Ô­×ÓºË

ä¯ÀÀ

Ô­×ӵĺËÐIJ¿·Ö£¬¼ò³Æ¡°ºË¡±¡£Ô­×ÓµÄÖÊÁ¿¼¸ºõÈ«²¿¼¯ÖÐÔÚÔ­×ÓºËÉÏ¡£¶ÔÔ­×Ӻ˵ÄÐÔÖÊ¡¢½á¹¹ºÍ±ä»¯¹æÂɵÄÑо¿ÊÇÏÖ´úÎïÀíѧµÄÒ»¸öÖØÒªÄÚÈÝ¡£Ô­×Ӻ˵ÄÐÔÖÊÒòÆäËù´¦µÄ״̬ÓÐËù²»Í¬¡£ÏÂÃæ×ÅÖØÐðÊöÔ­×Ӻ˴¦ÓÚ»ù̬ʱµÄÖ÷ÒªÊôÐÔ¡£

Ô­×Ӻ˵Ä×é³É

Ŀǰһ°ãÈÏΪԭ×ÓºËÓÉÖÊ×ÓºÍÖÐ×Ó×é³É£¬ÖÊ×ÓºÍÖÐ×Ó×ܳÆÎªºË×Ó¡£Í¨³££¬Ô­×Ӻ˵ĺË×ÓÊýÒÔA±íʾ£¬ÖÊ×ÓÊýÒÔZ±íʾ£¬ÖÐ×ÓÊýÒÔN±íʾ£¬A£½Z+N¡£

ÔÚÔ­×ÓºËÎïÀíѧÖУ¬Ô­×ÓºËÓñíʾ£¬XÊÇÔªËØµÄÃû³Æ¡£ÀýÈ磬ÇâºË¼ÇΪ£¬ë®ºË¼ÇΪ£¬º¤ºË¼ÇΪµÈµÈ¡£ÓÐʱҲÓøü¼òµ¥µÄ±ê¼Ç·½·¨£¬Èç»òAX¡£ZÓëN ¶¼ÏàͬµÄÔ­×Ӻ˳ÆÎªÄ³ÖÖºËËØ£»ZÏàͬN²»ÏàͬµÄÔ­×Ӻ˳ÆÎªÍ¬Î»ËØ£»N ÏàͬZ ²»Í¬µÄÔ­×Ӻ˳ÆÎªÍ¬ÖÐ×ÓËØ£»AÏàͬ¶øN¼°Z²»ÏàͬµÄÔ­×Ӻ˳ÆÎªÍ¬Á¿ÒìÎ»ËØ¡£

AÎªÆæÊýµÄºË³ÆÎªÆæAºË£¬ÆæAºËÓÖ¿É·ÖÎªÆæÖÐ×ÓºËÓëÆæÖÊ×Ӻˡ£AΪżÊýµÄºË¿É·ÖΪżżºËÓëÆæÆæºË¡£Æù½ñËùÖª£¬Ö»ÓÐÈçµÈÉÙÊý¼¸¸öÆæÆæºËÊÇÎȶ¨µÄ£¬ÆäËûµÄÆæÆæºË¶¼ÊÇ·ÅÉäÐԺˡ£

Ô­×Ӻ˵ÄÖÊÁ¿ºÍ½áºÏÄÜ

Ô­×Ӻ˵ÄÖÊÁ¿²»ÊÇÖîºË×ÓÖÊÁ¿µÄºÍ£¬»¹Í¬ËüÃÇÖ®¼äµÄ½áºÏÄÜÓйء£

Ô­×Ӻ˵ÄÖÊÁ¿

ÈËÃÇʵ¼ÊÉϲâÁ¿µÄÊÇÔ­×ÓÖÊÁ¿£¬¹æ¶¨ÒÔ×ÔÈ»½çÖÐ̼µÄ·á¶È×î¸ßµÄÍ¬Î»ËØ12CÖÊÁ¿µÄΪԭ×ÓÖÊÁ¿µ¥Î»£¬²¢ÒÔu±ê¼Ç¡£1u=1.660565¡Á10-27kg¡£ÆäËûÔ­×ÓµÄÖÊÁ¿×ÜÊǽӽüÓÚÕâ¸öµ¥Î»µÄÕûÊý±¶Êý£¬Èç

ÖÐ×ÓµÄÖÊÁ¿£½1.008665u£¬

ÇâÔ­×ÓµÄÖÊÁ¿£½1.007825u£¬

ÌúÔ­×ÓµÄÖÊÁ¿£½55.934937u£¬

ÓËÔ­×ÓµÄÖÊÁ¿£½238.050816u¡£

Ô­×Ӻ˵ÄÖÊÁ¿Ó¦ÎªÔ­×ÓÖÊÁ¿¼õÈ¥Ô­×ÓÖÐÈ«²¿µç×ÓµÄÖÊÁ¿£¨Ô¼ÎªºËµÄÖÊÁ¿µÄ¼¸Ç§·ÖÖ®Ò»£©ÒÔ¼°Ô­×ÓÖеç×ӵĽáºÏÄÜ£¨×ÔÓɵç×ÓºÍÔ­×Ӻ˽áºÏ³ÉÔ­×ÓʱÊͷųöµÄÄÜÁ¿£¬Ô¼ÎªÔ­×ÓÖÊÁ¿µÄ¼¸Ç§Íò·ÖÖ®Ò»£©£¬ÔÚºËÎïÀíµÄÐí¶à¹«Ê½Öеç×ÓÖÊÁ¿Ï໥µÖÏû£¬ºËÖÊÁ¿¶¼¿ÉÓÃÔ­×ÓÖÊÁ¿´úÌæ¡£

ÖÊÁ¿¿÷ËðºÍºË½áºÏÄÜ

ʵÑé²âµÃ£¬Ô­×ÓµÄÖÊÁ¿×ÜÊÇСÓÚ×é³ÉËüµÄ¸÷¸ö×ÔÓɺË×Ӻ͹ìµÀµç×ÓÖÊÁ¿µÄ×ܺ͡£ÀýÈçë®Ô­×Ó¿É·ÖΪһ¸öÖÐ×ÓºÍÒ»¸öÇâÔ­×Ó£¬µ«ËüÃǵÄÖÊÁ¿ºÍΪ

m£½mn+mH£½1.008665u+1.007825u£½2.016490u£¬

ºÍʵÑé²âµÃµÄë®Ô­×ÓÖÊÁ¿mD=2.014102u²»ÏàµÈ¡£¶þÕßÏà²î0.002388u¡£ÕâºÍÖÊ×Ó¡¢ÖÐ×Ó×é³É뮺Ëʱ·Å³öÄÜÁ¿Óйء£Õâ¸öÄÜÁ¿µÄÊýÖµµÈÓÚ°Ñ뮺˲ð³ÉÖÊ×ÓºÍÖÐ×ÓËù±ØÐ뻨·ÑµÄ×îСÄÜÁ¿¡£ÀýÈçÒªÓÃÄÜÁ¿´óÓÚ2.224MeVµÄ¦Ã¹â×Óͬ뮺˷´Ó¦£¬²ÅÄÜʹ뮷ÖÀ롣ͨ³£°ÑÕâ¸ö×îСÄÜÁ¿½Ð½áºÏÄÜ£¬ÓÃA±ê¼Ç¡£AÓëÉÏÃæÌáµ½µÄÖÊÁ¿²î(¼´´¦ÓÚ×ÔÓÉ״̬µÄÇâÔ­×ÓÓëÖÐ×ÓµÄ×ÜÖÊÁ¿ºÍë®Ô­×ÓµÄÖÊÁ¿²î ¦¤m)µÄ¹ØÏµ·ûºÏÏà¶ÔÂÛµÄÖÊÄܹØÏµÊ½

E£½(¦¤m)§ã2¡£ÕâÀï §ãÊǹâËÙ¡£¿ÉµÃ³öÒ»¸öÔ­×ÓÖÊÁ¿µ¥Î»(¦¤m£½1u)Ï൱ÓÚ 931.50MeV¡£ÓÚÊÇ£¬(m-mD)§ã2£½0.002388¡Á931.50£½2.224MeV£¬Ò²¾ÍÊÇ˵£¬ÖÐ×ÓºÍÖÊ×Ó½áºÏ³É뮺ËʱÊÍ·ÅÁË2.224MeVµÄÄÜÁ¿£¬Ï൱ÓÚ¼õÉÙÁË0.002388uµÄÖÊÁ¿¡£

ÍÆ¹ãµ½Ò»°ãºËËØ£¬ËüµÄºËÓÉZ¸öÖÊ×Ó¡¢A-Z¸öÖÐ×Ó×é³É£¬ºËÖÊÁ¿ÎªmX£¬Ôò£¬Õâ¸öÖµ½ÐÖÊÁ¿¿÷Ë𡣰Ѻ˵Ä×ܽáºÏÄܼÇΪA£¬Ôò

¡£

ºË×ӵį½¾ù½áºÏÄÜ

ºËµÄ×ܽáºÏÄÜA±»ÖÊÁ¿ÊýA³ý£¬³ÆÎª¸ÃºËÿ¸öºË×ӵį½¾ù½áºÏÄÜ£¬Óæűíʾ£¬¦Å£½A/A¡£ºË×ÓÆ½¾ù½áºÏÄܦÅͬÖÊÁ¿ÊýAµÄ¹ØÏµÈçͼ1Ëùʾ¡£±í1ÁгöÁËһЩºËµÄAºÍ¦ÅµÄÖµ¡£

ͼ1 ±í1

ÓÉͼ1ºÍ±í1¿´³öÌìÈ»ÔªËØµÄƽ¾ù½áºÏÄÜ ¦ÅÓÐÈçÏÂÌØµã¡£

£¨1£©ÖÊÁ¿ÊýÔÚ30ÒÔϵÄÇáºËµÄƽ¾ù½áºÏÄÜËæ AÖµÔö¼ÓÓÐÖÜÆÚÐԱ仯£¬ÔÚ ´¦´ïµ½¼«´óÖµ£¬ÔÚºË×ÓÊýΪµÄ±¶Êýʱ£¬ºËµÄ½á¹¹±È½ÏÎȶ¨¡£×ܵÄÇ÷ÊÆÊÇÇáºËµÄƽ¾ù½áºÏÄÜËæ AµÄÔö¼Ó¶øÔö¼Ó£¬ÌرðÊÇÓÉÁ½¸ö½áºÏ³É£¬»á·Å³ö´óÁ¿µÄÄÜÁ¿¡£ÕâÊÇÀûÓú˾۱ä»ñµÃºËÄܵÄÒÀ¾Ý¡£

£¨2£©ÖеÈÖÊÁ¿Êý£¨AΪ40¡«120£©µÄÄÇЩºËµÄƽ¾ù½áºÏÄܽüËÆÏàͬ£¬ÊýÖµÒ²´ó£¬Ô¼ÔÚ8.6MeV×óÓÒ£¬ºËÒ»°ã±È½ÏÎȶ¨¡£ÖÊÁ¿ÊýA¸ü´óʱ£¬ºË×ӵį½¾ù½áºÏÄÜÖð½¥Ï½µ£¬Èç238UµÄƽ¾ù½áºÏÄÜΪ7.5MeV¡£¿É¼û£¬ÖеÈÖÊÁ¿µÄºË½áºÏµÃ±È½Ï½ô£¬ºÜÖØµÄºË(A£¾200)½áºÏµÃ±È½ÏËÉ¡£Ò»¸öÖØºË·ÖÁѳÉÁ½¸öÖеÈÖÊÁ¿µÄºËʱ£¬Æ½¾ù½áºÏÄÜÓÉС±ä´ó£¬ÓкËÄÜÊͷųöÀ´£¬ÕâÊÇĿǰ»ñµÃºËÄܵÄÖØÒªÍ¾¾¶¡£

£¨3£©ÖÊÁ¿ÊýÔÚ30ÒÔÉϵÄÔ­×ÓºËÖеĺË×ÓÆ½¾ù½áºÏÄܱ仯²»´ó£¬Ô­×Ӻ˵ĽáºÏÄÜA²î²»¶àͬÖÊÁ¿ÊýA³ÉÕý±È£¬ÕâÏÔʾÁ˺ËÁ¦µÄ±¥ºÍÐÔ¡£

Ô­×Ӻ˵ĴóС

Ô­×ÓÖеĵç×ÓÓëÔ­×Ӻ˵ÄÏ໥×÷ÓÃÊÇ¿âÂØÁ¦£¬ËüÊdz¤³ÌÁ¦£¬ËùÒÔËæ×ŶԺ˵ľàÀëµÄÔö¼Ó£¬µç×Ó·Ö²¼ÃܶÈÖð½¥¼õС£¬Ô­×ÓûÓÐÃ÷È·µÄ±ß½ç²ã¡£ºÍµç×Ó²»Í¬£¬ºË×Ó¼äÏ໥×÷ÓÃÊǺËÁ¦£¬ÊǶ̳ÌÁ¦£¬Òò´Ë£¬ºËÓбȽÏÃ÷È·µÄ±ß½ç²ã£¬ÏÔʾԭ×ÓºËÓÐÒ»¶¨µÄ´óС¡£

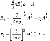
Ñо¿Ô­×Ӻ˴óСµÄ×îÖ±½ÓµÄ·½·¨£¬ÊÇÓøßÄܵç×ÓÉ¢Éä²â¶¨ºËÄÚÖÊ×ÓÊý·Ö²¼£¨¼´ÖÊ×ÓÊýÃܶȣ©¦Ñz£¨r£©£¬Í¼2¸ø³öÁ˶Լ¸¸öÇòÐκËʵ¼Ê²â¶¨µÄ¦Ñz(r)¡£´ÓͼÖпÉÒÔ¿´³ö£ºÔں˵ÄÄÚ²¿£¬ÃܶÈÓÐһЩÕÇÂ䣬µ«¿É½üËÆµØ¿´³É³£Êý£»ÔÚ¾à±ß½ç´óÔ¼2fmµÄ·¶Î§ÄÚ£¬Ñ¸ËÙϽµµ½½Ó½üÁãµÄÖµ¡£ºËÄÚµÄÖÐ×ÓÊý·Ö²¼(¼´ÖÐ×ÓÊýÃܶÈ)¦ÑN(r) ²»¿ÉÄÜÓõç×ÓÉ¢Éä²â³ö¡£¸ù¾ÝÆäËûһЩʵÑéµÄ·ÖÎö£¬¿ÉÒÔÍÆ²âºËµÄÖÐ×ÓÊýÓëÖÊ×ÓÊý·Ö²¼µÄ¾ù·½¸ù°ë¾¶Ö®²î´ó¸ÅСÓÚ0.02fm£¬Òò´Ë¿ÉÒÔÈÏΪ¦ÑNÓë¦ÑzµÄ·Ö²¼»ù±¾ÏàËÆ¡£

ͼ2

ΪÁËʹÓ÷½±ã£¬¿ÉºöÂÔÃÖÉ¢µÄÔ­×Ӻ˵ı߽ç²ã£¬ÉõÖÁºöÂÔÐα䣬½üËÆµØ°ÑÔ­×Ӻ˿´³ÉÃܶȾùÔÈ£¬°ë¾¶ÎªR0µÄÇò£¬R0³ÆÎªºËµçºÉ·Ö²¼°ë¾¶¡£È¡ºËÄÚ²¿Æ½¾ùºË×ÓÊýÃܶÈΪ¦Ñ£¬R0±íʾΪ

ÓÐʱÈËÃǸÐÐËȤµÄ²»ÊǺËÎïÖʵķֲ¼£¬¶øÊǺËÁ¦µÄ×÷Ó÷¶Î§£¬ÀýÈçÈËÃÇÔÚÑо¿¿ìÖÐ×Ó±»ºËÉ¢Éä¡¢ÖØÀë×Ӻ˷´Ó¦(¼ûÖØÀë×ÓºËÎïÀí)»òαË¥±äʱ£¬±íʾºËÁ¦×÷Óð뾶µÄÒ²¿ÉÒÔ½üËÆµØÐ´³É£¬Ô¼Îª1.3¡«1.4fm(¸ù¾ÝÑо¿ÎÊÌâµÄ²»Í¬¶øÂÔÓвîÒì)¡£

Ô­×Ӻ˵Ä×ÔÐýºÍÔ­×Ӻ˵ĴžØ

ͨ³£³ÆÒ»¸öÁ£×ÓµÄ×ÔÐýΪI£¬¾Í±íÃ÷Ëü¾ßÓÐÄÚÙ÷½Ç¶¯Á¿I‹t£¬‹tΪÆÕÀʿ˳£ÊýhÓë1/2¦ÐµÄ»ý¡£ÀýÈç˵µç×ÓµÄ×ÔÐýΪ1/2£¬¾ÍÊÇ˵ËüµÄÄÚÙ÷½Ç¶¯Á¿Îª‹t/2¡£×ÔÐýÊÇÁ£×ÓµÄÒ»ÖÖÊôÐÔ£¬ºÍËüµÄ¹ìµÀÔ˶¯Î޹ء£Ô­×ÓºËËäÈ»ÊÇÓÉÖÐ×ÓºÍÖÊ×Ó×é³ÉµÄ¸´ºÏϵͳ£¬×ܽǶ¯Á¿ÊÇÖÊ×Ó¡¢ÖÐ×ÓµÄ×ÔÐý½Ç¶¯Á¿ÓëËüÃǵĹìµÀ½Ç¶¯Á¿µÄʸÁ¿ºÍ£¬µ«Ï°¹ßÉÏÈ԰Ѻ˵±×÷Ò»¸öÕûÌ壬°ÑËüµÄ×ܽǶ¯Á¿³ÆÎª×ÔÐý I£¨½Ç¶¯Á¿I‹t£©¡£Í¬Ò»Ô­×Ӻ˴¦ÓÚ²»Í¬µÄÄܼ¶Ê±£¬×ÔÐý¿ÉÒÔ²»Í¬¡£Ï°¹ßÉϰѴ¦ÓÚ»ù̬µÄ×ÔÐý³ÆÎªºËµÄ×ÔÐý¡£ÓÉÓÚÖÊ×ÓºÍÖÐ×Ó¶¼Óдžأ¬ÖÊ×ӵĹìµÀÔ˶¯¶Ô´Å¾ØÒ²Óй±Ï×£¬Òò´Ë×ÔÐý²»ÎªÁãµÄÔ­×Ӻ˶¼Óк˴žء£ºË´Å¾ØµÄµ¥Î»ÊǺ˴Å×Ó¦ÌN

ʵÑéÉϿɴÓÔ­×Ó¹âÆ×µÄ³¬¾«Ï¸½á¹¹À´È·¶¨ºËµÄ×ÔÐý¡£ÓÉÓں˴žØÓëµç×Ó²úÉúµÄ´Å³¡µÄÏ໥×÷ÓöøÒýÆðµÄÄܼ¶ÅüÁÑ£¬³ÆÎªÔ­×ÓÄܼ¶µÄ³¬¾«Ï¸½á¹¹£¬¿É´ÓÆäÆ×ÏßÊýÄ¿»òÏà¶ÔÇ¿¶È¶¨³öºËµÄ×ÔÐý¡£Ò²¿ÉÓÃÆäËû·½·¨¶¨×ÔÐý£¬ÌرðÊǶÌÊÙÃüµÄ·ÅÉäÐÔºËËØ£¬ÍùÍùҪͨ¹ýºËË¥±ä»òºË·´Ó¦À´È·¶¨ºËµÄ×ÔÐý¡£ÊµÑé²â¶¨£¬ËùÓÐżżºËµÄ×ÔÐý¾ùΪÁã£¬ÆæÆæºËµÄ×ÔÐýÊÇÕûÊý£¬Ææ AºËµÄ×ÔÐýΪ°ëÕûÊý¡£Ò²¿ÉÒÔͨ¹ýÔ­×Ó¹âÆ×µÄ³¬¾«Ï¸½á¹¹À´²â¶¨ºË´Å¾Ø£¬µ«²»ÈçÓú˴ʲÕñ·¨²âµÃµÄ¾«È·¡£Ò»Ð©ºËËØµÄ×ÔÐýºÍ´Å¾ØµÄ²â¶¨Öµ¼û±í2¡£ÀûÓú˿DzãÄ£ÐÍ£¬¿É´ÓÀíÂÛÉϼÆËãºË×ÔÐýºÍ´Å¾Ø¡£×ÔÐýµÄ¼ÆËã½á¹û£¬Ò»°ã¿ÉÓëʵÑéÏà·û£»´Å¾ØÔò²îһЩ¡£

±í2

Ô­×Ӻ˵ÄÐÎ×´ºÍµçË﫾Ø

¸÷ÖÖÔ­×Ӻ˾ßÓи÷ÖÖ²»Í¬µÄÐÎ×´£¬Í¬Ò»Ô­×Ӻ˴¦ÔÚ²»Í¬×´Ì¬Ê±£¬ÐÎ×´Ò²ÓвîÒì¡£Ò»°ã˵À´£¬¿É·ÖΪÇòÐΡ¢³¤ÍÖÇò¡¢±âÍÖÇòµÈ¡£Âú¿ÇºË(¼ûºË¿Ç²ãÄ£ÐÍ)µÄ»ù̬ÊÇÇòÐεġ£Á½¸öÂú¿ÇÖ®¼äµÄºËµÄ»ù̬һ°ãÊÇÆ«ÀëÇòÐεģ¬ÀýÈçÏ¡ÍÁÔªËØµÄºËµÄ»ù̬ΪÍÖÇòÐεġ£16OµÄ»ù̬ÊÇÇòÐε쬵«ÆäijЩ¼¤·¢Ì¬ÐÎ×´ÓÐËù¸Ä±ä¡£ÕâÖÖ¶ÔÇòÐÎµÄÆ«Àë½Ð×÷±äÐΣ¬ÕâÖֺ˳ƱäÐκˡ£

ʵÑéÖпÉÒÔͨ¹ýÖÐ×Ó»òµç×ÓÉ¢ÉäµÄ½Ç·Ö²¼À´²â¶¨ºËµÄÐÎ×´¡£ÒòΪ²»Í¬ÐÎ×´µÄÔ­×Ӻ˶ÔÉ¢ÉäÖÐ×Ó»òµç×ӵĽǷֲ¼Ò²²»Ïàͬ£¬¸ù¾ÝÀíÂÛ¼ÆËã¾Í¿ÉÒÔ¶¨³öÔ­×Ӻ˵ÄÐÎ×´¡£ÁíÍ⣬±äÐκ˵ÄÐÎ×´¶ÔËüµÄµçËļ«Ô¾Ç¨Ó°ÏìºÜ´ó£¬Òò´ËÒ²¿ÉÒÔͨ¹ý¿âÂØ¼¤·¢µÈ·½·¨À´È·¶¨¡£

±äÐκË(ͼ3)µÄµçºÉ·Ö²¼Æ«ÀëÇòÐΣ¬ÕâÖÖÆ«ÀëÐÔ³£Óõç¶à¼«¾ØÀ´ÃèÊö£¬µç¶à¼«¾Ø¿É·ÖΪµçż¼«¾Ø¡¢µçËļ«¾ØµÈµÈ¡£Ô­×ÓºËûÓеçż¼«¾Ø£¬×îÖØÒªµÄÊǵçËļ«¾Ø¡£ºËµçË﫾ØQÓëÆäµçºÉ·Ö²¼ÓÐÏÂÁйØÏµ

¡£

ÆäÖЦÑz(r)ΪÖÊ×ÓÊý·Ö²¼Ãܶȣ¬eΪÖÊ×ÓµçºÉ£¬ zÖáÈ¡ÔÚÔ­×Ӻ˵ĶԳÆÖáÉÏ¡£±äÐκ˵ĵçË﫾ØÊÇÏ൱´óµÄ¡£×ÔÐý´óÓÚ1/2µÄÔ­×Ӻ˵Ä״̬£¬¾ùÓеçËļ«¾Ø£¬²»¹ý±È±äÐκ˵ĵçË﫾ØÒªÐ¡µÃ¶à¡£ÀýÈ磬2HµÄµçË﫾ØÎª0.002875¡Á10-24cm2£¬µÄµçË﫾ØÎª8.0¡Á10-24cm2¡£

ͼ

Ô­×Ӻ˵ĵçË﫾ØÍ¬Ô­×ÓÖеĵç×Ó·¢Éú×÷Óã¬ÒýÆðÔ­×Ó¹âÆ×µÄ³¬¾«Ï¸½á¹¹¡£ÀûÓÃÔ­×Ó¹âÆ×µÄÕâÖÖ³¬¾«Ï¸½á¹¹¿É²â¶¨Ô­×Ӻ˵ĵçËļ«¾Ø¡£ÁíÍ⣬ͨ¹ýµç×Ó¡¢ÖÊ×ÓÉ¢É䣬֨Àë×ӵĿâÂØ¼¤·¢Ò²ÊDzâÁ¿µçËļ«¾ØµÄÖØÒªÊֶΡ£

Ô­×Ӻ˵ÄͬλÐý

×î³õÒý½øÍ¬Î»Ðý¸ÅÄîÊÇΪÁËÃèÊöºË×ÓµÄÁ½ÖÖ²»Í¬µÄµçºÉ״̬(ÖÊ×Ó̬¡¢ÖÐ×Ó̬)£¬ºË×ÓµÄͬλÐýʸÁ¿µÄµÚÈý·ÖÁ¿Îª1/2»ò£­1/2£¬·Ö±ð¶ÔÓ¦ÕâÁ½ÖÖ״̬¡£Ô­×Ӻ˵ÄͬλÐýÊǺËÄÚºË×ÓͬλÐýµÄʸÁ¿ºÍ£¬ ͬλÐýÁ¿×ÓÊýÓÃT±íʾ£¬Í¬Î»ÐýµÚÈý·ÖÁ¿ÓÃT3±íʾ¡£

¾ßÓÐZ¸öÖÊ×Ó¡¢N¸öÖÐ×ӵĺˣ¬¡£Ô­×Ӻ˵Ä×ܵçºÉÊýΪT3+A/2¡£Ôں˷´Ó¦ÖУ¬ÏµÍ³ÔÚ·´Ó¦Ç°Óë·´Ó¦ºóµÄ×ܵçºÉÊØºã£¬ºË×ÓÊýÒ²ÊØºã£¬Òò´ËT3Ò²ÊØºã¡£¿ÉÒÔÖ¤Ã÷£¬Ôں˷´Ó¦ÖУ¬Í¬Î»ÐýTÒ²½üËÆÊØºã¡£

ºË×ÓÊýÏàͬ¶øÖÊ×ÓÊý²»Í¬µÄÔ­×Ӻ˿ÉÄܾßÓÐÏàͬµÄͬλÐýT(²»Ò»¶¨¶¼ÊÇ»ù̬)£¬µ«T3²»Í¬¡£T3¿ÉÈ¡´Ó£­Tµ½TµÄ 2T+1¸ö²»Í¬µÄÖµ¡£ÕâЩºË×é³ÉͬλÐý¶àÖØÌ¬¡£¶ÔÓÚÁ½¸öºË×Ó×é³ÉµÄϵͳ£¬ËüÃÇ¿ÉÒÔÐγÉT=1ºÍT=0µÄÁ½¸ö̬¡£T=1µÄ̬ΪͬλÐýÈýÖØÌ¬£¬T=0µÄ̬ΪͬλÐýµ¥Ì¬¡£¶ÔÓÚÁù¸öºË×Ó×é³ÉµÄÔ­×Ӻˣ¬ÈçÐγÉT=1µÄͬλÐýÈýÖØÌ¬£¬ÆäÖпÉÐγÉT£½0µÄͬλÐýµ¥Ì¬¡£

¶ÔÓÚÇáºË(A£¼40)£¬´ÓʵÑéÖй۲⵽µÄͬλÐý¶àÖØÌ¬µÄͬλÐýÖµÒ»°ã¶¼±È½ÏС£¬T¡Ü2£¬¶àÖØÌ¬µÄ2T+1¸ö³É·Ö¶¼Äܹ۲⵽¡£¶ÔÓÚÖØºË£¬TÖµ¿É´ï25£¬µ«´ó¶àÊýÇé¿öÖ»¹Û²âµ½¶àÖØÌ¬ÖÐT3£½T£¬T-1µÄ³É·Ö¡£

ͬλÐý¶àÖØÌ¬ÖÐÏàÁÚÔ­×Ӻ˵ÄһЩ¶ÔÓ¦µÄÄܼ¶¾ßÓÐÀàËÆµÄ½á¹¹£¬ÕâЩÄܼ¶³ÆÎªÍ¬Î»ÐýÏàËÆÌ¬¡£

Ô­×Ӻ˵ÄÓî³ÆºÍͳ¼ÆÐÔ

Óî³ÆÃèÊöÁ£×ÓÔڿռ䷴ÑÝϵÄÐÔÖÊ¡£Óî³ÆºÍͳ¼ÆÐÔÊÇ΢¹ÛÁ£×ÓËù¾ßÓеÄÌØÐÔ¡£Ô­×Ӻ˵Ä״̬ÊǾßÓÐÈ·¶¨µÄÓî³ÆµÄ¡£µ±ÈËÃǰÑÃèÊöÔ­×ÓºËÄÚ²¿Ô˶¯µÄ²¨º¯Êý½øÐÐ×ø±ê·´ÑÝ£¬¼´

Ôò²¨º¯ÊýµÄ·ûºÅ»òÕß±£³Ö²»±ä£¬»òÕ߸ıä(´ÓÕýºÅ±äΪ¸ººÅ)¡£Ç°Õß³ÆÎªÅ¼Óî³Æ£¬ºóÕß³ÆÎªÆæÓî³Æ¡£Ò»¸öÔ­×ÓºË״̬µÄÓî³ÆµÄÆæÅ¼£¬¿Éͨ¹ýºË·´Ó¦»òºËË¥±äÀ´È·¶¨¡£Í¬Ò»¸öÔ­×Ӻ˵Ļù̬ºÍ¼¤·¢Ì¬µÄÓî³Æ¿ÉÒÔÊDz»Í¬µÄ¡£Óî³ÆÔÚÇ¿Ï໥×÷Óã¨ÈçºËÁ¦£©ÏÂÊÇÊØºãµÄ£¬ÔÚÈõÏ໥×÷Óã¨Èç¦ÂË¥±ä£©ÏÂÊDz»ÊغãµÄ¡£

¶Ô°üº¬Á½¸ö»òÁ½¸öÒÔÉÏÏàͬµÄÔ­×Ӻ˵ķÖ×Ó»òÄý¾Û̬Ìåϵ£¬½»»»Ò»¶ÔÍêÈ«ÏàͬµÄºË×ÓÊýΪAµÄÔ­×Ӻˣ¬Á¿×ÓÁ¦Ñ§±íÃ÷£¬ÌåϵµÄ²¨º¯Êý»òÕß²»±ä£¨AΪżÊýʱ£©£¬»òÕß±äºÅ£¨AÎªÆæÊýʱ£©£¬Ç°Õß³ÆÎª²£É«×Ó£¬ºóÕß³ÆÎª·ÑÃÜ×Ó¡£ËùÓÐAΪżÊýµÄºË¶¼ÊDz£É«×Ó£¬ËùÓÐAÎªÆæÊýµÄºË¶¼ÊÇ·ÑÃÜ×Ó£¬ÒòΪºË×ÓÊÇ·ÑÃÜ×Ó¡£

²Î¿¼ÎÄÕÂ