¹ãÒåÏà¶ÔÂÛ

Ñо¿ÎïÖÊÔÚ¿Õ¼äºÍʱ¼äÖÐÈçºÎ½øÐÐÒýÁ¦Ï໥×÷ÓõÄÀíÂÛ¡£Õâ¸öÀíÂ۵Ļù´¡ÊÇÓÉΰ´óµÄÎïÀíѧ¼ÒA.°®Òò˹̹ÔÚ1915ÄêÍê³ÉµÄ¡£60Äê´úÒÔÀ´ÓÖÈ¡µÃÁËеĽøÕ¹¡£

°®Òò˹̹ÓÚ1905ÄêÌá³öÏÁÒåÏà¶ÔÂÛÖ®ºó£¬±ãÊÔͼÔÚÏÁÒåÏà¶ÔÂ۵Ļù´¡É϶ÔI.Å£¶ÙµÄÒýÁ¦ÀíÂÛ£¨¼ûÍòÓÐÒýÁ¦¶¨ÂÉ£©½øÐиÄÔ졣ţ¶ÙÒýÁ¦ÀíÂÛËäÈ»ÔÚÌìÎÄѧÉϵõ½¹ã·ºµÄÖ§³Ö£¬µ«ÊÇ£¬Ëü²»ÄÜ˵Ã÷Ë®ÐǽüÈÕµãµÄÊ£Óà½ø¶¯£¬Ò²²»ÄܶÔÓîÖæ´ó·¶Î§µÄÐÔÖʸø³öÍêÂúµÄÃèÊö£»¶øÇÒ£¬ÔÚÀíÂ۵Ļù±¾¸ÅÄîÉÏͬÏÁÒåÏà¶ÔÂÛÒ²ÊÇ»¥Ïà³åÍ»µÄ¡£

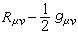
°®Òò˹̹ÔÚÉîÈë·ÖÎöÒýÁ¦ÖÊÁ¿Í¬¹ßÐÔÖÊÁ¿µÈ¼ÛÕâÒ»ÔçÒÑÊìÖªµÄÊÂʵµÄ»ù´¡ÉÏ£¬Ìá³öÁËÒýÁ¦³¡Í¬¼ÓËٶȳ¡¾ÖÓòÐÔµÈЧµÄ¸ÅÄËûÓְѹßÐÔÔ˶¯µÄÏà¶ÔÐԵĸÅÄîÍÆ¹ãµ½¼ÓËÙÔ˶¯£»²¢ÔÚǰÈ˶ÔÅ£¶Ùʱ¿Õ¹ÛµÄÅúÅÐÖм³È¡Á˾«»ª£¬Ìá³öÁËʱ¼äºÍ¿Õ¼äµÄÐÔÖÊÓ¦µ±ÓÉÎïÖÊÔ˶¯¾ö¶¨ÕâÒ»¸ïÃüÐÔµÄ˼Ïë¡£ÕâЩÒýµ¼Ëû²ÉÓÃÀèÂü¼¸ºÎÀ´ÃèÊö¾ßÓÐÒýÁ¦³¡µÄʱ¼äºÍ¿Õ¼ä£¬Ð´³öÁËÕýÈ·µÄÒýÁ¦³¡·½³Ì;½ø¶ø¾«È·µØ½âÊÍÁËË®ÐǽüÈÕµãµÄÊ£Óà½ø¶¯£¬Ô¤ÑÔÁ˹âÏ߯«ÕÛ¡¢ÒýÁ¦ºìÒÆ¡¢ÒýÁ¦·øÉäµÈһϵÁÐеÄЧӦ¡£Ëû»¹¶ÔÓîÖæµÄ½á¹¹½øÐÐÁË¿ª´´ÐÔµÄÑо¿¡£ÖøÃûµÄ1919ÄêÈÕȫʳ¹Û²â£¬Ö¤ÊµÁ˰®Òò˹̹¹ØÓÚ¹âÏ߯«ÕÛµÄÔ¤ÑÔ£¬Ò»¶Èºä¶¯ÊÀ½ç¡£Ëæºó£¬¹ãÒåÏà¶ÔÂ۱㱻ÎïÀíѧ½çÆÕ±é½ÓÊÜÏÂÀ´£¬²¢ÇÒ±»¹«ÈÏΪ¾­µäÀíÂÛÎïÀíѧÖÐ×îÍêÃÀµÄÀíÂÛ¡£

¼¸Ê®ÄêÀ´£¬¹ãÒåÏà¶ÔÂÛÓֵõ½ÐµÄÑéÖ¤ºÍ·¢Õ¹£¬ÌرðÊÇ60Äê´úÒÔÀ´£¬ÔÚÌìÎÄѧÖеõ½Á˹㷺µÄÓ¦Óá£ÒýÁ¦ºìÒÆ¡¢À×´ï»Ø²¨µÈʵÑé½øÒ»²½Ö¤ÊµÁËÕâ¸öÀíÂÛµÄÔ¤ÑÔ¡£Âö³åÐǺÍ΢²¨±³¾°·øÉäµÄ·¢ÏÖ£¬Ö¤ÊµÁËÒÔ¹ãÒåÏà¶ÔÂÛΪ»ù´¡µÄÖÐ×ÓÐÇÀíÂۺʹó±¬Õ¨ÓîÖæÂÛµÄÔ¤ÑÔ¡£½üÄêÀ´£¬¶ÔÓÚÂö³åË«ÐǵĹ۲âÒ²ÌṩÁËÓйØÒýÁ¦²¨´æÔÚµÄÖ¤¾Ý¡£

60Äê´úÒÔÀ´£¬ÆæÐÔÀíÂۺͺڶ´ÎïÀíµÄÑо¿È¡µÃºÜ´ó½øÕ¹¡£½üÀ´£¬¹ØÓÚÕýÄܶ¨ÀíµÄ²Â²âµÃµ½ÁËÖ¤Ã÷£¬ÓйØÒýÁ¦µÄÁ¿×ÓÀíÂÛÒÔ¼°°ÑÒýÁ¦Í¬ÆäËûÏ໥×÷ÓÃͳһÆðÀ´µÄÑо¿Ò²¼«Îª»îÔ¾¡£ÕâЩ£¬²»½ö·á¸»Á˶ԹãÒåÏà¶ÔÂÛÀíÂÛ»ù´¡µÄÈÏʶ£¬Í¬Ê±£¬Ò²½ÒʾÁ˹ãÒåÏà¶ÔÂÛ±¾ÉíËù²»Äܽâ¾öµÄÒ»Ð©ÖØ´óµÄÒÉÄÑÎÊÌ⣬Ϊ½øÒ»²½Ì½Ë÷ÒýÁ¦Ï໥×÷Óã¬ÒÔ¼°Ê±¼ä¡¢¿Õ¼äºÍÓîÖæµÄ°ÂÃØÌá³öÁËеĿÎÌâ¡£

¹ãÒåÏà¶ÔÂÛµÄÀíÂÛ»ù´¡

°®Òò˹̹Ìá³öµÈЧԭÀí¡¢¹ãÒåЭ±äÐÔÔ­ÀíºÍÂíºÕÔ­Àí×÷Ϊ¹ãÒåÏà¶ÔÂ۵Ļù±¾Ô­Àí¡£Ëû²ÉÓÃÍäÇúʱ¿ÕµÄÀèÂü¼¸ºÎÀ´ÃèÊöÒýÁ¦³¡£¬¸ø³öÒýÁ¦³¡ÖеÄÎïÀí¹æÂÉ£¬½ø¶øÌá³öÒýÁ¦³¡·½³Ì£¬µì¶¨Á˹ãÒåÏà¶ÔÂÛµÄÀíÂÛ»ù´¡¡£30Äê´ú£¬°®Òò˹̹µÈÈËÓÖ·¢Õ¹ÁËÔ˶¯ÀíÂÛ¡£60Äê´úÒÔÀ´£¬R.ÅíÂÞÈûÒýÈëÏÖ´ú΢·Ö¼¸ºÎµÄ·½·¨£¬²¢ºÍS.W.»ô½ðµÈÈË·¢Õ¹ÁËÆæÐÔÀíÂÛ¡£½üÄêÀ´£¬Çð³ÉÍ©µÈÈËÓÖÍê³É¶ÔÖøÃûµÄÕýÄܲ²âµÄÖ¤Ã÷¡£ÕâЩ¶¼´ó´ó·á¸»Á˹ãÒåÏà¶ÔÂÛµÄÀíÂÛ»ù´¡²¢Ìá³öеĿÎÌâ¡£

¹ãÒåÏà¶ÔÂ۵Ļù±¾Ô­Àí

µÈЧԭÀíÊǹãÒåÏà¶ÔÂÛ×îÖØÒªµÄ»ù±¾Ô­Àí¡£Õâ¸öÔ­ÀíµÄʵÑéÒÀ¾ÝÊÇÓɶòó¾ÊµÑéµÈ¾«È·Ö¤Ã÷µÄÒýÁ¦ÖÊÁ¿ºÍ¹ßÐÔÖÊÁ¿µÄµÈ¼ÛÐÔ¡£

°®Òò˹̹ÈÏΪ£¬Õâ¸öµÈ¼ÛÐÔµÄÖØÒªÍÆÂÛÊÇ£ºÔÚ×ÔÓÉÏÂÂäµÄÉý½µ»úÀÓÉÓÚÉý½µ»úÒÔ¼°ÆäÖÐËùÓеÄÒÇÆ÷¶¼ÒÔͬÑùµÄ¼ÓËÙ¶ÈϽµ£¬Òò¶øÎÞ·¨¼ìÑéÍâÒýÁ¦³¡µÄЧӦ¡£»»¾ä»°Ëµ£¬×ÔÓÉÏÂÂäÉý½µ»úµÄ¹ßÐÔÁ¦ºÍÒýÁ¦»¥ÏàµÖÏûÁË¡£°®Òò˹̹ÈÏΪ£¬Õâ±íÃ÷£¬ÒýÁ¦ºÍ¹ßÐÔÁ¦Êµ¼ÊÉÏÊǵÈЧµÄ¡£Õâ¾ÍÊǰ®Òò˹̹ԭÀ´ÒâÒåϵĵÈЧԭÀí¡£

²»¹ý£¬ÔÚÕæÊµµÄÒýÁ¦³¡ºÍ¹ßÐÔÁ¦³¡Ö®¼ä²¢²»´æÔÚÑϸñµÄÏàÏû¡£±ÈÈç£¬ÕæÊµµÄÒýÁ¦³¡»áÒýÆð³±Ï«ÏÖÏ󣬶ø¹ßÐÔÁ¦³¡È´²¢²»µ¼ÖÂÕâÖÖЧӦ¡£µ«ÊÇ£¬ÔÚ×ÔÓÉÏÂÂäµÄÉý½µ»úÀ³ý¿ªÒýÁ¦ÒÔÍ⣬һÇÐ×ÔÈ»¶¨Âɶ¼±£³Ö×ÅÔÚÏÁÒåÏà¶ÔÂÛÖеÄÐÎʽ¡£ÊÂʵÉÏ£¬ÕâÕýÊÇÕæÊµÒýÁ¦³¡µÄÖØÒª±¾ÖÊ¡£Èç¹û°Ñ×ÔÓÉÏÂÂäµÄÉý½µ»ú³ÆÎª¾Ö²¿¹ßÐÔϵ£¬ÄÇô£¬µÈЧԭÀí¾Í¿ÉÒԱȽÏÑϸñµØÐðÊöΪ£ºÔÚÕæÊµÒýÁ¦³¡ÖеÄÿһʱ¿Õµã£¬¶¼´æÔÚ×ÅÒ»Àà¾Ö²¿¹ßÐÔϵ£¬ÆäÖгýÒýÁ¦ÒÔÍâµÄ×ÔÈ»¶¨ÂɺÍÏÁÒåÏà¶ÔÂÛÖеÄÍêÈ«Ïàͬ¡£

°®Òò˹̹°ÑÏÁÒåÏà¶ÔÂÛËù¿¼²ìµÄ×÷ÔÈËÙÔ˶¯µÄ²ÎÕÕϵ֮¼äµÄÏà¶ÔÐÔ¡£Íƹ㵽×÷ÈÎÒâÔ˶¯µÄ²ÎÕÕϵ֮¼äµÄÏà¶ÔÐÔ¡£Îª´Ë£¬ËûÌá³öÎïÀí¶¨ÂɱØÐëÔÚÈÎÒâ×ø±êϵÖж¼¾ßÓÐÏàͬµÄÐÎʽ£¬¼´ËüÃDZØÐëÔÚÈÎÒâ×ø±ê±ä»»ÏÂÊÇЭ±äµÄ¡£Õâ¾ÍÊǹãÒåЭ±äÐÔÔ­Àí¡£

¹ãÒåЭ±äÐÔ¶ÔÎïÀí¶¨ÂɵÄÄÚÈݲ¢Ã»ÓÐʲôÏÞÖÆ£¬Ö»ÊǶԶ¨ÂɵÄÊýѧ±íÊöÌá³öÁËÒªÇó¡£°®Òò˹̹ºóÀ´Ò²ÊÇÕâÑùÈÏΪµÄ£º¹ãÒåЭ±äÐÔÖ»ÓÐͨ¹ýµÈЧԭÀí²ÅÄÜ»ñµÃÎïÀíÄÚÈÝ¡£

°®Òò˹̹½¨Á¢¹ãÒåÏà¶ÔÂÛµÄÁíÒ»¸öÖØÒªË¼ÏëÊÇÈÏΪʱ¼äºÍ¿Õ¼äµÄ¼¸ºÎ²»ÄÜÏÈÑ鵨¸ø¶¨£¬¶øÓ¦µ±ÓÉÎïÖʼ°ÆäÔ˶¯Ëù¾ö¶¨¡£Õâ¸ö˼ÏëÖ±½Óµ¼ÖÂÓÃÀèÂü¼¸ºÎÀ´ÃèÊö´æÔÚÒýÁ¦³¡µÄʱ¼äºÍ¿Õ¼ä£¬²¢³ÉΪдÏÂÒýÁ¦³¡·½³ÌµÄÒÀ¾Ý¡£°®Òò˹̹µÄÕâһ˼ÏëÊÇ´ÓÎïÀíѧ¼ÒºÍÕÜѧ¼ÒE.ÂíºÕ¶ÔÅ£¶ÙµÄ¾ø¶Ô¿Õ¼ä¹ÛÄîÒÔ¼°Å£¶ÙµÄÕû¸öÌåϵµÄÅúÅÐÖм³È¡¶øÀ´µÄ¡£ÎªÁ˼ÍÄîÕâλ°ÂµØÀûѧÕߣ¬°®Òò˹̹°ÑËûµÄÕâһ˼Ïë³ÆÎªÂíºÕÔ­Àí¡£

ÒýÁ¦³¡µÄ¼¸ºÎÃèÊö

¸ù¾ÝÉÏÊö»ù±¾Ô­Àí£¬¹ãÒåÏà¶ÔÂÛÓôæÔÚ¾Ö²¿¹ßÐÔϵµÄÀèÂü¼¸ºÎÀ´ÃèÊöÒýÁ¦³¡¡£

ÔÚÕâÖÖÀèÂü¼¸ºÎÖУ¬ËÄάʱ¿ÕµÄÏßÔªÊÇʱ¿ÕµãµÄÈÎÒ⺯Êý

g¦Ì¦Ô(x)³ÆÎªÔÚxµãʱ¿ÕµÄ¶È¹æÕÅÁ¿¡£x0=ct£¬§ãÊǹâËÙ£¬tÊÇʱ¼ä×ø±ê¡£x1¡¢x2¡¢x3 Êǿռä×ø±ê¡£Öظ´Ö¸±ê±íʾÇóºÍ¡£Èç¹ûÒýÈë¾Ö²¿¹ßÐÔϵ£¬ÏßÔª¿ÉÒÔ±íʾΪ

£¬

¦Ç¦Ì¦Ô¾ÍÊÇÏÁÒåÏà¶ÔÂÛÖеÄãɿɷò˹»ù¶È¹æ£¬¦ÈŒš(x) ³ÆÎª¾Ö²¿¹ßÐÔ±ê¼Ü¡£

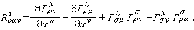
ÏàÁÚÁ½Ê±¿ÕµãµÄ¾Ö²¿¹ßÐÔϵ֮¼äµÄ¹ØÏµ£¬¿ÉÒÔÓÉÁªÂçÀ´±íʾ¡£ÔÚÀèÂü¼¸ºÎÖУ¬ÁªÂçÍêÈ«ÓɶȹæÕÅÁ¿¼°ÆäÆ«µ¼Êý¾ö¶¨£¬³ÆÎª¿ËÀï˹¶à·Æ(Christoffel)¼ÇºÅ

gÊÇÄæ±ä¶È¹æÕÅÁ¿¡£ÀûÓÃÁªÂç¿ÉÒÔ¶¨Ò寽ÐÐÒÆ¶¯ºÍЭ±äµ¼Êý¡£ÀýÈ磬¶ÔÓÚһʸÁ¿V¦ËµÄЭ±äµ¼Êý¶¨ÒåΪ

¡£

Èç¹ûÑØ×ÅÒ»ÇúÏߣ¬ ʸÁ¿V¦ËµÄЭ±äµ¼ÊýΪÁ㣬Ôò³ÆÔÚ´ËÇúÏßÉϲ»Í¬µãµÄʸÁ¿ÊÇ±Ë´ËÆ½Ðеġ£

Èç¹ûÒ»ÌõÇúÏßÉϲ»Í¬µãµÄÇÐÏßÊÇÆ½Ðеģ¬ÄÇô¸ÃÇúÏ߾ͳÆÎªÊÇ²âµØÏߣ¬Âú×ã·½³Ì

ÏÔÈ»£¬²âµØÏ߸ÅÄîÊÇãɿɷò˹»ùʱ¿ÕÖÐËÄάֱÏßµÄÍÆ¹ã¡£

ÔÚÕâÖÖÀèÂü¼¸ºÎÖУ¬ÓÉ¿ËÀï˹¶à·Æ¼ÇºÅ¶¨ÒåµÄƽÐÐÒÆ¶¯±£³ÖÏßÔªds2²»±ä¡£Õâ·´Ó³ÁËÔÚ²»Í¬¾Ö²¿¹ßÐÔϵÖУ¬ÀíÏëʱÖӵĹÌÓÐʱӦ¸ÃÏàͬÕâÑùÒ»¸öÎïÀíÒªÇó¡£

ʱ¿ÕµÄÍäÇú³Ì¶ÈÓÉÀèÂüÇúÂÊÕÅÁ¿±íʾ

ËüÂú×ã±È°²»ùºãµÈʽ

ÀûÓÃÀèÂüÇúÂʿɶ¨ÒåÀïÆæÕÅÁ¿R¦ÑvºÍ±êÁ¿ÇúÂÊR

ÀûÓñȰ²»ùºãµÈʽ¿ÉÒÔÖ¤Ã÷

ÆäÖЦ«ÊÇÈÎÒâ³£Êý¡£

ÔÚÀèÂü¼¸ºÎÖУ¬Á½ÌõÏàÁÚ²âµØÏß x¦Ñ(s) ºÍ xŒš(s)+¦ÎŒš(s)µÄÆ«Àë³Ì¶È¦ÎŒš(s)ͬÇúÂÊÕÅÁ¿ÓйØ

Õâ¸ö·½³Ì³ÆÎª²âµØÏ߯«Àë·½³Ì¡£

ÒýÁ¦³¡ÖеÄÎïÖÊÔ˶¯

¸ù¾ÝµÈЧԭÀíºÍ¹ãÒåЭ±äÔ­Àí£¬Ö»Òª°ÑÏÁÒåÏà¶ÔÂÛÖеÄÎïÀí¹æÂÉд³É¹ãÒåЭ±äµÄÐÎʽ£¬¾Í¿ÉÒԵõ½³ýÒýÁ¦ÒÔÍâµÄÔÚÒýÁ¦³¡ÖеÄÎïÀí¶¨ÂÉ¡£Òª×÷µ½ÕâÒ»µãÖ»ÐèÒª°Ñ¶¨ÂÉÖÐµÄÆÕͨ΢·Ö¸ÄдΪЭ±ä΢·Ö¾Í¿ÉÒÔÁË¡£

ÎÞ×ÔÐýÁ£×Ó»ò¹â×ÓÔÚÒýÁ¦³¡ÖеÄÔ˶¯·½³Ì¿ÉÒÔÕâÑùµÃµ½¡£ÔÚÏÁÒåÏà¶ÔÂÛÖУ¬ÖÊÁ¿ÎªmµÄ×ÔÓÉÁ£×Ó»ò¹â×Ó£¬·Ö±ðÑØãɿɷò˹»ùʱ¿ÕÖеÄÀàʱֱÏß»òÀà¹âÖ±ÏßÔ˶¯¡£½«ÕâЩÔ˶¯·½³Ìд³ÉЭ±äÐÎʽ£¬¾Í·Ö±ðµÃµ½ÀèÂüʱ¿ÕÖеÄÀàʱ»òÀà¹â²âµØÏß·½³Ì£¬¼´ÎÞ×ÔÐýÁ£×Ó»ò¹â×ÓÔÚÒýÁ¦³¡ÖеÄÔ˶¯·½³Ì¡£

ÎïÖʳ¡µÄ·½³ÌÒ²¿ÉÒÔÕâÑùµÃµ½¡£ÀýÈ罫ÏÁÒåÏà¶ÔÂÛÖеĿËÀ³Òò£­¸êµÇ·½³Ì£¨¼û³¡·½³Ì£©Ð´³É¹ãÒåЭ±äÐÎʽ£¬¾ÍµÃµ½ÔÚÒýÁ¦³¡ÖеıêÁ¿³¡·½³Ì¡£

ÔÚÏÁÒåÏà¶ÔÂÛÖУ¬´æÔÚһϵÁеÄÊØºã·½³Ì¡£½«ÕâÐ©ÊØºã·½³ÌÖÐµÄÆÕͨɢ¶È¸ÄΪЭ±äÉ¢¶È£¬¾ÍµÃµ½ÔÚÒýÁ¦³¡ÖÐÏàÓ¦µÄÊØºã·½³Ì¡£ÀýÈ磬ÕâÑù¿ÉÒԵõ½ÄÜÁ¿¶¯Á¿ÊغãÔÚÒýÁ¦³¡ÖеÄÐÎʽΪ

ÕâÀïT¦Ì¦Ô¾ÍÊÇÄÜÁ¿¶¯Á¿ÕÅÁ¿¡£

µ«ÊÇ£¬ÕâÖÖ·½Ê½²»¿ÉÄܵõ½ÒýÁ¦¶¨Âɱ¾Éí£¬Ò²²»¿ÉÄܵõ½Í¬ÇúÂÊÓйصÄЧӦ¡£ÀýÈ磬²»¿ÉÄܵõ½²âµØÏ߯«Àë·½³ÌÖÐͬÇúÂÊÓйصÄÏҲ²»¿ÉÄܵõ½ÔÚÒýÁ¦³¡ÖÐ×ÔÐýÁ£×ÓµÄ×ÔÐýͬÇúÂʵÄñîºÏÏîµÈµÈ¡£ÓëÇúÂÊÓйصÄÎïÀíЧӦºÎʱ³öÏÖ£¬Ö»ÄÜ×÷¾ßÌåµÄ·ÖÎö¡£

ÒýÁ¦³¡·½³Ì

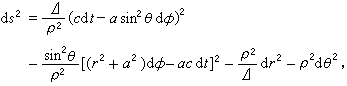
°®Òò˹̹ºÍ D.Ï£¶ú²®Ìؼ¸ºõͬʱÔÚ1915ÄêµÃµ½ÁËÍêÕûµÄÒýÁ¦³¡·½³Ì

£¬

ÆäÖÐG ÊÇÅ£¶ÙÒýÁ¦³£ÊýG£½6.670¡Á10-8cm3/(g¡¤s2)¡£·½³Ì×ó±ßÊÇÃèÊöÒýÁ¦³¡µÄʱ¿Õ¼¸ºÎÁ¿£¬ÓÒ±ßÊÇ×÷ΪÒýÁ¦³¡Ô´µÄÎïÖÊÄÜÁ¿¶¯Á¿ÕÅÁ¿¡£ÏÔÈ»£¬Õâ¸ö·½³Ì·´Ó³Á˰®Òò˹̹µÄÂíºÕÔ­ÀíµÄ˼Ïë¡£

°®Òò˹̹Ìá³öÕâ¸ö³¡·½³ÌµÄ»ù±¾Ë¼Â·´óÖ¿ÉÒÔÕâÑùÀ´¸ÅÀ¨£º¿¼²ìÅ£¶ÙÒýÁ¦ÀíÂ۵IJ´ËÉ·½³Ì

ËüÊÇÒýÁ¦ÊƨT µÄ¶þ½×ƫ΢·Ö·½³Ì£¬¦ÑÊÇÒýÁ¦Ô´µÄÖÊÁ¿Ãܶȡ£ÔÚÏà¶ÔÂÛÖУ¬¦ÑÓ¦¸ÃÍÆ¹ãΪÒýÁ¦Ô´µÄÄÜÁ¿¶¯Á¿ÕÅÁ¿£¬¨T ÔòÍÆ¹ãΪ¶È¹æÕÅÁ¿g¦Ì¦Ô¡£Òò´Ë£¬ÒýÁ¦³¡·½³ÌÓ¦¸ÃÊǶȹæµÄ¶þ½×ƫ΢·Ö·½³Ì¡£½ø¶ø£¬°®Òò˹̹·¢ÏÖͬT¦Ì¦ÔÂú×ãͬÑùµÄÊØºãÂÉ¡£Õâ±ãµ¼ÖÂÁËËûдϾßÓÐÉÏÊöÌØµãµÄÕýÈ·µÄÒýÁ¦³¡·½³Ì¡£

ÔÚÕæ¿ÕÖУ¬Õâ¸ö·½³Ì¼ò»¯Îª

¡£

1917Ä꣬ÊÜÒò˹̹ÔÚ¶ÔÓîÖæ½øÐп¼²ìʱ£¬Òý½øÁËÓîÖæ³£Êý¦«Ï½«·½³ÌÐÞ¸ÄΪ

²»¾ÃÖ®ºó£¬Ëû±¾ÈË·ÅÆúÁËÕâÒ»Ïî¡£µ«ÊǽüÄêÀ´£¬²»ÉÙÎïÀíѧ¼ÒÈÏΪ¦«ÏîµÄÒý½øÊÇÓбØÒªµÄ¡£

Ô˶¯ÀíÂÛ

1927Äê°®Òò˹̹µÈÈËÌá³ö£¬ÖʵãϵͳµÄÔ˶¯·½³ÌÓ¦¸Ã°üÀ¨ÔÚÒýÁ¦³¡·½³ÌÖ®ÖС£1938Ä꣬°®Òò˹̹¼°ÆäºÏ×÷ÕßÍê³ÉÁËÕâÒ»ÀíÂÛ¡£ËûÃDzÉÓúóÀ´³ÆÎªºóÅ£¶Ù½üËÆµÄ·½·¨£¬ÔÚ¶ÔÖʵãϵÄÜÁ¿¶¯Á¿ÕÅÁ¿µÄ¼òµ¥¼Ù¶¨Ï£¬´ÓÒýÁ¦³¡·½³ÌÖÐÍÆµ¼³öÁËÖʵãϵµÄÔ˶¯·½³Ì£¬Õâ¾ÍÊÇÖøÃûµÄ¹ãÒåÏà¶ÔÂÛµÄÔ˶¯ÀíÂÛ¡£50Äê´úÒÔÀ´£¬Ò»Ð©ÎïÀíѧ¼ÒÖ¸³ö£¬ÖʵãÔ˶¯·½³ÌÒ²¿ÉÒÔÖ±½Ó´ÓÄÜÁ¿¶¯Á¿ÕÅÁ¿µÄÊØºã¶¨ÂÉÍÆµ¼³öÀ´¡£A.°Í°Í±ðÌØÂ³ÓÉÔ˶¯ÀíÂÛµ¼³öÁË×ÔÐýÁ£×Ó»áÊܵ½µÄ×ÔÐýºÍÇúÂʵÄñîºÏÏî¡£

ÒýÁ¦³¡·½³Ì°üº¬×ÅÁ£×ÓÔ˶¯·½³Ì£¬ÕâÊǹãÒåÏà¶ÔÂÛµÄÒ»¸öÖØÒªÌØµã¡£

ÆæÐÔÀíÂÛ

60Äê´úÒÔÀ´£¬ÅíÂÞÈûµÈÈËϵͳµØÔËÓÃÕûÌå΢·Ö¼¸ºÎµÄ·½·¨À´Ñо¿¹ãÒåÏà¶ÔÂÛ¡£ÅíÂÞÈûºÍ»ô½ðµÈÈ˽¨Á¢µÄÆæÐÔÀíÂÛ£¬ÌáʾÁ˹ãÒåÏà¶ÔÂÛʱ¿Õ½á¹¹µÄÖØÒªÐÔÖʺÍÎÊÌâ¡£

ÔçÒÑÖªµÀÔÚ¹ãÒåÏà¶ÔÂÛÖдæÔÚÆæÐÔ¡£ÀýÈ磬ʷÍßÎ÷¶È¹æ£¨¼ûÏÂÎÄ£©ÔÚr=2M G/§ã2ÒÔ¼°r£½0´¦ÊÇÆæÒìµÄ¡£Ö±µ½1959Äê²Å·¢ÏÖ£¬Ö»ÒªÒýÈëÁ½¸ö×ø±êϵÀ´¸²¸Çʱ¿Õ£¬¾Í¿ÉÒÔ±ÜÃâ r£½2M G/§ã2´¦µÄÆæµã¡£µ«ÊÇr£½0´¦µÄÆæµãÈ´²»ÊÇÕâÖÖÓÉÓÚ×ø±êѡȡ²»µ±¶ø´øÀ´µÄÐé¼ÙµÄÆæÒì¡£ÓÖÈ磬¸¥ÀïµÂÂü£­ÂÞ²®Ëï-ÎÖ¶ú¿ËÓîÖæ¶È¹æ(¼ûÏÂÎÄ)ÔÚÓîÖæÊ±t=0´¦ÆæÒ죬ÕâÒ²²»ÊÇÓÉÓÚ×ø±êѡȡ²»µ±´øÀ´µÄ¡£

ÔÚ¹ãÒåÏà¶ÔÂÛÖÐÊÇ·ñÒ»¶¨´æÔÚÕâÖÖÍ¬×ø±êѡȡÎÞ¹ØµÄÆæÐÔ£¬ÅíÂÞÈûºÍ»ô½ðµÈÈ˽¨Á¢µÄÆæÐÔÀíÂۻشðÁËÕâ¸öÎÊÌâ¡£ËûÃÇÖ¤Ã÷£¬Ö»Òª¹ØÓÚÎïÖÊ¡¢ÄÜÁ¿¡¢ÒÔ¼°Òò¹ûÐÔµÈһЩºÏÀíµÄÎïÀíÌõ¼þ³ÉÁ¢£¬ÔÚ¹ãÒåÏà¶ÔÂÛÖоͲ»¿É±ÜÃâµØ´æÔÚ×ÅÆæµã¡£ÔÚÕâÀàÆæµã´¦£¬Ê±¿ÕÁ÷Ðδﵽ¾¡Í·¡£²»½öÔÚÓîֿģÐÍÖÐÆðʼµÄÆæµãÊÇÕâÑù£¬ÔÚÐÇÌåÖÐÒýÁ¦Ì®ËõÖÕÖ¹µÄÆæµãÒ²ÊÇÕâÑù¡£ÓÉÓÚ²»ÖªµÀÆæÐÔËù×ñÑ­µÄ¹æÂÉ£¬ÎïÀíѧ¡¢°üÀ¨¹ãÒåÏà¶ÔÂÛ£¬½«Ëæ×ÅÆæµãµÄ³öÏÖ¶øÊ§Ð§¡£

Ò»°ãÈÏΪ£¬³öÏÖÕâÖÖÔ˶¯Æðʼ»òÖÕÖ¹ÓÚÆæÐÔµÄÏÖÏó·´Ó³Á˹ãÒåÏà¶ÔÂÛÀíÂÛÉϵÄijÖÖ²»ÍêÉÆ£¬²¢²»Ò»¶¨Êǿ͹ÛÊÀ½çËù¹ÌÓеġ£µ±Ç°£¬ÓÐ¹ØÆæÐÔµÄÉîÈëÑо¿ÒÔ¼°ÈçºÎ±ÜÃâÕâÀàÆæÐÔµÄÎÊÌ⣬ÊÇÒ»¸öºÜ»îÔ¾µÄÁìÓò£¬¿Ë·þ¹ãÒåÏà¶ÔÂÛµÄÕâ¸öÖØ´óÒÉÄÑ£¬½«»áʹÎïÀíѧ¶ÔÓÚʱ¼ä¡¢¿Õ¼äºÍÒýÁ¦µÄÈÏʶ´ïµ½¸ü¸ßµÄ¾³µØ¡£

ÕýÄܶ¨Àí

ÈËÃÇÖªµÀ£¬ÓÉÓÚÒýÁ¦µÄÐÔÖÊ£¬ÒýÁ¦ÊÆÄÜ×ÜÊǸºµÄ¡£ÕâÑù£¬ÔÚ´óÖÊÁ¿Ì®ËõϵͳÖоͻáÓм«´óµÄ¸ºµÄÒýÁ¦½áºÏÄÜ¡£ÄÇô£¬Õâ»á²»»áµ¼ÖÂÕâÀàÒýÁ¦Êø¸¿ÏµÍ³µÄ×ÜÄÜÁ¿»òÕßÖÊÁ¿±äΪ¸ºÖµ£¬³¤ÆÚÒÔÀ´£¬ÈËÃÇÒ»Ö±²Â²â£¬ÔÚ¹ãÒåÏà¶ÔÂÛÖÐÒýÁ¦Êø¸¿ÏµÍ³µÄ×ÜÄÜÁ¿»òÖÊÁ¿×ÜÊÇÕý¶¨µÄ¡£È»¶ø£¬Ö±µ½²»¾ÃǰÇð³ÉÍ©µÈÈËÔËÓôó·¶Î§Î¢·Ö¼¸ºÎµÄ·½·¨²ÅÖ¤Ã÷ÁËÕâ¸ö²Â²â¡£ËûÃÇÖ¸³ö£¬Ö»ÒªÔÚÀà¿Õ³¬ÇúÃæÉϽøÐвâÁ¿£¬ÖÊÁ¿×ÜÊÇÕýµÄ¡£Õâ¸ö¶¨Àí³äʵÁ˹ãÒåÏà¶ÔÂÛµÄÀíÂÛ»ù´¡£¬ÊǽüÄêÀ´µÃµ½µÄÒ»¸öÖØÒª³É¹û¡£

³¡·½³ÌµÄ¾«È·½âºÍ½üËÆ·½·¨

°®Òò˹̹ÒýÁ¦³¡·½³ÌÊǸ߶ȷÇÏßÐԵģ¬Ò»°ãºÜÄÑÑϸñÇó½â¡£Ö»ÔÚ¶Ôʱ¿Õ¶È¹æ¸½¼ÓһЩ¶Ô³ÆÐÔ»òÆäËûÒªÇóÏ£¬Ê¹·½³Ì´ó´ó¼ò»¯£¬²ÅÓпÉÄÜÇó³öһЩÑϸñ½â¡£

·ÖÎö°®Òò˹̹³¡·½³ÌµÄÁíÒ»Ìõ;¾¶£¬ÊÇ·¢Õ¹ÏµÍ³µÄ½üËÆ·½·¨¡£ÔÚÀúÊ·ÉÏ£¬ÓÐÁ½ÖÖϵͳµÄ½üËÆ·½·¨Æð¹ýÖØÒªµÄ×÷Óã¬Õâ¾ÍÊÇÈõ³¡½üËÆºÍºóÅ£¶Ù½üËÆ¡£

ÒÔϽéÉÜÒ»ÏÂÖØÒªµÄ¾«È·½âºÍÁ½¸ö½üËÆ·½·¨£º

Çò¶Ô³ÆÒýÁ¦³¡ºÍÊ·ÍßÎ÷¶È¹æ

ÔÚÇò¶Ô³ÆµÄ¼Ù¶¨Ï£¬¶È¹æµÄÒ»°ã±í´ïʽΪ

ÆäÖÐA(r£¬t)ÓëB(r£¬t)ÊÇÁ½¸öδ֪º¯Êý£¬È·¶¨ËüÃǵľßÌåÐÎʽҪÇó½âÒýÁ¦³¡·½³Ì¡£

¶ÔÓÚÕæ¿ÕµÄÇéÐΣ¬¿ÉÒÔÖ¤Ã÷±´¿Æ·ò¶¨Àí£ºÕæ¿ÕÇò¶Ô³ÆÒýÁ¦³¡Ò»¶¨ÊǾ²Ì¬µÄ¡£

Òò´Ë£¬Çò¶Ô³ÆÖÐÐÄÖÊÁ¿ÍâÃæµÄÒýÁ¦³¡Ò»¶¨ÊǾ²Ì¬µÄ¡£Çó½âÕæ¿Õ°®Òò˹̹·½³Ì£¬²¢ÒªÇó¾àÖÐÐĺÜÔ¶´¦µÄÒýÁ¦³¡Í¬Å£¶Ù¶¨ÂÉÒ»Ö£¬´Ó¶ø¿ÉÒԵõ½

ÕâÊǹãÒåÏà¶ÔÂ۵ĵÚÒ»¸ö¾«È·½â¡£ÊÇÓÉK.Ê·ÍßÎ÷ÓÚ1916ÄêÇóµÃ£¬Í¨³ÆÎªÊ·ÍßÎ÷¶È¹æ¡£

ÏÔÈ»£¬¶È¹æÔÚr£½2M G/§ã2ºÍr£½0´¦ÆæÒì¡£µ«ÊÇ£¬M.¿Ë³˹¿¨µÈÈËÖ¸³ö£¬ r£½2M G/§ã2´¦µÄÆæÒìÊÇÓÉÓÚÖ»ÒýÓÃÒ»¸ö×ø±êϵ´øÀ´µÄ£¬¿ÉÒÔÒýÈëÔÚr£½2M G/§ã2´¦Í¨¹ý¡°ÑÊºí¡±ÏàÁ¬µÄÁ½¸ö×ø±êϵÀ´±ÜÃ⣬¶øÇÒ£¬ºóÕß¾ßÓÐ×î´ó½âÎöÑÓÍØµÄÐÔÖÊ¡£µ«ÊÇ£¬r£½0´¦µÄÆæµãÊDZ¾Öʵġ£

¶ÔÓÚÇò¶Ô³Æ¾²Ì¬µÄÐÇÌ壬ʷÍßÎ÷ÔÚ¼Ù¶¨ÐÇÌåÓÉÃܶÈΪ³£ÊýµÄ²»¿ÉѹËõÁ÷Ìå¹¹³ÉµÄǰÌáÏ£¬Çó³öÁËÓÐÔ´ÒýÁ¦³¡·½³ÌµÄÑϸñ½â£¬ÏÖÔÚ³ÆÎªÊ·ÍßÎ÷Äڽ⡣Õâ¸ö½â¸ø³öÀ´×ÔÐÇÌå±íÃæµÄ¹âÆ×ÏßÒýÁ¦ºìÒÆµÄÉÏÏÞ¡£

¾²Ì¬Öá¶Ô³ÆÒýÁ¦³¡ºÍ¿Ë¶û£­Å¦Âü¶È¹æ

¾²Ì¬Öá¶Ô³ÆÒýÁ¦³¡µÄ¶È¹æ¾ßÓÐÖØÒªµÄÎïÀíÒâÒå¡£Ò»¸öÖÊÁ¿Îª M ¡¢µçºÉΪQ¡¢ÄÚÙ÷½Ç¶¯Á¿ÎªJµÄת¶¯ÇòÌåµÄÍⲿÒýÁ¦³¡µÄ¶È¹æÎª

ÆäÖÐ

Õâ¸ö¾²Ì¬Öá¶Ô³ÆµÄ¶È¹æÊÇJ.¿Ë¶ûºÍE.ŦÂüµÈÈËÔÚ60Äê´úµÃµ½µÄ£¬³ÆÎª¿Ë¶û£­Å¦Âü¶È¹æ¡£µ±Q£½0ʱ£¬³ÆÎª¿Ë¶û¶È¹æ£»J£½0ʱ£¬³ÆÎªÀ×˹ÄÉ£­ÅµµÂË¹ÌØÂÞÄ·¶È¹æ¡£Q£½J£½0ʱ£¬»¹Ô­ÎªÊ·ÍßÎ÷¶È¹æ¡£

Õâ¸ö¶È¹æ¾ßÓÐÊӽ磬¿ÉÒÔÃèдһ¸öºÚ¶´µÄ³äÒªÌõ¼þΪM 2¡ÝQ2+a2¡£

µÂÎ÷ÌØ¶È¹æºÍ³£ÇúÂÊʱ¿Õ

1917ÄêW.µÂÎ÷ÌØµÃµ½ÁË´øÓꬦ«µÄÓîÖæÑ§ÏîµÄÕæ¿Õ°®Òò˹̹·½³ÌµÄÒ»¸ö¾«È·½â

ÆäÖÐRΪÓîÖæ°ë¾¶£¬¡£¶ÔÓÚ¦«©‚0µÄÇéÐÎÒ²ÓÐÀàËÆµÄ½â£¬³ÆÎª·´µÂÎ÷ÌØ¶È¹æ¡£

ÕâÁ½ÖÖµÂÎ÷ÌØ¶È¹æ·Ö±ðÃèÊöÁ½ÖÖËÄά³£ÇúÂÊʱ¿Õ£¬µ±¦«Ç÷ÓÚÁãʱ£¬ËüÃǶ¼ÍË»¯Îªãɿɷò˹»ùʱ¿Õ¡£½üÄêÀ´·¢ÏÖ£¬ÔÚÕâÁ½ÖÖ³£ÇúÂÊʱ¿ÕÖпÉÒÔÒý½øÒ»ÀàÌØÊâµÄ×ø±êϵ£¬Ê¹µÃ²âµØÏß·½³Ì»¯ÎªÏßÐÔ·½³Ì¡£Òò¶ø¿ÉÒ԰ѹßÐÔÔ˶¯ºÍÏÁÒåÏà¶ÔÂ۵ĸÅÄîÍÆ¹ãµ½ÕâÀà¶È¹æ¡£

³£ÇúÂÊʱ¿ÕûÓÐÆæµã£¬ÕâÒ²ÖµµÃ×¢Òâ¡£

¸¥ÀïµÂÂü£­ÂÞ²®ËÎÖ¶ú¿Ë¶È¹æ

ÔÚ¿Õ¼ä¾ùÔȸ÷ÏòͬÐԵļٶ¨Ï£¬¿ÉÒÔ½«¶È¹æ»¯Îª

kȡֵ£«1¡¢0»ò£­1£¬·Ö±ð¶ÔÓ¦¾ùÔȸ÷ÏòͬÐÔµÄÈýά×Ó¿Õ¼äΪÕýÇúÂʵij¬Çò¡¢ÁãÇúÂÊµÄÆ½Ì¹¿Õ¼ä»ò¸ºÇúÂʵÄË«ÇúÐͿռ䡣ǰÕßÊÇ·â±ÕµÄ£»ºóÁ½ÕßÊÇ¿ª·ÅµÄ¡£R(t)ÊDZê¶ÈÒò×Ó¡£¶ÔÎïÖÊ·Ö²¼×÷ÏàÓ¦µÄ¼Ù¶¨£¬²¢¸ø³öÎï̬·½³Ì£¬Çó½â°®Òò˹̹·½³Ì£¬¾Í¿ÉµÃ³öR(t)ͬÃܶȺÍѹǿµÄ¹ØÏµ¡£

Õâ¸ö¶È¹æ¿ÉÒÔÓÃÀ´ÃèÊöÒýÁ¦Ì®Ëõ¡£Ò²¿ÉÒÔΪÏà¶ÔÂÛÓîÖæÑ§ÌṩÔ˶¯Ñ§¿ò¼Ü¡£

A.A.¸¥ÀïµÂÂüÓÚ1922Äê×îÏÈÑо¿ÁËÕâÀà¶È¹æ£¬ÔÚÃܶÈΪ³£Êý¡¢Ñ¹Á¦ÎªÁãµÄÇéÐÎϵõ½ÁËR(t)µÄ¾«È·½â£¬²¢ÎªÒýÈëÓîÖæÅòÕ͵ĸÅÄî´òÏÂÁË»ù´¡¡£Ëæºó£¬G.ÀÕÃ·ÌØÏµÍ³µØÑо¿ÁË×÷ΪÓîֿģÐ͵ĸ¥ÀïµÂÂü¿Õ¼ä£¬ÒýÈëÁËÓîÖæÅòÕ͵ĸÅÄî¡£30Äê´ú£¬H.ÂÞ²®ËïºÍA.G.ÎÖ¶ú¿ËÓÖ·Ö±ðϵͳµØ´Ó¶Ô³ÆÐԵĽǶÈÑо¿ÁËÕâÀà¶È¹æ¡£

ͨ³£°ÑÕâÀà¶È¹æ³ÆÎª¸¥ÀïµÂÂü£­ÂÞ²®ËÎÖ¶ú¿Ë¶È¹æ£¬¶ø°Ñ°üº¬ÓîÖæ³£ÊýÏîµÄÄ£ÐͳÆÎªÀÕÃ·ÌØÄ£ÐÍ¡£

Èõ³¡½üËÆ

ÕâÊÇÇó½â°®Òò˹̹³¡·½³ÌµÄÒ»ÖÖϵͳµÄ½üËÆ·½·¨£¬ÊʺÏÓÚÌÖÂ۵ͽ׽üËÆÏµÄÈõÒýÁ¦³¡£¬¶ø²»¼Ù¶¨ÎïÖÊ»ò³¡×÷·ÇÏà¶ÔÂÛÔ˶¯£¬Òò¶ø³£ÓÃÓÚ´¦ÀíÒýÁ¦·øÉäµÄ¿ÎÌâ¡£

¼Ù¶¨ÍäÇúʱ¿Õ¶È¹æg¦Ì¦Ô ͬƽֱʱ¿Õ¶È¹æ¦Ç¦Ì¦ÔµÄÆ«Àëh¦Ì¦ÔÊÇÒ»½×СÁ¿£¬ÔÚ g¦Ì¦ÔÂú×ãÒ»¶¨µÄ×ø±êÌõ¼þµÄÒªÇóÏ£¬¿É½«³¡·½³ÌºÍ×ø±êÌõ¼þÏßÐÔ»¯Îªh¦Ì¦ÔÂú×ãµÄ·½³ÌºÍ×ø±êÌõ¼þ£¬½ø¶øÇó½â¡£

Èç¹û¼Ù¶¨g¦Ì¦ÔÂú×ãгºÍ×ø±êÌõ¼þ£¬Ôò¿ÉÒԵõ½h¦Ì¦ÔµÄ·½³ÌºÍÈçϵÄ×ø±êÌõ¼þ

ÏÔÈ»£¬h¦Ì¦ÔÂú×㲨¶¯·½³Ì£¬×ø±êÌõ¼þÏ൱ÓÚµç´ÅÊÆµÄÂåÂ××ÈÌõ¼þ¡£ËüÃǾßÓÐÍÆ³ÙÊÆµÄ½â£¬²¢¿ÉÒÔ½âÊÍΪÓÉÔ´S¦Ì¦Ô²úÉúµÄÒýÁ¦·øÉä¡£

¶ÔÓÚÕæ¿ÕµÄÇéÐΣ¬·½³ÌµÄ½â¿É½âÊÍΪÀ´×ÔÎÞÇîÔ¶´¦µÄÒýÁ¦·øÉä¡£

ºóÅ£¶Ù½üËÆ

Êǰ®Òò˹̹µÈÈË·¢Õ¹ÆðÀ´µÄÒ»ÖÖÇó½â³¡·½³ÌµÄϵͳ½üËÆ·½·¨£¬ÊÊÓÃÓÚÓÉÒýÁ¦Êø¸¿ÔÚÒ»ÆðµÄ»ºÂýÔ˶¯µÄÖʵãϵͳ¡£´Ëʱ£¬ÏµÍ³µÄÌØÕ÷ËÙ¶ÈvԶСÓÚ¹âËÙ§ã£¬ÌØÕ÷ÒýÁ¦ÊÆÒ²Ô¶Ð¡ÓÚ¹âËÙ¶þ´Î·½§ã2£¬Òò¶ø¿É°´ÕյȵÄÃݴν«³¡·½³Ì¡¢×ø±êÌõ¼þ¡¢Ô˶¯·½³ÌµÈµÈÖð¼¶Õ¹¿ªµÃµ½Öð¼¶½üËÆµÄ·½³Ì×é¡£×îµÍ¼¶½üËÆ¾ÍÊÇÅ£¶ÙÒýÁ¦ÀíÂÛ£¬´ÎÒ»¼¶½üËÆ¾ÍÊÇËùνºóÅ£¶Ù½üËÆ¡£

ºóÅ£¶Ù½üËÆ¿ÉÒÔÓÃÀ´¼ÆËãÖÐÐÄÁ£×ÓµÄÖÊÁ¿¡¢×Ôת¡¢Ëļ«¾ØµÈÒòËØ¶ÔÁ£×ÓÔ˶¯¹ìµÀµÄÓ°Ï죬Ҳ¿ÉÒÔ¼ÆËã×Ôתͬ¹ìµÀÔ˶¯µÄñîºÏµÈÖØÒªµÄ¹ãÒåÏà¶ÔÂÛЧӦ¡£

¹ãÒåÏà¶ÔÂÛµÄʵÑé»ù´¡ºÍ¾­µä¼ìÑé

ÒýÁ¦ÖÊÁ¿Í¬¹ßÐÔÖÊÁ¿µÄµÈ¼Û£¬Êǰ®Òò˹̹Ìá³öµÈЧԭÀíµÄʵÑé»ù´¡£¬Ò²ÊÇÕû¸ö¹ãÒåÏà¶ÔÂÛ×îÖØÒªµÄʵÑéÒÀ¾Ý¡£Õâ¸öµÈ¼ÛÐÔÔçÔÚÅ£¶ÙµÄʱ´ú¾ÍÓÐʵÑéÖ¤Ã÷£¬19ÊÀ¼ÍÄ©£¬R.von¶òó¾ÒÔ10-9µÄ¾«¶ÈÖ¤Ã÷ÁËÕâÒ»µã¡£½üÄêÀ´£¬ÑéÖ¤Õâ¸öµÈ¼ÛÐÔµÄʵÑ龫¶ÈÓÖÓÐÌá¸ß¡£

ÔÚ½¨Á¢¹ãÒåÏà¶ÔÂÛʱ£¬°®ÒòË¹Ì¹ÔøÌá³öÈýÖÖ¼ìÑé:¹âÆ×ÏßµÄÒýÁ¦ºìÒÆ;ÄÚÐÐÐǹìµÀ½üÈÕµãµÄ½ø¶¯;ÒÔ¼°Ì«ÑôÒýÆðµÄ¹âÏ߯«ÕÛ¡£ÒýÁ¦ºìÒÆÊÂʵÉÏÖ»¼ìÑéÁ˵ÈЧԭÀí£¬¹âÏ߯«ÕۺͽüÈÕµã½ø¶¯Éæ¼°µÄÊÇÇò¶Ô³Æ¾²Ì¬ÒýÁ¦³¡£¬ÒÔ¼°ÆäÖйâÏß»òÐÐÐǵÄÔ˶¯¡£

½üÄêÀ´£¬ÓÖ½øÐÐÁËÂÓ¹ýÌ«ÑôµÄÀ×´ï»Ø²¨Ê±¼äÑӳٵļìÑ飬²¢×¼±¸½øÐÐÈÆµØ¹ìµÀÉÏÍÓÂÝÒǽø¶¯µÄʵÑé¡£

´ËÍ⣬¹ãÒåÏà¶ÔÂÛ¹ØÓÚÒýÁ¦²¨µÄÔ¤ÑÔ£¬Ïà¶ÔÂÛÌìÌåÎïÀíºÍÓîÖæÑ§¹ØÓÚÖÐ×ÓÐǵÄÔ¤ÑÔ£¬¹ØÓÚÓîÖæÅòÕ͵¼ÖºìÒÆµÄÔ¤ÑÔ£¬ÒÔ¼°¹ØÓÚ΢²¨±³¾°·øÉäµÄÔ¤ÑԵȵȶ¼·Ö±ðµÃµ½ÌìÎĹ۲âµÄÖ§³Ö»ò֤ʵ¡£ÕâЩ½«ÔÚÏÂÃæÏà¶ÔÂÛÌìÌåÎïÀíºÍÓîÖæÑ§²¿·Ö²ûÊö¡£

¶òó¾ÊµÑé

ÔÚÅ£¶ÙÀíÂÛÖУ¬Å£¶ÙµÚ¶þ¶¨ÂɵĹßÐÔÖÊÁ¿miͬÒýÁ¦¶¨ÂɵÄÒýÁ¦ÖÊÁ¿mgÊÇ·ñÏàµÈ£¬²¢Ã»Óб¾ÖʵÄÒâÒå¡£Èç¹ûÒ»ÎïÌåµÄmiÓëmg²»ÏàµÈ£¬ÄÇôÔÚÒýÁ¦×÷ÓÃÏ£¬ËüµÄ¼ÓËÙ¶Èg©Åͬµ±µØÒýÁ¦³£ÊýgÖ®¼ä¾ÍÓÐÏÂÃæµÄ¹ØÏµ

±ÈÖµmg/mi²»Í¬µÄÎïÌ壬½«Óв»Í¬µÄ¼ÓËÙ¶Èg©Å¡£

È»¶ø£¬×ÔÙ¤ÀûÂÔµÄʱ´úÆð£¬ÈËÃǾͷ¢ÏÖ£¬¶ÔÓÚ²»Í¬µÄÎïÌ壬Õâ¸ö±ÈÖµ¶¼ÊÇÒ»ÑùµÄ¡£C.»Ý¸ü˹¡¢Å£¶ÙµÈÈ˶¼½øÐйýÕâÀàʵÑé¡£1889Ä꣬¶ò󾾫ȷµØÖ¤Ã÷ÁË£¬¶ÔÓÚ¸÷ÖÖÎïÖÊ£¬±ÈÖµmg/miµÄ²î±ð²»´óÓÚ10-9£¨¼ûͼ£©¡£

ͼ

¶òó¾ÔÚÒ»ºá¸ËµÄÁ½¶Ë¸÷¹Òľ֯µÄAºÍ²¬ÖƵÄBÁ½¸öÖØÁ¿Ïà²î²»´óµÄÖØÎ¸ËµÄÖеãÐüÔÚһϸ½ðÊôË¿ÉÏ¡£Èç¹ûgÊǵØÇòÒýÁ¦³£Êý£¬ÊǵØÇò×ÔתÒýÆðµÄÀëÐļÓËٶȵĴ¹Ö±·ÖÁ¿£¬lAºÍlBÊÇÁ½¸öÖØÎïµÄÓÐЧ¸Ë±Û³¤£¬ÄÇôµ±Æ½ºâʱ£¬ÓÉÓÚA¡¢BµÄÖØÁ¿Ïà²î²»´ó£¬Òò¶øºá¸ËÂÔΪÇãбÒÔÂú×ã

ͬʱ£¬ÔÚ¶òó¾½øÐÐʵÑéµÄγ¶ÈÉÏ£¬µØÇò×ÔתÒýÆðµÄÀëÐļÓËÙ¶ÈÓÐÒ»¿É¹ÛµÄˮƽ·ÖÁ¿£¬»áʹµÃºá¸ËÊܵ½Ò»¸öˮƽת¾Ø

ÏûÈ¥lB£¬ÓÖÓÉÓÚԶСÓÚg¿ÉÒÔÂÔÈ¥£¬Òò¶øµÃµ½

ÕâÑù£¬Ö»Òª¶þÕßmi/mgµÄ±ÈÖµ²»Í¬£¬¾Í»áŤתÐü¹Òºá¸ËµÄϸ½ðÊôË¿¡£µ«ÊÇ£¬¶òó¾ÔÚ10-9µÄ¾«¶ÈÉÏûÓвâ³öÕâÖÖŤת¡£

20ÊÀ¼Í60Äê´ú£¬R.H.µÒ¿ËµÈÈ˸ĽøÁ˶òó¾ÊµÑ飬°Ñ¾«¶ÈÌá¸ßµ½10-11¡£70Äê´ú³õ£¬V.²¼À­½ð˹»ùµÈÈËÓְѾ«¶ÈÌá¸ßµ½Ô¼0.9¡Á10-12¡£

ÒýÁ¦ºìÒÆ

ÔÚ¹ãÒåÏà¶ÔÂÛÖУ¬¸ù¾ÝµÈЧԭÀí¾Í¿ÉÒÔÍÆ³ö£¬´¦ÓÚÒýÁ¦³¡ÖеÄʱÖӵįµÂÊ»òÔ­×Ó·øÉäµÄƵÂÊÒªÊܵ½ÒýÁ¦ÊƵÄÓ°Ïì¶øÏòºì¶ËÒÆ¶¯¡£Õâ¾ÍÊÇÒýÁ¦ºìÒÆ¡£Èç¹ûÔÚÔ¶ÀëÒýÁ¦Ô´µÄx1´¦¹Û²âÒýÁ¦Ô´¸½½üx2´¦ÏàÓ¦µÄƵÂÊ£¬ÔòºìÒÆÁ¿¦¤vºÍx1´¦µÄƵÂÊvÖ®±ÈÓ¦¸ÃͬÁ½´¦ÊƆê(x)µÄ²îÓÐÈçϹØÏµ

ÀûÓÃÊ·ÍßÎ÷¶È¹æÒ²¿ÉÒԵõ½Í¬ÑùµÄ½á¹û¡£

´ÓÌìÎĹ۲âÀ´²â¶¨ÒýÁ¦ºìÒÆµÄÒ»¸öÖ÷ÒªÀ§ÄÑ£¬ÊÇÈçºÎ°ÑÒýÁ¦ºìÒÆºÍÓÉÆäËûÒòËØÒýÆðµÄ¶àÆÕÀÕºìÒÆÇø·Ö¿ªÀ´¡£Ö±µ½20ÊÀ¼Í60Äê´ú³õ£¬¶ÔÌ«ÑôÒýÁ¦ºìÒÆ×îºÃµÄ¹Û²â½á¹ûÊÇÔ¤ÑÔÖµµÄ1.05¡À0.05±¶¡£

°×°«ÐÇÓÉÓÚÒýÁ¦³¡ºÜÇ¿£¬ÆäÒýÁ¦ºìÒÆ´óµÃ¶à¡£µ«ÈçºÎ¾«È·²â¶¨°×°«ÐÇÉϵÄÒýÁ¦ÊÆÓÖÓÐÀ§ÄÑ¡£Ö±µ½70Äê´ú³õ²ÅµÃµ½½ÏÂúÒâµÄ½á¹û¡£

60Äê´ú£¬R.V.ÅӵµÈÈËÀûÓÃÄÂ˹±¤¶ûЧӦ£¨¼ûÄÂ˹±¤¶ûÆ×ѧ£©ÔÚµØÃæ½øÐÐʵÑ飬²âÁ¿µØÇòÒýÁ¦³¡ÖеÄÒýÁ¦ºìÒÆ£¬µÃµ½ÁËÂúÒâµÄ½á¹û¡£1964ÄêµÃµ½µÄ½á¹ûÊÇÀíÂÛÖµµÄ0.999 ¡À0.0076±¶¡£ÔÚÔ¼ 1£¥µÄ¾«¶ÈÉϼìÑéÁ˵ÈЧԭÀí¹ØÓÚÒýÁ¦ºìÒÆµÄÔ¤ÑÔ¡£

ÐÐÐǽüÈÕµãµÄ½ø¶¯

ÔÚÊ·ÍßÎ÷¶È¹æÖУ¬¿¼ÂÇÈÆÖÐÐÄÖÊÁ¿M ¹«×ªµÄ¼ìÑéÁ£×ÓµÄÔ˶¯¡£ÖÐÐÄÖÊÁ¿Ê¹ËüÖÜΧµÄʱ¿Õ·¢Éú¡°ÍäÇú¡±£¬¼ìÑéÁ£×Óÿ¹«×ªÒ»ÖÜ£¬½üÐĵãµÄ½ø¶¯Á¿Îª

aÊǹìµÀµÄ°ë³¤Öᣬ¦ÅÊÇÆ«ÐÄÂÊ¡£

ÓÃÊ·ÍßÎ÷¶È¹æÀ´ÃèÊöÌ«ÑôÒýÁ¦³¡£¬°ÑÐÐÐǵ±×÷¼ìÑéÁ£×Ó£¬¾Í¿ÉËã³öÌ«ÑôϵÖÐÐÐÐǹìµÀÿ°ÙÄê½ø¶¯µÄÀíÂÛÖµ¡£±È½Ï±íµÄÀíÂÛÖµºÍ¹Û²âÖµ£¬¿ÉÒÔÃ÷È·¿´µ½£º¹ãÒåÏà¶ÔÂÛÔÚ½âÊÍÅ£¶ÙÀíÂÛËù²»ÄÜ˵Ã÷µÄÊ£Óà½ø¶¯·½Ã棬ÊÇÏ൱³É¹¦µÄ¡£

ͼ ¹âÏ߯«ÕÛ

ÔÚ¹ãÒåÏà¶ÔÂÛÖУ¬¹âÏß¾­¹ýÖÊÁ¿ÎªM µÄÒýÁ¦ÖÐÐĸ½½üʱ£¬½«»áÓÉÓÚ¿Õ¼äÍäÇú¶øÆ«ÏòÒýÁ¦ÖÐÐÄ¡£Æäƫת³Ì¶È±È½ö¿¼ÂǹâµÄÔ˶¯ÖÊÁ¿ÊÜÍòÓÐÒýÁ¦¶øÆ«×ªµÄ³Ì¶ÈÒª´ó¡£¹âÑØÁã²âµØÏßÔ˶¯£¬Òò´Ë¾ßÌ弯ËãʱÐèÒªÇó½âÊ·ÍßÎ÷¶È¹æÖеÄÁã²âµØÏß·½³Ì¡£¿ÉÒÔÖ¤Ã÷£¬Ô¶ÀëÖÐÐÄÖÊÁ¿MµÄ¹Û²ìÕßËù²âµÃµÄƫת½ÇӦΪ

ÆäÖÐr0ÊǹâÏß·¾¶Í¬ÖÊÁ¿ÖÐÐĵÄ×î¶Ì¾àÀë¡£

°®Òò˹̹ԤÑÔ£¬Èç¹ûÐǹâ²Á¹ýÌ«Ñô±ßÔµµ½´ïµØÇò£¬ÔòÌ«ÑôÒýÁ¦³¡ËùÔì³ÉµÄÐÇ¹âÆ«×ª½ÇΪ 1¡å.75¡£Õâ¸öÔ¤ÑÔÓÚ1919ÄêÈÕȫʳʱ±»A.S.°®¶¡¶ÙÂÊÁìµÄ¹Û²â¶ÓËù֤ʵ£¬Òò¶øºä¶¯ÊÀ½ç¡£ÒÔºó£¬Ã¿·êÈÕȫʳ¶¼½øÐÐÁ˹۲⡣µ«ÓÉÓÚÖÖÖÖ²»È·¶¨µÄÒòËØ£¬¹âѧ²âÁ¿¾«¶ÈµÄÌá¸ßÊܵ½ÁËÏÞÖÆ¡£1973Ä꣬¹âѧ²âÁ¿ËùµÃƫת½ÇͬÀíÂÛÖµÖ®±ÈΪ0.95¡À0.11¡£

60Äê´úÄ©£¬ÓÉÓÚÉäµçÌìÎÄѧµÄ·¢Õ¹£¬Ê¹ÈËÃÇÓпÉÄÜÓøßÓÚ¹âѧ¹Û²âµÄ¾«¶ÈÀ´²âÁ¿Ì«ÑôÒýÆðµÄÉäµçÐÅºÅµÄÆ«ÕÛ¡£ÕâÀà¹Û²âËùµÃƫת½ÇͬÀíÂÛÖµÖ®±ÈÔÚ1975ÄêÒÑ´ïµ½Ô¼1¡À0.01¡£

À×´ï»Ø²¨ÑÓ³Ù

I.ÏÄÆ¤ÂåÓÚ1964Ä꽨Òé²âÁ¿À×´ïÐźŴ«²¥µ½ÄÚÐÐÐÇÔÙ·´É仨µØÇòËùÐèµÄʱ¼ä£¬À´¼ìÑé¹ãÒåÏà¶ÔÂÛ¡£ËûΪ´Ë½øÐÐÁ˳¤ÆÚµÄ²âÁ¿¡£µ½70Äê´úÄ©ÆÚ£¬ÕâÀà²âÁ¿ËùµÃµÄÊý¾Ýͬ¹ãÒåÏà¶ÔÂÛÀíÂÛÖµ±È½Ï£¬Ïà²îÔ¼1£¥¡£

ÕâÀàʵÑéÒ²¿ÉÒÔÔÚµØÇòÒýÁ¦³¡ÖУ¬Í¨¹ý²âÁ¿ÈËÔìÎÀÐǵÄÀ×´ï»Ø²¨µÄʱ¼äÑÓ³ÙÀ´½øÐС£

Ïà¶ÔÂÛÌìÌåÎïÀí

¹ãÒåÏà¶ÔÂÛ´Óµ®ÉúÖ®ÈÕÆð£¬¾Í±»ÈÏΪ¿ÉÓÃÀ´½âÊÍÅ£¶ÙÒýÁ¦ÀíÂÛËù²»ÄܽâÊ͵ÄÌìÎÄÏÖÏó¡£µ«ÊÇ£¬Ò»°ãµÄÌìÌåºÍÌìÌåϵͳµÄÒýÁ¦ºÜÈõ£¬ÎÞÐ迼ÂÇÆäÏà¶ÔÂÛЧӦ£¬ËùÒÔÔÚ¹ãÒåÏà¶ÔÂÛ´´Á¢µÄ³õÆÚ£¬³ýÁËÌ«ÑôϵÖÐÓÐÊýµÄ¼¸¸öЧӦÒÔ¼°¶ÔÓîÖæÅòÕ͵ĴÖÂÔ¿¼²ìÖ®Í⣬¹ãÒåÏà¶ÔÂÛ¶ÔÌìÌåÎïÀíµÄÓ°Ïì²¢²»ÏÔÖø¡£µ½ÁË60Äê´ú£¬ÓÉÓÚÂö³åÐÇ¡¢ÖÂÃÜ XÉäÏßÔ´¡¢ÀàÐÇÌåµÈÐÂÆæÌìÏóÒÔ¼°Î¢²¨±³¾°·øÉäµÄ·¢ÏÖ£¬Çé¿öÓÐÁ˸ı䡣ÕâЩ·¢ÏÖÒ»·½ÃæÖ¤ÊµÁËÏà¶ÔÂÛÌìÌåÎïÀíµÄÔ¤ÑÔ£¬ÁíÒ»·½ÃæÔò´ó´ó´Ì¼¤ÁËÏà¶ÔÂÛÌìÌåÎïÀíµÄ·¢Õ¹¡£

Ïà¶ÔÂÛÌìÌåÎïÀí´óÌåÉϰüÀ¨ºóÅ£¶ÙÌìÌåÁ¦Ñ§¡¢ÒýÁ¦²¨ÎïÀí¡¢ÖÂÃÜÌìÌåÎïÀí¡¢ºÚ¶´ÎïÀíÒÔ¼°Ïà¶ÔÂÛÓîÖæÑ§µÈÄÚÈÝ¡£

ºóÅ£¶ÙÌìÌåÁ¦Ñ§

ºóÅ£¶Ù½üËÆÐ§Ó¦µÄÌìÌåÁ¦Ñ§£¬Ö÷ÒªÊÊÓÃÓÚ»ºÂýÔ˶¯µÄÌìÌåϵͳ¡£ÐÐÐǹìµÀµÄ½ø¶¯¡¢×Ôתͬ¹ìµÀÔ˶¯µÄñîºÏµÈÖØÒªµÄ¹ãÒåÏà¶ÔÂÛЧӦ£¬¶¼ÊôÓÚºóÅ£¶ÙÌìÌåÁ¦Ñ§µÄ·¶³ë¡£

ÒýÁ¦²¨ÎïÀí

°®Òò˹̹ÒýÁ¦³¡·½³ÌÊÇË«ÇúÐÍÆ«Î¢·Ö·½³Ì£¬ËüÒâζ×ÅÒýÁ¦³¡µÄÈŶ¯½«ÒÔÒ»¸öÓÐÏÞËÙ¶È´«²¥£¬ÕâÖÖÈŶ¯¾ÍÊÇÒÔ¹âËÙ´«²¥µÄÒýÁ¦²¨¡£

ÔçÔÚ1916Äê°®Òò˹̹¾Í¸ù¾ÝÈõ³¡½üËÆÔ¤ÑÔÁËÈõÒýÁ¦²¨µÄ´æÔÚ¡£µ«×î³õ¹ØÓÚÒýÁ¦²¨µÄÀíÂÛÊÇÍ¬×ø±êµÄѡȡÓйصģ¬ÒÔÖÂÒýÁ¦²¨µ½µ×ÊÇÒýÁ¦³¡¹ÌÓеÄÐÔÖÊ£¬»¹ÊÇijÖÖÐé¼ÙµÄ×ø±êЧӦ£¬ÒÔ¼°ÒýÁ¦²¨ÊÇ·ñ´Ó·¢ÉäϵͳÖдø×ßÄÜÁ¿µÈÎÊÌⳤʱ¼äûÓгÎÇå¡£Ö±µ½50Äê´úÄ©£¬Í¬×ø±êѡȡÎ޹صÄÒýÁ¦·øÉäÀíÂ۲ſªÊ¼Ðγɡ£ËæºóÇó³öÁ˰®ÒòË¹Ì¹Õæ¿Õ³¡·½³ÌµÄÒ»ÖÖÒÔ¹âËÙ´«²¥µÄÆ½Ãæ²¨Ç°¡¢Æ½ÐÐÉäÏßµÄÑϸñµÄ²¨¶¯½â£¬²¢Ö¤Ã÷Á˼ìÑéÁ£×ÓÔÚÒýÁ¦²¨×÷ÓÃÏ»á²úÉúÔ˶¯£¬´Ó¶ø±íÃ÷ÁËÒýÁ¦²¨Ð¯´ø×ÅÄÜÁ¿¡£²»¹ý£¬ÓÉÓÚ°®Òò˹̹·½³ÌÊÇ·ÇÏßÐԵģ¬ÓйØÒýÁ¦²¨µÄһЩÀíÂÛÎÊÌâÈÔÓдý¼ÌÐø³ÎÇå¡£

´ÓÎïÀíͼÏñÉÏ¿´£¬Èõ³¡½üËÆÏµķøÉä½â±Ï¾¹ÊÇÖµµÃ×¢ÒâµÄ¡£Ò»·½Ã棬Èκοɹ۲⵽µÄÒýÁ¦·øÉäµÄÇ¿¶È¶à°ë¶¼·Ç³£µÍ£»ÁíÒ»·½Ã棬Èõ³¡½üËÆÏµÄÒýÁ¦·øÉäÀíÂÛÓпÉÄܹµÍ¨¹ãÒåÏà¶ÔÂÛͬ΢¹ÛÎïÀíѧ֮¼äµÄºè¹µ£¬¸³ÓèÒýÁ¦Ñ§¸ÅÄîÒÔÈ·Çеĺ¬Òå¡£

¹ãÒåÏà¶ÔÂÛµÄÈõ³¡·øÉä½â¾ßÓÐÈçϵÄÌØµã£ºÊÇÔÚÕæ¿ÕÖÐÒÔ¹âËÙ´«²¥µÄºá²¨£¬Ã»ÓÐż¼«·øÉ䣬ֻÓÐËļ«»ò¸ü¸ß¼¶µÄ·øÉ䣬Я´øÓÐÄÜÁ¿È»¶ø´©Í¸ÄÜÁ¦¼«Ç¿µÈµÈ¡£

ÏÔÈ»£¬ÓÉÓÚÒýÁ¦²¨ÓëÎïÖÊ×÷Óü«ÎªÎ¢Èõ£¬¶ÔËüµÄ̽²â¾Í¼«ÎªÀ§ÄÑ¡£70Äê´ú³õ£¬ÓÐÈËÐû³ÆÌ½²âµ½Á˲»ÄÜÅųýÊÇÀ´×ÔÌ«¿ÕµÄÒýÁ¦²¨Ðźš£µ«ÊÇ£¬ÒÔºóûÓÐÈËÄܹ»Öظ´µÃµ½ÕâÒ»½á¹û¡£70Äê´úÄ©£¬J.H.Ì©ÀÕµÈÈ˹«²¼Á˶ÔÉäµçÂö³åË«ÐÇ PSR 1913+16¹«×ªÖÜÆÚ±ä¶ÌµÄ³¤ÆÚ¹Û²âµÄ½á¹û¡£Ì©ÀÕµÈÈËÈÏΪÕâÖÖЧӦÊÇÓÉÓÚÒýÁ¦·øÉä²»¶Ï´ø×ßÄÜÁ¿ËùÒýÆðµÄ¡£ËûÃǵĽá¹ûÔÚ20£¥µÄÎó²î·¶Î§ÄÚͬÒýÁ¦·øÉäµÄÀíÂÛ¼ÆËãÒ»Ö¡£

ÖÂÃÜÌìÌåÎïÀí

ÔÚºãÐÇÑÝ»¯µÄÍíÆÚ£¬ºËÄÜÏûºÄ¾¡Ö®ºó£¬Èç¹ûÈÔÓÐÎïÀíЧӦ×ãÒÔͬ×ÔÒýÁ¦Ï࿹ºâ£¬Ôò»áÐγɰװ«ÐÇ£¬»òÌ®ËõΪÖÐ×ÓÐǵÈÖÂÃÜÌìÌå¡£·ñÔò£¬ÒýÁ¦Ì®Ëõ½«Ò»Ö±½øÐÐÏÂÈ¥£¬Ðγɺڶ´£¬²¢ÖÕÖ¹ÓÚÆæµã¡£³ýÁ˰װ«ÐÇÍ⣬ÖÂÃÜÌìÌå¶¼¾ßÓм«Ç¿µÄÒýÁ¦³¡£¬±ØÐëÓùãÒåÏà¶ÔÂÛÀ´ÃèÊö¡£

30Äê´ú³õ£¬S.Ç®µÂÀ­Èû¿¨ºÍ§­.§¥.ÀʵÀ·Ö±ðÑо¿ÁËÒÀ¿¿¼ò²¢µç×ÓÆøÌåµÄѹǿÀ´¿¹ºâÒýÁ¦ÒÔ±£³Öƽºâ£¬²¢Ðγɰװ«ÐǵÄÌõ¼þ¡£¿ÉÒÔÖ¤Ã÷´æÔÚÒ»¸öÁÙ½çÖÊÁ¿£¬µ±ÐÇÌåÖÊÁ¿µÍÓÚÁÙ½çֵʱ£¬Æ½ºâÊÇÎȶ¨µÄ£¬·ñÔò²»´æÔÚÎȶ¨µÄƽºâ£¬½«·¢ÉúÒýÁ¦Ì®Ëõ¡£Õâ¸öÐγɰװ«ÐǵÄÖÊÁ¿ÉÏÏÞ³ÆÎªÇ®µÂÀ­Èû¿¨¼«ÏÞ£¬Ô¼ÎªÌ«ÑôÖÊÁ¿M ‹±µÄ1.5±¶¡£Èç¹û¿¼Âǵ½¹ãÒåÏà¶ÔÂ۵ķÇÏßÐÔЧӦ£¬Õâ¸ö¼«ÏÞÖµ»¹Òª½µµÍ¡£

ÔÚ·¢ÉúÒýÁ¦Ì®ËõµÄÌìÌåÖУ¬ÓÉÓÚÐÇÌåÃܶȲ»¶ÏÔö´ó£¬Ì®ËõºË»á½øÈë¼ò²¢ÖÐ×ÓÆø×´Ì¬¡£Õâʱ£¬¼ò²¢ÖÐ×ÓÆøÌåµÄѹǿÓпÉÄÜͬ×ÔÒýÁ¦´ïµ½Æ½ºâ£¬¾ÍÐγÉÖÐ×ÓÐÇ¡£30Äê´ú³õÆÚÖÐ×Ó±»·¢Ïֺ󲻾ã¬ÀʵÀ¾ÍÔ¤ÑÔ¿ÉÄÜ´æÔÚÖÐ×ÓÐÇ¡£30Äê´úÄ©£¬J.R.°Â±¾º£Ä¬µÈÈËÀûÓùãÒåÏà¶ÔÂÛÌÖÂÛÁËÐγÉÇò¶Ô³ÆÎȶ¨ÖÐ×ÓÐǵÄÖÊÁ¿ÉÏÏÞ£¬ÏÖÔÚ³ÆÎª°Â±¾º£Ä¬¼«ÏÞ£¬Ô¼Îª2¡«3M ‹±¡£°Â±¾º£Ä¬µ±Ê±¾ÍÖ¸³ö£¬Èç¹ûÐÇÌåÖÊÁ¿´óÓÚÕâ¸öÉÏÏÞ£¬ÒýÁ¦Ì®Ëõ½«Ò»Ö±½øÐÐÏÂÈ¥£¬Ö±µ½ÊÕËõΪһ¸öÌå»ýΪÁã¡¢ÃܶÈÎÞÇî´óµÄÆæµã¡£

ÕâÒ»½áÂÛÒ»Ö±Êܵ½°üÀ¨°®Òò˹̹ÔÚÄÚµÄÐí¶àÎïÀíѧ¼ÒµÄ»³ÒÉ¡£Ö±µ½1963ÄêM.Ê©ÃÜÌØ·¢ÏÖÀàÐÇÌ壬1967ÄêA.ÐÝÒÁʲµÈÈË·¢ÏÖÂö³åÐÇ£¬Âö³åÐÇÓÖ±»È·ÈÏΪÊÇ¿ìËÙÐýת£¬´Å³¡¼«Ç¿µÄÖÐ×ÓÐÇÖ®ºó£¬°Â±¾º£Ä¬µÄ¹¤×÷²ÅÊܵ½ÖØÊÓ£¬²¢Íƶ¯Á˶ÔÇ¿ÒýÁ¦³¡ºÍÒýÁ¦Ì®ËõµÄÉîÈëÑо¿¡£

70Äê´úÒÔÀ´£¬ÓÐÈ˸ù¾ÝÁ£×ÓÎïÀíµÄһЩÀíÂÛ£¬ÓÖÌá³ö¿ÉÄÜ´æÔÚ·´³£ÖÐ×ÓÐÇ¡¢¿ä¿Ë£¨²ã×Ó£©Ðǵȵȣ¬ÒÔ¼°ÏàÓ¦µÄÐÂµÄÆ½ºâ¼«ÏÞ¡£Õâ·½ÃæµÄÑо¿Ò²Óдý¼ÌÐøÉîÈë¡£

ºÚ¶´ÎïÀí

ÔçÔÚ18ÊÀ¼ÍÄ©£¬P.S.M.À­ÆÕÀ­Ë¹¸ù¾ÝÅ£¶ÙÒýÁ¦ÀíÂÛ¾ÍÔøÔ¤ÑÔ£¬Ö»ÒªÌìÌåÖÊÁ¿×ã¹»´ó£¬ÆäÒýÁ¦¾ÍÓпÉÄÜÇ¿µ½Á¬×ÔÉí·¢³öµÄ¹â¶¼ÎÞ·¨ÌÓÒݵ½Ô¶´¦µÄ³Ì¶È£¬ÒÔÖ³ÉΪ¿´²»¼ûµÄÌìÌå¡£ÏÖÔÚ£¬³ÆÕâÀàÌìÌåΪºÚ¶´¡£ÏÔÈ»£¬ÓÉÓÚºÚ¶´µÄÒýÁ¦¼«Ç¿£¬Ö»ÓÐÓùãÒåÏà¶ÔÂÛ²ÅÄÜÈ·ÇеØÃèÊö¡£

ºÚ¶´¾ßÓзâ±ÕµÄ±ß½ç£¬¹âÏßºÍÆäËûÈκÎÎïÖʶ¼²»ÄÜÔ½¹ýÕâ¸ö±ß½çÌøµ½ÍâÃæ¡£Õâ¸ö±ß½ç¾ÍÊǺڶ´µÄÊӽ硣¸ù¾Ý¹ãÒåÏà¶ÔÂÛ£¬ÔÚÇò¶Ô³ÆµÄÒýÁ¦Ì®Ëõ¹ý³ÌÖУ¬Ö»ÒªÌ®ËõºËµÄÖÊÁ¿×ã¹»´ó£¬¾ÍÒ»¶¨Ì®ËõΪºÚ¶´¡£¶øÒ»µ©Ðγɺڶ´£¬¾Í»áһֱ̮Ëõµ½Ææµã¡£

20ÊÀ¼Í60Äê´úÒÔÀ´£¬ÅíÂÞÈûµÈÈËÒýÈëÁËÕûÌå΢·Ö¼¸ºÎµÄ·½·¨£¬ÔÚÀíÂÛÉÏ´ó´óÍÆ½øÁËÓйغڶ´ºÍÒýÁ¦Ì®ËõµÄÑо¿¡£60Äê´úÄ©£¬ÅíÂÞÈûÌá³öÁË¡°ÓîÖæÐÅÏ¢¼ì²é¼ÙÉ衱£¬ÈÏÎªÆæµãÖ»ÄܳöÏÖÔÚºÚ¶´Ö®ÄÚ£¬»òÕß˵£¬ÒýÁ¦Ì®Ëõ²»¿ÉÄÜÐγÉÂãÆæµã£¬ºÚ¶´ÍâÃæµÄÈË¿´²»¼û¡£Õâ¸ö²ÂÏëËäÈ»Óгä·ÖµÄ¸ù¾Ý£¬È»¶ø£¬ÖÁ½ñ²¢Ã»Óеõ½ÑϸñµÄÖ¤Ã÷¡£

60Äê´úÄ©µ½70Äê´ú³õ£¬»ô½ðµÈÈËÖ¤Ã÷Á˺ڶ´µÄ¾­µäÀíÂÛµÄһϵÁÐÖØÒª¶¨Àí£¬ÀýÈ磺

£¨1£©Ì®ËõºËÐγɵĺڶ´ÎÈ̬ȫ²¿Óɿ˶û-ŦÂü¶È¹æÃèÊö£¬½öͬÖÊÁ¿M ¡¢½Ç¶¯Á¿JºÍµçºÉQÓйأ¬¶øÍ¬Ì®ËõºËÔ­À´µÄÆäËûÐÔÖÊÎ޹ء£

£¨2£©ºÚ¶´ÊÓ½çµÄÃæ»ýAÓÀ²»ËæÊ±¼äµÄÁ÷ÊŶø¼õС¡£

£¨3£©ÎÈ̬ºÚ¶´ÊÓ½çÉϵÄÒýÁ¦¼ÓËÙ¶Èk ´¦´¦ÏàµÈ¡£

£¨4£©²»ÄÜͨ¹ýÓÐÏÞ²½Öè°Ñk ½µµ½Áã¡£

£¨5£©ºÚ¶´ÖÊÁ¿M µÄ±ä»¯£¬×ܰéËæ×źڶ´Ãæ»ýA¡¢½Ç¶¯Á¿J ÒÔ¼°µç´ÅÄÜÁ¿µÄ±ä»¯£¬²¢¿É±íÎªÊØºã¶¨ÂɵÄÐÎʽ¡£

ÉÏÊöµÚÒ»¸ö¶¨Àí¾ÍÊÇÓÐÃûµÄ¡°ºÚ¶´ÎÞë·¢¶¨Àí¡±¡£ºóÃæËĸö¶¨ÀíͬÈÈÁ¦Ñ§µÄ¶¨Âɷdz£ÏàËÆ¡£Èç¹û°Ñk ¶¨ÒåΪºÚ¶´µÄζȣ¬¶¨ÒåΪºÚ¶´µÄìØ£¬ÄÇôËüÃǾͳÉΪºÚ¶´ÈÈÁ¦Ñ§µÄËÄÌõ¶¨ÂÉ¡£

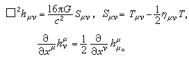
È»¶ø£¬¸ù¾ÝÈÈÁ¦Ñ§µÄÒ»°ãÔ­Àí£¬ºÚ¶´¼ÈÈ»ÊÇÓÐÏ޵ķÇÁãζȵÄÈÈÌ壬¾ÍÓ¦¸ÃÏòÍâ·øÉäÄÜÁ¿¡£µ«ÊÇ£¬¾­µäÒâÒåϵĺڶ´È´Ö»ÄÜÎüÊÕ·øÉ䣬¶ø²»ÄÜÏòÍâ·¢ÉäÈκζ«Î÷¡£Õâ¶ÔÓÚ´ÓÈÈÁ¦Ñ§½Ç¶ÈÀ´ÃèÊöºÚ¶´ÏÔÈ»ÊÇÒ»¸öÔ­ÔòÉϵÄÀ§ÄÑ¡£1974Ä꣬»ô½ðÒýÈëÁ˺ڶ´ÒýÁ¦³¡ÖеÄÁ¿×ÓЧӦ£¬´Ó¶ø¿Ë·þÁËÕâ¸öÀ§ÄÑ¡£»ô½ðÖ¸³ö£¬ÓÉÓÚÕæ¿ÕµÄÁ¿×ÓÕÇÂäºÍÎïÖʵÄÁ¿×ÓËíµÀЧӦ£¬ºÚ¶´ÍêÈ«¿ÉÒÔÏñÒ»¸öºÚÌåÒ»Ñù·¢ÉäÁ£×ӺͷøÉ䣬ÉõÖÁ¿ÉÒÔµ¼Ö¼¤Áҵı¬Õ¨¡£

¿¼ÂÇÁ˺ڶ´µÄÁ¿×ÓЧӦ֮ºó£¬¾­µäºÚ¶´µÄһЩÐÔÖʾÍÒªÓÐÏàÓ¦µÄ¸Ä±ä¡£ÀýÈ磬ÓÉÓÚºÚ¶´ÓÐÈÈ·øÉ䣬ÊÓ½çÃæ»ý¾Í»á¼õÉÙ£¬Òò¶ø¾­µäµÄÃæ»ý²»¼õ¶¨Àí£¬¼´¶ÔºÚ¶´ÈÈÁ¦Ñ§µÚ¶þ¶¨ÂɾͲ»ÔÙ³ÉÁ¢¡£µ«ÊÇ£¬ÔÚÕâÀï¿ÉÒÔ°ÑÓîÖæÖÐËùÓкڶ´µÄìØºÍºÚ¶´ÍâËùÓÐÎïÖÊìØµÄ×ܺͶ¨ÒåΪÓîÖæµÄ¹ãÒåìØ²¢½¨Á¢°üÀ¨ºÚ¶´ÔÚÄڵĹãÒåÈÈÁ¦Ñ§µÚ¶þ¶¨ÂÉ£¬Õâ¾ÍÊÇ˵£¬ÓîÖæµÄ¹ãÒåìØ½«ÓÀÔ¶²»»áËæÊ±¼äµÄÁ÷ÊŶø¼õÉÙ¡£

ºÚ¶´ÀíÂÛËäȻȡµÃÁ˲»ÉÙ½øÕ¹£¬µ«ÊÇ£¬ÈÔÈ»ÓкܶàÎÊÌâÓдý½øÒ»²½½â¾ö¡£ÀýÈç£¬Ç°ÃæÌáµ½µÄ¡°ÓîÖæÐÅÏ¢¼ì²é¼ÙÉ衱µÄ»ù´¡¾ÍÓдýÓÚ½øÒ»²½µÄ¿¼²é¡£³ý´ËÖ®Í⣬ºÚ¶´ìصı¾ÖÊÊÇʲô£¬ÈçºÎÒý½øºÚ¶´ÒýÁ¦³¡±¾ÉíµÄÁ¿×ÓЧӦµÈµÈ¶¼ÊDZØÐë½øÒ»²½Ñо¿µÄ¡£

ѰÕÒºÚ¶´£¬Êǵ±Ç°Ïà¶ÔÂÛÌìÌåÎïÀíµÄÖØÒª¿ÎÌâÖ®Ò»¡£Ä¿Ç°£¬×îÓпÉÄܱ»Ö¤ÈÏΪÊǺڶ´µÄÊÇÌì¶ì×ùX-1¡£´ËÍ⣬ÔÚÍÖÔ²ÐÇϵM87µÄºËÐIJ¿·Ö¿ÉÄÜ´æÔÚ108¡«109M ‹±µÄ´óÖÊÁ¿ºÚ¶´¡£Ò²ÓÐÈËÓúڶ´Ä£ÐÍÀ´½âÊÍÀàÐÇÌ壬»òÕßÌ«¿ÕÖеÄһЩ±¬·¢ÏÖÏ󣬵«»¹Ã»Óж¨ÂÛ¡£

Ïà¶ÔÂÛÓîÖæÑ§

ÓîÖæÊÇÒ»¸öÑÝ»¯×ŵÄÕûÌ壬ÕâÊÇ20ÊÀ¼ÍÎïÀíѧºÍÌìÎÄѧµÄ¼«ÎªÖØ´óµÄ·¢ÏÖ¡£ÔçÔÚ20Äê´ú³õÆÚ·¢ÏÖµÄÐÇϵºìÒÆ¼°Æä¹æÂÉÐÔ£¬ÒÔºóÂ½Ðø·¢ÏÖµÄÐÇÏµÔªËØ·á¶È¡¢ÐÎ×´ºÍÄêÁäµÈÒ»°ãÌØÕ÷£¬ÌرðÊÇ60Äê´ú·¢Ïֵĺ̶ܸ߳ȸ÷ÏòͬÐÔµÄ2.7K΢²¨±³¾°·øÉ䶼˵Ã÷ÁËÕâÒ»µã¡£¹ãÒåÏà¶ÔÂÛµÄÓîÖæÀíÂÛ£¬Ö÷ÒªÊÇ´ó±¬Õ¨ÓîÖæÂÛ£¬½âÊÍ»òÔ¤ÑÔÁËÕâÐ©ÖØÒª·¢ÏÖ¡£ÕâÊÇÏà¶ÔÂÛÓîÖæÑ§£¬Ò²ÊǹãÒåÏà¶ÔÂÛµÄÖØÒª³É¾Í¡£

Ïà¶ÔÂÛÓîÖæÑ§¿ÉÒÔ´óÖ·ÖΪ¶ÔÓîÖæµÄÔ˶¯Ñ§ÃèÊöºÍ¶¯Á¦Ñ§Ä£ÐÍÁ½¸ö²¿·Ö¡£Ç°ÕßÒÔÓîÖæÑ§Ô­ÀíΪ»ù´¡£¬ÀûÓø¥ÀïµÂÂü£­ÂÞ²®ËÎÖ¶ú¿Ë¶È¹æÀ´·ÖÎö¡¢¸ÅÀ¨ÓîÖæÑ§³ß¶ÈÉϵÄÔ˶¯Ñ§¹Û²ìÊÂʵ£»ºóÕßÔòÒª¸ù¾ÝÓîÖæÑÝ»¯¸÷¸ö²»Í¬½×¶ÎµÄÎïÖÊ״̬£¬Çó½â°®Òò˹̹³¡·½³Ì£¬²¢½øÒ»²½ËµÃ÷¸÷ÖÖÓйØÓîÖæÑÝ»¯µÄ¹æÂÉÐÔ¡£

ÓîÖæÑ§Ô­Àí

´Ó¸ç°×Äáʱ´ú¿ªÊ¼µ½½ñÌ죬ÈÏΪÓîÖæÃ»ÓÐÌØÊâÓÅÔ½µÄÖÐÐĵÄ˼ÏëÖð½¥ÔÚÏÖ´ú¿ÆÑ§ÖÐÕ¼¾ÝÁËÖ÷µ¼µØÎ»¡£ÓîÖæÖÐÈκÎÒ»¸ö²¿·ÖÔÚ±¾ÖÊÉÏÊǵȼ۵ģ¬Èκη½Ïò¶¼ÊÇÆ½È¨µÄ£¬Õâ¸öÓйØÓîÖæ¿Õ¼äºÍÎïÖÊ·Ö²¼¾ùÔÈÇÒ¸÷ÏòͬÐԵļÙÉè¾ÍÊÇÓîÖæÑ§Ô­ÀíµÄ»ù±¾ÄÚÈÝ¡£ÎªÁ˼ÍÄî·ñ¶¨µØÇòÖÐÐÄ˵µÄN.¸ç°×ÄᣬÕâ¸öÔ­ÀíÒ²³ÆÎª¸ç°×ÄáÔ­Àí¡£

µ±È»£¬Õâ¸öÔ­Àí²¢²»ÊÊÓÃÓÚÓîÖæµÄϸ½Ú¡£ÌìÎĹ۲â±íÃ÷£¬ÌìÌå»òÌìÌåϵͳµÄ³ÉÍŽṹ´óÌåÔÚ108¡«109¹âÄêµÄ³ß¶ÈÉÏÖÕÖ¹£¬¶øÏÖÔÚÌìÎĹ۲âÒÑ´ïµ½3¡Á1010¹âÄê¡£ÕâÑù£¬ÎÒÃǾͿÉÒÔ°ÑÓîÖæÑ§Ô­Àíµ±×÷ÓîÖæ´ó³ß¶È½á¹¹µÄƽ¾ùЧӦ£¬¶ø°Ñ³ÉÍŽṹµ±×÷¾ùÔȱ³¾°ÉϵÄÕÇÂä¡£

1917Äê°®Òò˹̹ÔÚËûµÄ¾²Ì¬ÓîֿģÐÍÖУ¬Ê×´ÎÌá³öÓîÖæ¿Õ¼ä¾ùÔȸ÷ÏòͬÐԵļٶ¨¡£ÒÔºó£¬ÓÉÓÚ¸¥ÀïµÂÂü¡¢ÂÞ²®Ëï¡¢ÎÖ¶ú¿ËÔÚ20¡«30Äê´úµÄ¹¤×÷½øÒ»²½ÏµÍ³µØÁ˽âÁËÕâ¸öÔ­Àí¶ÔÓîÖæ¶È¹æµÄÏÞÖÆ£¬¼´Âú×ãÓîÖæÑ§Ô­ÀíµÄÓîÖæ¶È¹æÖ»ÄÜÊǸ¥ÀïµÂÂü£­ÂÞ²®ËÎÖ¶ú¿Ë¶È¹æ¡£Ëü°üº¬Ò»¸ö±íʾÓîÖæ¿Õ¼ä¼¸ºÎÐÔÖʵIJÎÁ¿k£¬»¹°üº¬ÃèÊöÓîÖæÑÝ»¯µÄ±ê¶ÈÒò×ÓR(t)¡£

ÓîÖæÑ§Ô­Àí°üº¬×żÙ˵£¬ÕâÊǺÁÎÞÒÉÒåµÄ¡£Èç¹û¹Û²âÖ¤Ã÷£¬Õâ¸öÔ­Àí±ØÐëÐÞ¸ÄÉõÖÁ·ÅÆú£¬Äǽ«Óм«´óµÄÒâÒå¡£Õâ¸öÔ­Àí¶ÔÓîÖæµÄÐðÊö¸ø³öÁËÒ»¸ö¼òµ¥µÄ¿ò¼Ü£¬´ó¶àÊýѧÕß³ÐÈÏÕâ¸öÔ­Àí£¬²¢°ÑËüµ±×÷Ò»ÖÖ¹¤×÷¼Ù˵¡£

ÓÐÈËÈÏΪ£¬ÓîÖæ²»½öÔÚ¿Õ¼äÉÏÊǾùÔȸ÷ÏòͬÐԵ쬶øÇÒÔÚÈκÎʱÆÚÒ²Ó¦¸ÃÊÇÒ»ÑùµÄ¡£ËûÃdzÆÕâ¸öÔ­ÀíΪÍêÃÀµÄÓîÖæÑ§Ô­Àí¡£ÁíÒ»ÖÖ¹ÛµãÈÏΪ£¬ÓîÖæÎïÖʵĽײã×´³ÉÍŽṹ²¢Ã»ÓÐÖÕÖ¹ÔÚij¸ö³ß¶ÈÉÏ£¬Òò¶ø¸ù±¾²»´æÔÚÎïÖÊ·Ö²¼µÄ¾ùÔȸ÷ÏòͬÐÔ¡£²»¹ý£¬´ÓÕâЩ¹Ûµã³ö·¢¶ø½¨Á¢µÄÓîֿģÐͶ¼´æÔÚ×ÅһЩԭÔòÀ§ÄÑ£¬²¢Ã»Óеõ½¹«ÈÏ¡£

ÓîÖæµÄÔ˶¯Ñ§ÃèÊö

ÓîÖæÑ§Ô­ÀíºÍ¸¥ÀïµÂÂü£­ÂÞ²®ËÎÖ¶ú¿Ë¶È¹æÎªÓîÖæÑ§ÌṩÁËÃèÊö¿ò¼Ü¡£ÀûÓÃÕâ¸ö¶È¹æ£¬¿ÉÒÔ¼ÆËã³öºìÒÆÍ¬±ê¶ÈÒò×ӵĹØÏµ¡¢ºìÒÆÍ¬¾àÀëµÄ¹ØÏµµÈµÈÖØÒªµÄÔ˶¯Ñ§¹ØÏµ¡£µ«ÊÇ£¬ÕâЩ¹ØÏµÈçºÎÖ±½Óͬ¹Û²â½øÐбȽϣ¬ÔòÉæ¼°Ï൱¸´ÔӵĺͲ»È·¶¨µÄÒòËØ¡£

E.P.¹þ²ªÓÚ1929Äê¾Ýµ±Ê±·¢ÏÖµÄΪÊý²»¶àµÄÕý³£ÐÇϵ£¬Ìá³öÁËÐÇϵÊÓÏòÍËÐÐËÙ¶Èvͬ¾àÀëD´óÖ³ÉÏßÐÔ¹ØÏµµÄ¾­Ñ鹿ÂÉ

v£½H0D£¬

֤ʵÁ˵ÂÎ÷ÌØÄ£ÐÍͬ¸¥ÀïµÂÂüÄ£Ð͹ØÓÚÓîÖæÅòÕ͵ÄÔ¤ÑÔ¡£ÏÖÔÚ£¬³ÆÕâ¸ö¶¨ÂÉΪ¹þ²ª¶¨ÂÉ¡£H0Ϊ¹þ²ª³£Êý£Ûµ¥Î»Îªkm/(s¡¤Mpc)£Ý¡£

È»¶ø£¬¹þ²ª¶¨ÂÉÖеÄËٶȺ;àÀë¶¼²»ÊÇÖ±½Ó¿É¹Û²âÁ¿¡£¸ü±¾ÖʵØËµ£¬¹þ²ª¶¨ÂÉÃèÊöµÄÊǺìÒÆZ(µ¥Î»Îªkm/s)ͬÊÓÐǵÈmÕâÁ½¸ö¿É¹Û²âÁ¿Ö®¼äµÄ¹ØÏµ¡£ÀûÓÃÓîÖæÑ§¶È¹æ£¬¶Ô²»Ì«´óµÄÓîÖæÊ±¼ä³ß¶È£¬¿ÉÑéÖ¤ÈçϹ«Ê½

£¬

MÊǾø¶ÔÐǵȣ¬q0ÊǼõËÙÒò×Ó¡£H0ºÍq0ÒÀÀµÓÚ¹Û²âʱ¿Ìt0µÄ±ê¶ÈÒò×Ó¼°Æä±ä»¯

²â¶¨H0ºÍq0Êǹ۲âÓîÖæÑ§×îÖØÒªµÄ¿ÎÌâÖ®Ò»¡£ÔÚÓйؾø¶ÔÐǵȵļٶ¨Ï£¬¸ù¾ÝÒ»¶¨ÀàÐÍÕý³£ÐÇϵµÄmºÍZµÄÊý¾Ý¿ÉÒÔ¶¨³ö H0ºÍq0µÄÖµ¡£Ä¿Ç°£¬½ÏΪ¹«ÈϵÄÊý¾ÝΪH0¡Ö100km/(s¡¤Mpc)£¬q0¡Ö1µ«¶Ôq0ÖµÈÔÓн϶àÕùÒé¡£

ÈËÃÇÒªÀûÓÃm-Z¹ØÏµ¡¢¶àÆÕÀÕЧӦ£¬²¢ÒªÔÚÓйؾàÀë²â¶¨µÄһϵÁмٶ¨Ö®Ï£¬²ÅÄܵõ½¹þ²ª¹ØÏµ¡£¹þ²ª³£ÊýµÄÊýÖµÒѾ­ÀúÁ˶à´ÎÐÞ¶©£¬µ«ÈËÃÇÈÔÈÏΪ£¬¹þ²ª¶¨ÂɶÔÓÚΪÊýÖÚ¶àµÄÕý³£ÐÇϵÊdzÉÁ¢µÄ¡£²¢ÇÒ£¬»¹¾­³£°ÑËüÍâÍÆÖÁ½Ï´óºìÒÆÁ¿µÄÌìÌ壬ÒԱ궨¾àÀë¡£

²»¹ý£¬¶ÔÓÚºìÒÆÁ¿½Ï´óµÄÌØÊâÐÇϵ£¬ÌرðÊǶÔÓÚÀàÐÇÌ壬¹þ²ª¶¨Âɲ¢Ã»Óеõ½¹«ÈÏ¡£Ò»¸öÖØÒªµÄÔ­ÒòÊǶÔÓÚÕâЩÌìÌå»òÌìÌåϵͳ£¬ÑÝ»¯Ð§Ó¦µÄÓ°ÏìÔ½À´Ô½Í»³ö¡£ÈçºÎ¿¼ÂÇÑÝ»¯Ð§Ó¦ÖÁ½ñÈÔÊÇÒ»¸öÄÑÌâ¡£

³ýÁ˺ìÒÆ£­ÊÓÐǵȹØÏµÍ⣬ºìÒÆ£­¼ÆÊý¹ØÏµÒ²¿ÉÒÔÌṩÓйØR(t)µÄÐÅÏ¢£¬µ«Ò²´æÔÚÈçºÎ¿¼ÂÇÑÝ»¯Ð§Ó¦µÄÀ§ÄÑ¡£

±ê׼ģÐÍ©¤©¤´ó±¬Õ¨ÓîÖæÂÛ

ÔÚÓîÖæÑ§Ô­ÀíµÄ»ù´¡ÉÏ£¬Êʵ±¿¼ÂÇÓîÖæÎïÖÊÔÚÑÝ»¯¸÷½×¶ÎµÄÎï̬£¬Çó½â°®Òò˹̹·½³Ì¡£¾Í¿ÉÒԵõ½±ê¶ÈÒò×ÓËæÊ±¼äµÄÑÝ»¯ÒÔ¼° kֵͬÓîÖæÎïÖÊ״̬µÄ¹ØÏµ£¬´Ó¶ø½¨Á¢ÆðÃèÊöÓîÖæÑÝ»¯µÄ¶¯Á¦Ñ§Ä£ÐÍ¡£

ÓîÖæÅòÕ͵ĸÅÄîºÜ×ÔÈ»µØ»áµ¼ÖÂÓîÖæÔçÆÚ´æÔÚ¸ßÃܶȡ¢¸ßζÈ״̬µÄÍÆ²â¡£40Äê´úÖÐÆÚ£¬G.٤Ī·òÔøÌá³ö£¬ÓîÖæÔçÆÚÎïÖʵÄÃܶȺÍζȿÉÄܸߵ½×ãÒÔ½øÐпìËÙÈȺ˷´Ó¦µÄµØ²½£¬²¢ÇÒ´æÔÚ×Å·øÉäΪÖ÷µÄʱÆÚ¡£ÕâÖÖÈÏΪÓîÖæÔ´ÓÚÒ»¸öԭʼ»ðÇòµÄ±¬Õ¨£¬²¢¾­ÀúÁË´ÓÈȵ½Àä¡¢´ÓÃܵ½Ï¡¡¢´Ó¡°·øÉ䡱£¨Ö¸ÎÞ¾²Ö¹ÖÊÁ¿µÄÁ£×Ó£¬Èç¹â×Ó£©ÎªÖ÷¹ý¶Éµ½¡°ÊµÎ£¨Ö¸Óо²Ö¹ÖÊÁ¿µÄÁ£×Ó£¬ÈçÖÊ×Ó¡¢ÖÐ×Ó£©ÎªÖ÷µÄÑÝ»¯Ê·µÄÄ£ÐÍ£¬¾Í³ÆÎª´ó±¬Õ¨ÓîֿģÐÍ¡£Õâ¸öÄ£ÐÍÊÇÏà¶ÔÂÛÓîÖæÑ§µÄ±ê׼ģÐÍ¡£

40Äê´úÄ©£¬Ù¤Äª·òµÈÈËÔ¤ÑÔÆðÔ´ÓÚ´ó±¬Õ¨µÄ·øÉäÀäÈ´µ½ÏÖÔÚÈÔÓÐÔ¼ 25KºÚÌåÆ×¡£1964ÄêµÒ¿ËµÈÈ˶ÀÁ¢µØ½øÐÐÁ˼ÆË㣬²¢Ô¤ÑÔÕâÖÖ±³¾°·øÉäÖÁ½ñÔ¼ÓÐÈÈÁ¦Ñ§Î¶ȼ¸¶È¡£µÚ¶þÄ꣬A.A.ÅíÆëÑÇ˹ºÍR.W.Íþ¶úËï¾Í·¢ÏÖÁËÕâÖÖ΢²¨±³¾°·øÉ䣬֤ʵÁË´ó±¬Õ¨ÓîÖæÂÛµÄÔ¤ÑÔ¡£¸ù¾Ý´ó±¬Õ¨Ä£ÐͽøÐк˺ϳɼÆË㣬ҲÄܹ»½ÏºÃµØËµÃ÷ÓîÖæÖеĺ¤ºÍ뮵ķá¶È¡£½üÄêÀ´£¬Á£×ÓÎïÀíµÄµçÈõͳһÀíÂÛ¡¢Á¿×ÓÉ«¶¯Á¦Ñ§ºÍ´óͳһÀíÂÛÌá³öºó²»¾Ã£¬¾ÍÂ½ÐøºÍ´ó±¬Õ¨ÀíÂÛ½áºÏÆðÀ´£¬¶ÔÓÚÓîÖæÖÐÖÊ×ÓÊýͬ¹â×ÓÊýÖ®±È¡¢ÖØÇá×Ó£¨¼ûÇá×Ó£©µÄÖÊÁ¿¡¢ÖÐ΢×ÓÖÖÀàµÄÏÞÖÆµÈµÈ×÷³öÁ˲»ÉÙÓÐÒâÒåµÄ½âÊͺÍÔ¤ÑÔ¡£×ÜÖ®£¬´ó±¬Õ¨Ä£ÐÍȷʵÄܹ»ÏµÍ³µØÔ¤ÑÔ²¢ËµÃ÷ÓîÖæ×÷Ϊһ¸öÑÝ»¯×ŵÄÕûÌåµÄÐí¶àÖØÒªµÄÌØÕ÷¡£

µ«ÊÇ£¬´ó±¬Õ¨ÓîÖæÂÛÒ²´æÔÚ×ÅһЩÎÊÌâÓдý½øÒ»²½½â¾ö¡£ÀýÈçʧ×ÙÖÊÁ¿µÄÎÊÌ⣬ÐÇϵÈçºÎÐγɵÄÎÊÌ⣬Õý¡¢·´ÎïÖʲ»¶Ô³ÆµÄÆðÔ´£¬¸÷ÏòͬÐÔµÄÆðÔ´£¬ÆæµãÈçºÎ±ÜÃâµÄÎÊÌ⣬µÈµÈ¡£

°´ÕÕ¹ãÒåÏà¶ÔÂÛ£¬ÓîÖæ¿Õ¼äÊÇ·â±ÕµÄ(k=1)£¬»¹ÊÇ¿ª·ÅµÄ£¨k=0»ò£­1£©£¬Ö÷Ҫȡ¾öÓÚÏÖÔÚµÄÄÜÁ¿ÃܶȦÑ0´óÓÚ»òСÓÚÁÙ½çÖµ ¦Ñc(10-29g/cm3Á¿¼¶)¡£Óë´ËÏàÓ¦£¬¼õËÙÒò×Óq0Ò²Òª´óÓÚ»òСÓÚÁÙ½çÖµqc=¡£Èç¹ûÈÏΪĿǰµÄ¦Ñ0Ö÷ÒªÓÉÖÊ×ÓºÍÖÐ×ÓÌṩ£¬ÄÇô£¬ÓÉÌìÎĹ۲â×ÊÁÏËùÈ·¶¨µÄ¦Ñ0ԶСÓÚ¦Ñc¡£È»¶ø£¬q0È´´óÓÚqc£¬Õâ¾Í´øÀ´ÁËì¶Ü¡£Ò»°ãÈÏΪ£¬ÕâÊÇÓÉÓÚÏ൱һ²¿·ÖÖÊÁ¿Ã»Óб»¹Û²âµ½ËùÔì³ÉµÄ¡£Õâ¾ÍÊÇËùνʧ×ÙÖÊÁ¿µÄÎÊÌâ¡£½â¾öÕâ¸öÎÊÌâµÄÒ»¸ö¿ÉÄÜÐÔÊÇÖÐ΢×Ó¾ßÓм¸Ê®µç×Ó·üµÄÖÊÁ¿£¬Í¬Ê±ÓîÖæ¿Õ¼ä´æÔÚ׿«¸ßµÄÖÐ΢×Ó±³¾°¡£È»¶ø£¬ÕâÖÖ¿ÉÄÜÐÔ»¹Ô¶Ã»Óеõ½¹«ÈÏ¡£ÒýÈëÓîÖæÑ§³£ÊýÒ²ÓпÉÄܽâ¾öÕâ¸öÎÊÌâ¡£

Á£×ÓÎïÀíºÍÓîÖæÂ۵ĽáºÏ£¬·Ç¸÷ÏòͬÐÔÄ£Ð͵ÄÑо¿£¬¿¼ÂÇÎïÖʵÄÁ¿×ÓЧӦÒÔ½âÊ͸÷ÏòͬÐÔµÄÆðÔ´£¬²¢»Ø±Ü´ó±¬Õ¨ÆðÔ´ÓÚÆæµãµÄÀ§ÄѵÈÁìÓòµÄÑо¿£¬¶¼ÕýÔÚ»îÔ¾µØ½øÐС£

ÆäËûÓîֿģÐÍ

³ýÁË´ó±¬Õ¨Ä£ÐÍÒÔÍ⣬»¹ÓÐÆäËûһЩÏà¶ÔÂÛÐÔÓîֿģÐÍ¡£ÀýÈç°üº¬ÓîÖæ³£ÊýµÄÀÕÃ·ÌØÄ£ÐÍ¡¢»ù±¾ÍêÃÀÓîÖæÑ§Ô­ÀíµÄÎȺã̬ģÐÍ¡¢µÈ¼¶Ê½ÓîֿģÐÍ¡¢Õý·´ÎïÖÊÄ£ÐÍ¡¢¾ßÓпɱäÒýÁ¦³£ÊýµÄÄ£Ð͵ȵȡ£

ÀÕÃ·ÌØÄ£Ð͵ÄÖ÷ÒªÌØÕ÷ͬ´ó±¬Õ¨Ä£ÐÍûÓÐÖʵÄÇø±ð¡£¶øÇÒ£¬ÓÉÓÚÒý½øÁËÓîÖæÑ§³£Êý£¬»¹ÓпÉÄܿ˷þ´ó±¬Õ¨Ä£Ð͵ÄһЩÀ§ÄÑ£¬ÌرðÊÇÓÐ¹ØÆæµãµÄÀ§ÄÑ¡£µ«ÊÇ£¬ÕâЩÎÊÌ⻹Óдý½øÒ»²½µÄÑо¿¡£

ÎȺã̬ģÐÍÊÇ1948ÄêÓÉH.°îµÏ¡¢T.¸ê¶ûµÂºÍF.»ôÒÁ¶úÌá³öÀ´µÄ¡£Õâ¸ö»ùÓÚÍêÃÀÓîÖæÑ§Ô­ÀíµÄÄ£ÐÍÈÏΪÓîÖæ´¦ÓÚ¡°ÎȺã״̬¡±¡£ÕâÑù£¬µ±ÐÇϵ±Ë´ËÍËÐÐʱ£¬¾Í±ØÐëÓÐеÄÎïÖʲ»¶Ï´´Éú£¬ÒÔ±£³ÖÓîÖæµÄƽ¾ùÃܶÈΪ³£Êý¡£Õâ¸öÄ£ÐͿɵóö¹©È·ÇмìÑéµÄÔ¤ÑÔ¡£µ«ÊÇ£¬ÄÑÒÔ˵Ã÷ÓйØÉäµçÔ´¼ÆÊýÔªËØ·á¶ÈµÈ¹Û²âÊÂʵ£¬ÌرðÊÇÄÑÒÔ˵Ã÷΢²¨±³¾°·øÉäµÄÆðÔ´£¬Òò´ËûÓеõ½¹«ÈÏ¡£

µÈ¼¶Ê½ÓîֿģÐ͵ÄÖ÷ÒªÒÀ¾ÝÊÇÌìÌåϵͳ½×²ã×´µÄ³ÉÍŽṹ¡£µ«ÊÇ£¬¶ÔÓîÖæÆäËû´ó³ß¶ÈÉϵÄÌØÕ÷È´ÄÑÒÔ˵Ã÷¡£½üÄêÀ´£¬ÓÐÈ˳¢ÊÔÔÚÏà¶ÔÂÛ»ù´¡ÉϽ¨Á¢µÈ¼¶Ê½Ä£ÐÍ¡£µ«Ô¶²»ÈçÔÚÓîÖæÑ§Ô­Àí»ù´¡ÉϽ¨Á¢µÄÄ£Ðͳɹ¦¡£

Õý¡¢·´ÎïÖÊÓîֿģÐÍÊÇO.¿ËÀ³ÒòµÈÈËÌá³öµÄ¡£Ö÷ÒªµÄÄ¿µÄÊÇΪÁ˽â¾öÁ£×ÓÎïÀíÖÐÕý·´Á£×ӶԳƶøÓîÖæÖÐÕý·´Á£×ӳɷֲ»¶Ô³ÆµÄì¶Ü¡£È»¶ø£¬Õâ¸öÀíÂÛÖÁ½ñÈԺܲ»ÍêÉÆ£¬Ò»Ð©Óоö¶¨ÐÔÒâÒåµÄÔ¤ÑÔûÓеõ½Ö¤Êµ£¬¶Ô±³¾°·øÉäµÈÖØÒª¹Û²âÊÂʵÓÖÄÑÒÔ˵Ã÷£¬Òò´ËͬÑùûÓеõ½¹«ÈÏ¡£

ÒýÁ¦³£Êý¿É±äµÄ˼Ï룬×îÔçÊÇÓÉP.A.M.µÒÀ®¿Ë¸ù¾ÝËûµÄ´óÊý¶¨ÂÉÌá³öÀ´µÄ¡£ºóÀ´£¬E.P.Ô¼µ©¡¢C.²¼ÀÊ˹ºÍµÒ¿ËÏȺó½¨Á¢ÁËÒýÁ¦³£Êý¿É±äµÄÒýÁ¦ÀíÂÛ¡£ÔÚÕâÖÖÒýÁ¦ÀíÂÛÖб仯µÄÒýÁ¦³£ÊýÓÉÒ»¸ö±êÁ¿³¡´úÌæ¡£ÔÚ´Ë»ù´¡ÉÏ£¬ÒÀ¾ÝÓîÖæÑ§Ô­Àí¾Í¿ÉÒÔ½¨Á¢¾ßÓпɱäÒýÁ¦³£ÊýµÄÄ£ÐÍ£¬¿ÉÒԵóöͬ±ê׼ģÐÍÏàÓ¦µÄÔ¤ÑÔ¡£µ«ÊÇ£¬ÒýÁ¦³£ÊýÊÇ·ñ±ä»¯£¬ÔÚ¹Û²âÉÏԶûÓп϶¨µÄ½áÂÛ£¬¿ÉÒԿ϶¨µÄÊÇ£¬¼´Ê¹Óб仯Ҳ¼«Æä΢С¡£Òò¶øÕâÀàÓîֿģÐÍÒâÒå²»´ó¡£

½üÄêÀ´£¬ÎªÁ˿˷þ¹ãÒåÏà¶ÔÂÛµÄһЩԭÔòÀ§ÄÑ£¬ÔÚ¹ãÒåÏà¶ÔÂ۵Ļù´¡ÉÏÒýÈë×ÔÐýºÍÄÓÂÊ£¬½¨Á¢ÒýÁ¦¹æ·¶ÀíÂÛµÄÑо¿Ò²ÕýÔÚ»îÔ¾ÆðÀ´¡£ÓÐÈËÖ¸³ö£¬ÔÚÕâÀàÀíÂ۵Ļù´¡ÉϽ¨Á¢ÓîֿģÐÍÓпÉÄܱÜÃâÆæÐÔ£¬ÕâÊÇÖµµÃ×¢ÒâµÄ¡£µ«ÊÇ£¬ÕâÀàÀíÂÛ»¹´æÔںܶàÎÊÌâÓдýÉîÈëÑо¿¡£

×ݹÛÏà¶ÔÂÛÓîÖæÑ§µÄ·¢Õ¹£¬ÒÔÓîÖæÑ§Ô­ÀíΪ»ù´¡µÄ±ê׼ģÐͽ«ÓîÖæ×÷Ϊһ¸öÑÝ»¯µÄÕûÌ壬ÔÚÒ»¶¨³Ì¶ÈÉÏ×÷³öÁ˽ϺõÄÃè»æ£¬µ«Ô¶Ã»ÓдﵽÍêÃÀµÄµØ²½¡£×÷Ϊ±ê׼ģÐ͵͝Á¦Ñ§»ù´¡µÄ¹ãÒåÏà¶ÔÂÛ»¹ÓÐһЩºÜÀ§ÄѵÄÎÊÌâÓдý½â¾ö¡£

²Î¿¼ÊéÄ¿
  1. A. Einstein£¬The Meaning of Relativity£¬3rd ed.£¬Princeton Univ. Press£¬ Princeton£¬ 1950.
  2. S.Weinberg£¬GRavitation and Cosmology£¬John Wiley£¬New York£¬ 1972.
  3. S.W. Hawking and G.F.R. Ellis£¬ The Large ScaleStructure of Space-time£¬ Cambridge Univ. Press£¬ London£¬1973.
  4. S. W. Hawking and W. Israel£¬ ed.£¬ GeneRal Relativity£¬ An Einstein Centenary Survey. Cambridge Univ.Press£¬London£¬ 1979.