[拼音]:fuhe he fanfuhe xitong
[外文]:coincidence and anticoincidence systems
核物理中有许多同时发生或在短时间间隔内发生并有内在因果联系的相关事件称为符合事件。测量符合事件的电子学系统称为符合系统。相反的,有些测量要排除符合事件,这种系统称为反符合系统。这些系统主要由一组射线探测器并接到符合电路或反符合电路的输入端组成。两个并列的探测器所组成的两重符合,更多的则分别组成三重、四重等等多重符合系统。
符合和反符合电路都有确定的分辨时间τ,若探测器分别记录一组时间间隔小于 τ的符合事件,符合电路便可输出一个符合脉冲,而反符合电路则只在相反的情况下才能有脉冲输出。
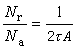
探测器记录到的在时间上符合的粒子,并不一定是相关的,相关事件的符合称为真符合,非相关事件的符合称为偶然符合。例如符合事件是原子核的级联衰变,则符合系统记录的真符合计数率Nr与偶然符合计数率Na的比值存在下列简单关系:
,
式中A为放射源的活度。据此,在A确定的情况下可选择适当的分辨时间以获得足够的
值。
对于整个符合系统,它的时间分辨本领由探测器、拣出电路和符合电路确定,这是因为拣出电路从探测器拣出的时间信号存在时散和时颤(见核电子学),当它的大小接近符合电路的分辨时间 τ时,真符合信号可能丢失,而在保持符合计数不显著丢失的条件下能获得的最小分辨时间定义为符合系统的时间分辨本领,因此要获得好的时间分辨本领必须选择快时间响应的射线探测器和信号拣出方法。
符合和反符合系统常常是组合核物理实验装置的重要组成部分,它可以把脉冲幅度分析和时间分析系统联结起来组成双参量或多参量分析系统。