[拼音]:Luolunzi bianhuan
[外文]:Lorentz transformation
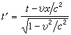
狭义相对论中两个作相对匀速运动的惯性参照系(S和S')之间的坐标变换,若S系的坐标轴为x、y 和z,S'系的坐标轴为 x'、y'和z'。为了简单, 让x、y和z 轴分别平行于x'、y'和z'轴, S'系相对于S系以不变速度υ沿x轴的正方向运动,当t=t'=0时, S和S'系的原点互相重合。同一个物理事件在 S系和S'系中的时空坐标由下列关系式相联系
y'=yz'=z
其中с是真空中的光速。这个关系式称为洛伦兹变换。它反映了空间和时间的密切联系,是狭义相对论中最基本的关系。由这个式子可以导出狭义相对论的许多重要结果,例如长度收缩、时间变慢、同时性的相对性和速度相加定律等等。如果速度υ比光速с小很多,而且被观察的物体的运动速度也比光速小很多,那么洛伦兹变换就与伽利略变换近似一样。因而,对于日常的力学现象,使用伽利略变换就可以了。然而,对于运动物体的电磁现象,虽然物体的运动速度比光速小很多,但由于电磁相互作用的传播速度是光速,所以仍必须使用洛伦兹变换。