[拼音]:youjie biancha hanshu
[外文]:function of bounded variation
常用的一类函数。最初是由C.若尔当为研究曲线长度而引进的,它在曲线求长问题、曲线积分、黎曼-斯蒂尔杰斯积分、勒贝格-斯蒂尔杰斯积分以及矩量问题中具有重要地位。这类函数中有两个重要的子类单调函数类和绝对连续函数类。
单调函数设 ƒ(x)是定义在区间[α,b]上的实值函数。如果对[α,b]中满足x1<x2的任何两点x1,x2都成立ƒ(x1)≤ƒ(x2),那么称ƒ(x)是[α,b]上单调增加函数(又称单调上升函数)。类似地有单调减少函数(单调下降函数)。它们统称为单调函数,关于单调函数的连续性、可积性、可微性有如下结论:
(1)单调函数只能有第一类不连续点,并且不连续点至多只有可列数个。
(2)区间[α,b]上单调函数必黎曼可积。
(3)对区间[α,b]上单调函数ƒ(x),必存在一个勒贝格测度等于零的集,在这个零集之外,ƒ(x)有有限导数
,而且它是勒贝格可积的,且满足
。单调函数概念还可推广到开区间和无限区间等情况。
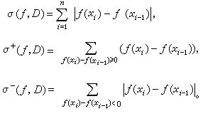
设ƒ(x)是定义在[α,b]区间上的有限函数。对分点组D:
,作和式
因此有σ(ƒ,D)=σ+(ƒ,D)+σ-(ƒ,D)。如果数集{σ(ƒ,D)}有上界,则称ƒ(x)为[α,b)]上的有界变差函数,并分别称
是 ƒ在[α,b]区间上的全变差、正变差、负变差。ƒ在[α,b]上的全变差记为
,而ƒ在[α,b]上的正变差、负变差分别记为 pα(b))、nα(b)。
成立。有界变差函数具有如下一些基本性质。
(1)单调函数ƒ(x)一定是有界变差函数,且
。区间[α,b)]上有界变差函数ƒ(x)可以分解为两个单调增加函数之差ƒ(x)=φ(x)-ψ(x); 在这种分解下成立 
,而达到等式的分解除了相差一个常数外是惟一的,它就是φ(x)=pα(x),ψ(x)=nα(x)-ƒ(α)。对应的分解ƒ(x)=pα(x)-(nα(x)-ƒ(α))称为x(y)的若尔当分解。由于有界变差函数是两个单调函数之差, 所以单调函数的性质①、②、③中, 除去③中的积分不等式要换成
外, 其余都成立。
(2)有界变差函数ƒ(x)在x0是右(左)连续当且仅当
在x0是右(左)连续的,或者 pα(x)、nα(x)同时在x0是右(左)连续的。
(3)黑利选取原理:如果 {ƒλ(x)}是一族有界变差函数,且{ƒλ(α)}和
是有界集,那么从函数族{ƒλ(x)}中必可选出一列函数
在[α,b)]上处处收敛于一个有界变差函数。
也称全连续函数。在计算 [α,b]上函数ƒ(x)的黎曼积分时,牛顿-莱布尼茨公式
是非常有效的工具之一。这个公式通常要在
是[α,b]上连续函数的条件下才能运用。有例子说明,一个连续函数F(x)在[α,b]上的导函数即使是有界函数,也不一定是可积的。当黎曼积分换成勒贝格积分时,使牛顿-莱布尼茨公式成立的充分必要条件是:对任何 ε>0,总有 δ>0,使得对于任何有限个互不相交的区间(αυ,bυ) (v=1,2,…,n),只要
时,必有
。 满足上述条件的函数称绝对连续函数。绝对连续函数有如下一些重要性质:
(1)绝对连续函数是有界变差函数, 并且是连续函数。
(2)F(x)是[α,b] 上绝对连续函数的充分必要条件是存在一个勒贝格可积函数ƒ(x)使
。
(3)如果 F(x),G(x)是两个绝对连续函数,则F(x)G(x)也是绝对连续函数,且有分部积分公式:

。
④如果G(x)是绝对连续函数,ƒ(x)是勒贝格可测函数,则ƒ(x)关于G(x)是勒贝格-斯蒂尔杰斯可积(见勒贝格积分),当且仅当
是勒贝格可积;在可积时,成立
。
存在非常数的(甚至是严格单调增加的)连续函数F(x),使得
在除去一个勒贝格测度等于零的集外,都等于零。显然,这种函数不满足牛顿-莱布尼茨公式,被称为奇异函数。
如果ƒ(x)是[α,b]区间上连续的有界变差函数,那么存在惟一的满足ƒc(α)=0的绝对连续函数ƒc(x)和满足ƒs(α)=0的奇异函数ƒs(x),使得ƒ(x)=ƒc(x)+ƒs(x)+ƒ(α)。
可求长曲线以平面曲线为例,设有平面曲线Γ:x=φ(t),y=ψ(t)(0≤t≤1),任取一个分点组
,作和式
,如果
有限,那么称Γ为可求长曲线,并称s为Γ的长度。Γ是可求长曲线的充分必要条件是φ,ψ都是[0,1]上有界变差函数。