔÖÊÁ¿ºÍÒýÁ¦ÖÊÁ¿³É±ÈÀýÕâÒ»ÐÔÖÊ׼ȷµ½ 10-3¡£19ÊÀ¼ÍB.von¶òó¾ÒÔ10-9µÄʵÑ龫¶È£¨20ÊÀ¼Í70Äê´ú³õ£¬V.²¼À½ð˹»ùµÈÈËÓְѾ«¶ÈÌá¸ßµ½Ô¼ 0.9¡Á10-12£©Ö¤Ã÷ÁË£¬¶ÔÓÚ¿ÉÒÔÔÚʵÑéÊÒÀï²âÊÔµÄÎïÌ壬¹ßÐÔÖÊÁ¿ºÍÒýÁ¦ÖÊÁ¿ÏàµÈ¡£20ÊÀ¼Í£¬A.°®Òò˹̹ÔÚËûµÄ¹ãÒåÏà¶ÔÂÛÖÐÌá³öµÈЧÔÀí¾ÍÊÇÒÔ¹ßÐÔÖÊÁ¿ºÍÒýÁ¦ÖÊÁ¿ÏàµÈÕâһǰÌáΪÒÀ¾ÝµÄ¡£¿ÉÒÔÈÏΪ£¬Ò»ÇÐÓë¹ãÒåÏà¶ÔÂÛÓйصĹ۲ìºÍʵÑéµÄ¾«È·½á¹û¶¼¿ÉÒÔ¿´³ÉÊÇÕâÁ½ÖÖÖÊÁ¿ÏàµÈµÄÖ¤Ã÷¡£Òò´Ë£¬¹ßÐÔÖÊÁ¿ºÍÒýÁ¦ÖÊÁ¿ÊDZíÕ÷ÎïÌåÄÚÔÚÐÔÖʵÄͬһ¸öÎïÀíÁ¿©¤©¤ÖÊÁ¿©¤©¤µÄ²»Í¬±íÏÖ¡£
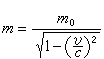
ÏÁÒåÏà¶ÔÂÛÖ¸³ö£¬¶ÔÓÚijһ²ÎÕÕϵ£¬ÎïÌåÔ˶¯Ê±µÄÖÊÁ¿m´óÓÚËü¾²Ö¹Ê±µÄÖÊÁ¿m0£¨³ÆÎª¾²ÖÊÁ¿£©£¬¶þÕß¼äµÄ¹ØÏµÎª
£¬
ʽÖЦÔΪÏà¶ÔÓÚ²ÎÕÕϵµÄËÙ¶È£¬§ãÎªÕæ¿ÕÖеĹâËÙ¡£µ±ÎïÌåµÄËÙ¶ÈԶСÓÚ¹âËÙʱ
ÖÊÁ¿¿É¿´×÷ÓëÔ˶¯ËٶȦÔÎ޹أ¬ÊÇÒ»¸öºãÁ¿£¬¶øÍË»¯µ½¾µäÁ¦Ñ§ÖÐÖÊÁ¿µÄÇé¿ö¡£
µç´Å³¡¿ÉÒÔÍÑÀëµçºÉ¶ø¶ÀÁ¢´æÔÚ£¬Ëü¾ßÓÐÄÜÁ¿ºÍ¶¯Á¿£¬Äܹ»Óë´øµçÌåÏ໥×÷Óã¬ËùÒÔµç´Å³¡ÊÇÒ»ÖÖÎïÖʵÄÐÎ̬¡£µç´Å³¡ÃÖÉ¢Óڿռ䣬ÇÒ¾ßÓв¨¶¯ÐÔ£»ËüÒ²ÏñʵÌåÁ£×ÓÒ»Ñù¾ßÓÐÁ£×ÓÐÔ£¬ÏàÓ¦µÄÁ£×Ó¾ÍÊǹâ×Ó£¬¹â×ÓÒ²ÓÐÖÊÁ¿£¨µ«Ã»Óо²ÖÊÁ¿£©¡£µç×ÓµÄ×Ô³¡¾Í¸øËü´øÀ´Á˸½¼ÓµÄµç´ÅÖÊÁ¿£¨¼ûµç´ÅÖÊÁ¿ºÍ·øÉä×èÄᣩ¡£
ÏÁÒåÏà¶ÔÂÛÖ¸³öÁËÖÊÄܹØÏµ¡£µ±ÎïÌåµÄÖÊÁ¿±ä»¯¦¤mʱ£¬ÆäÄÜÁ¿Ò²·¢ÉúÏàÓ¦µÄ±ä»¯ ¦¤E£¬¶þÕßÂú×ã¹ØÏµ ¦¤E£½¦¤m§ã2¡£ºËÎïÀíºÍÁ£×ÓÎïÀíµÄ´óÁ¿ÊµÑé³ä·Ö֤ʵÁËÕâ¹ØÏµµÄÕýÈ·ÐÔ¡£ÀûÓÃÔ˶¯ÎïÌåµÄÖÊÁ¿ºÍËٶȼäµÄ¹ØÏµ£¬¾Í¿Éµ¼³öÖÊÁ¿mͬ¶¯Á¿¦Ñ¡¢ÄÜÁ¿EÖ®¼äµÄ¹ØÏµ£º
ÔÚÁ£×ÓÎïÀíѧÖУ¬»ù±¾Á£×ÓµÄÖÊÁ¿Ò»°ã¾ÍÊÇͨ¹ý²â¶¨Á£×ÓµÄÄÜÁ¿ºÍ¶¯Á¿£¬ÔÙÓôËʽËãµÃ¡£ÓÉÓÚ»ù±¾Á£×ÓÊdz¡µÄÔª¼¤·¢£¬Á£×ÓͬÖÜΧÆäËûÁ¿×Ó³¡Ö®¼äÓи´ÔÓµÄÏ໥×÷Ó㬶øÓ°ÏìÁ£×ÓµÄÖÊÁ¿¡£ÕâÖÖ°üÀ¨Ï໥×÷ÓÃÓ°ÏìÔÚÄÚµÄÖÊÁ¿³ÆÎªÁ£×ÓµÄÎïÀíÖÊÁ¿£¬Õâ¾ÍÊÇÔÚʵÑéÖвâµÃµÄÖÊÁ¿£¬Ëü²»Í¬ÓÚ²»¼Æ¼°Ï໥×÷ÓõĹÂÁ¢Á£×ÓµÄÂãÖÊÁ¿¡£¾ø´ó¶àÊýµÄÁ£×Ó¶¼ÊDz»Îȶ¨µÄ£¬ÕâÖÖÁ£×ÓµÄÖÊÁ¿·Ö²¼ÔÚÖÐÐÄÖµÖÜΧµÄÒ»¶¨·¶Î§ÄÚ£¬ÆäÖÐÐÄÖµ¾ÍÊÇÇ°ÃæËù˵µÄÎïÀíÖÊÁ¿¡£
ÖÊÁ¿µÄµ¥Î»ÊÇǧ¿Ë(kg)¡£ÔÚÁ£×ÓÎïÀíѧÖУ¬²ÉÓÃ×ÔÈ»µ¥Î»ÖÆÊ±£¬°Ñµç×Ó·ü¡²ÌØ¡³(eV)×÷ÖÊÁ¿µÄµ¥Î»¡£
²Î¿¼ÎÄÕÂ
- СÀöÔÚÌÔ±¦ÉϹºÂòÁËÒ»¼þ¼ÛÖµ200ÔªµÄÒ·þºó£¬½Óµ½ÁËÒ»¸öİÉúµç»°£¬¶Ô·½×Ô³ÆÊÇÌÔ±¦¿Í·þ£¬Éù³ÆÆä¹ºÂòµÄÒ·þ´æÔÚÖÊÁ¿ÎÊÌ⣬½«Å⸶Ëý300Ôª¡£¿Í·þ³ÆÒѾͨ¹ýÖ§¸¶±¦¡°±¸Óýð¡±ÏòÆäתÁË500Ôª£¬ÐèҪСÀöÍË»¹¶àÊÕµÄ200Ôª¡£¸ù¾Ý¶Ô·½µÄÖ¸µ¼£¬Ð¡ÀöµÄ¿¨ÉϹûÈ»¶àÁË500Ôª¡£¶Ô·½³Æ£¬ÓÉÓÚÉú»î°²È«
- ´óѧÉúÖÜij½Óµ½Ò»¸öİÉúÀ´µç£¬Éù³Æ×Ô¼ºÖ®Ç°¹ºÂòµÄÉÌÆ·´æÔÚÖÊÁ¿È±ÏÝ£¬ËùÒÔÒª½øÐÐÅâ³¥300Ôª¡£Ö®ºó¶Ô·½³ÆÓÉÓÚ²Ù×÷ʧÎ󣬽«Ç®´òµ½Á˶Է½µÄ±¸Óý𣬲¢ÇÒ¶à´òÁËÁ½°Ù£¬ÖÜijӦ¸Ã£¨£©Éú»î°²È«
- ¸ù¾Ý¡¶½¨Öþ·¨¡·£¬¹ØÓÚ×ܳаüµ¥Î»Óë·Ö°üµ¥Î»¶Ô½¨É蹤³Ì³Ðµ£ÖÊÁ¿ÔðÈεÄ˵·¨£¬ÕýÈ·µÄÓУ¨£©¡£·¨ÂÉÌâ¿â
- ½¨Öþ»î¶¯Ó¦µ±È·±£½¨Öþ¹¤³ÌÖÊÁ¿ºÍ°²È«£¬·ûºÏ¹ú¼ÒµÄ½¨Öþ¹¤³Ì°²È«±ê×¼¡£·¨ÂÉÌâ¿â
- ÒÀ¾Ý¡¶°²È«Éú²ú¼à¹Üµµ°¸¹ÜÀí¹æ¶¨¡·£¬ÏÂÁйØÓڹ鵵ÎļþÖÊÁ¿ÒªÇó˵·¨´íÎóµÄÊÇ£¨£©¡£·¨ÂÉÌâ¿â
- ʡίָ³ö£¬ÎÒÃÇҪʼÖÕ°Ñѧϰ¹á³¹Ï°½üƽÐÂʱ´úÖйúÌØÉ«Éç»áÖ÷Òå˼Ïë×÷ΪÊ×ÒªÕþÖÎÈÎÎñ£¬¼á³ÖÔÚ£¨ £©ÉÏϹ¦·ò£¬Ê¹Ï°½üƽÐÂʱ´úÖйúÌØÉ«Éç»áÖ÷Òå˼ÏëʼÖÕ³ÉΪÒýÁìÕ㽸ßÖÊÁ¿·¢Õ¹µÄ˼ÏëÆìÖÄ¡¢¾«ÉñÆìÖÄ¡£µ³½¨ÖªÊ¶
- ʡίǿµ÷£¬ÒªÊý×Ö¸³ÄܳÇÏç¸ßÖÊÁ¿Èںϣ¬ÆÆ½â³ÇÏç¶þÔª½á¹¹£¬¼Ó¿ìũҵũ´åÏÖ´ú»¯£¬Éũ´å×ۺϸĸ´Ù½ø£¨ £©£¬¹¹½¨³ÇÏ绥²¹¡¢Ðµ÷·¢Õ¹¡¢¹²Í¬·±ÈÙµÄÐÂÐͳÇÏç¹ØÏµ¡£µ³½¨ÖªÊ¶
- ¡°Èý¼Ò´åÔý¼Ç¡±ÊÇ1961Äê9ÔÂÖй²±±¾©ÊÐί»ú¹Ø¿¯ÎǰÏß¡·ÔÓ־Ϊ¡°·á¸»¿¯ÎïÄÚÈÝ¡±¡°»îÔ¾Æø·Õ¡±¡°Ìá¸ßÖÊÁ¿¡±¶ø¿ª±ÙµÄÒ»¸öרÀ¸¡£1966Äê5Ô¡°Èý¼Ò´åÔý¼Ç¡±Ôâµ½ÅúÅУ¬±»Ò¦ÎÄÔª¡¢¹Ø·æµÈÈËÅúÅгɡ°·´µ³·´Éç»áÖ÷ÒåµÄ´ó¶¾²Ý¡±£¬ÓֳƸÃרÀ¸ÊÇ¡°ÓÐÖ¸»Ó¡¢ÓÐ×éÖ¯¡¢Óмƻ®ÓÐÄ¿µÄµØÎª¸´µ³½¨ÖªÊ¶
- ÒÇÓÃÆøÔ´µÄ¼ìÐÞÏîÄ¿¼°ÖÊÁ¿ÒªÇóÓÐÄÄЩ£¿²â¿Ø¼¼Êõ
- µçÔ´¹ñ£¬¿ØÖƹñ¡¢ÆÁ¡¢Ì¨¡¢Ï䣬Öмä½ÓÏß¹ñ¼°¾ÍµØ½ÓÏߺÐÄÚÉ豸ºÍ²¿¼þ¼ìÐÞ¹¤×÷Íê±Ïºó£¬ÆäÖÊÁ¿ÒªÇóÓÐÄÄЩ£¿²â¿Ø¼¼Êõ