狭义相对论

粗略地说是区别于牛顿时空观的一种新的时空理论,是A.爱因斯坦于1905年建立的,“狭义”(或“特殊”)表示它只适用于惯性参照系。只有在观察高速运动现象时才能觉察出这个理论同经典物理学对同一物理现象的预言之间的差别。现在,狭义相对论在许多学科中有着广泛的应用,它和量子力学一起,已成为近代物理学的两大基础理论。

狭义相对论的产生

狭义相对论是在光学和电动力学实验同经典物理学理论相矛盾的激励下产生的。19世纪末到20世纪初,人们发现了不少同经典物理学理论相抵触的事实。

(1)运动物体的电磁感应现象。例如一个磁体和一个导体之间的电动力的相互作用现象,表现出运动的相对性──无论是磁体运动导体不动,还是导体运动磁体不动,其效果一样,只同两者的相对运动有关。然而,经典的麦克斯韦电磁场理论并不能解释这种电磁感应的相对性。

(2)真空中的麦克斯韦方程组伽利略变换下不是协变的,从而违反了经典物理学理论所要求的伽利略变换下的不变性。

(3)测定地球相对于“光媒质”运动的实验得到否定结果,同经典物理学理论的“绝对时空”概念以及“光媒质”概念产生严重抵触。爱因斯坦在青年时代深入思考了这些实验现象所提出的问题,形成了一些重要的新的物理思想。他认为“光媒质”或“光以太”的引入是多余的,电磁场是独立的实体;猜想到电动力学和光学的定律同力学的定律一样,应该适用于一切惯性坐标系。他还认为,同时性概念没有绝对的意义。两个事件从一个坐标系看来是同时的,而从另一个相对于这个坐标系运动着的坐标系看来,它们就不能再被认为是同时的。在这些物理思想的推动下,爱因斯坦提出了两个公设:

(1)凡是对力学方程适用的一切坐标系,对于电动力学和光学的定律也一样适用;

(2)光在真空中的速度同发射体的运动状态无关。爱因斯坦在这两个公设的基础上建立了狭义相对论。

惯性参照系

要描写物体的运动,就得选取一个参照系,或坐标系。例如,可以用三根无限长的理想刚性杆(没有重量、不会因外界的影响而变形等)做成互相垂直的标架,叫做笛卡儿坐标架,用以描写空间任意点的位置,任意点到原点的距离由标准尺子度量。同时,在空间的每一点上再放一只构造和性能完全相同的标准时钟,用来测量当地的时间。但是,这还不够,要描写某一物体对另一物体的运动,特别是要比较发生在不同地点的物理事件的先后次序,那就必须把位于不同地点的时钟互相校准或同步。一般有两种进行同步的办法。

(1)将一只标准钟在原点同原点的时钟对准,然后将它逐次移到空间的每一点来把所有的时钟对准。但是,在采用这个办法时,人们事先并不知道移动的过程对于标准钟的快慢会产生什么影响。

(2)从某一空间点(例如从坐标原点)于某一时刻将光信号发射到空间各点,用以校准所有的时钟。但是,在采用这种办法时,事先必须知道光信号在空间各个方向上的传播速度,而要想测量光的速度又必须先将不同地点的时钟校准。由此可见,必须借助于一定的科学假设,才有可能把不同地点的时钟互相校准或同步,建立起同时性。根据大量实验提供的证据,爱因斯坦认为可以假定光信号向各个方向传播的速度相同,即光速是各向同性的。据此人们就可以用光信号来校准空间各点的时钟了,从而同时性就得到了准确的定义,也就是说有了一个完整的参照系或坐标系:用标准尺子测量空间位置,用位于空间各点的时钟记录当地的时间,用光信号校准所有的时钟。

不过,空间坐标架的选择不是唯一的。例如,一种坐标架相对于另一种坐标架可以有各种速度的匀速运动,也可以有各种加速运动。

在狭义相对论中,为了便于说明问题的本质,选用的是这样一类参照系或坐标系,在这一类参照系或坐标系中,如果没有外力作用,物体就会保持静止或匀速直线运动的状态。这一类坐标系称为惯性坐标系或惯性参照系,简称惯性系。

狭义相对论的基本假设和主要结论

前面曾提到爱因斯坦的作为狭义相对论基础的两个假设。这两个假设中的第一个称为相对性原理,第二个称为光速不变原理。相对性原理(或爱因斯坦狭义相对性原理)可以表述为:一切物理定律在所有惯性系中其形式保持不变。显然,这个原理是力学中的伽利略相对性原理的推广。如果人们知道了物理现象在某一惯性系中的运动规律,那么很容易根据相对性原理写出在其余一切惯性系中的运动规律。光速不变原理表述为:光在真空中总是以确定的速度c传播,这个速度的大小同光源的运动状态无关。更详细地说光速不变原理包含着下面这样一些内容:在真空中的各个方向上,光信号传播速度(即单向光速)的大小均相同(即光速各向同性);光速同频率无关;光速同光源的运动状态无关;光速同观察者所处的惯性系无关。十分明显,这个原理同经典力学不相容,但是如前所说,有了这个原理,才能够准确地定义不同地点的同时性。

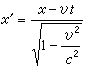
有了上述两个基本原理,立刻可以推导出任意二个惯性系(例如S系和S┡系)之间的坐标变换

y┡=y

z┡=z

其中с是真空中的光速,υ 是S┡系相对于S系的不变速度(在x方向)。xyzt是S系中观察者观测某一物理事件所获得的空间坐标值和时间坐标值;x┡、y┡、z┡和t┡是S┡系中的另一个观察者观测同一物理事件所获得的空间坐标值和时间坐标值。在这里,S┡系的三个笛卡儿坐标轴x┡、y┡和z┡分别同S系的三个笛卡儿坐标轴xyz平行;而且当t=0(初始时刻)时,S┡系的原点同S系的原点重合。这个变换反映了时间和空间是不可分割的,要确定一个事件,必须同时使用三个空间坐标和一个时间坐标。这四个坐标所组成的空间称为四维空间。上面给出的坐标变换称为洛伦兹变换。它是狭义相对论中最基本的关系式。

在低速近似下,,而且被观察的物质的速度也远比光速小,洛伦兹变换退化为伽利略变换。由相对性原理和洛伦兹变换建立起来的相对论性力学虽然不同于牛顿力学,但是,牛顿力学仍然是相对论性力学的很好的低速近似。

狭义相对论不但可以解释经典物理学所能解释的全部物理现象,还可以解释一些经典物理学所不能解释的物理现象,并且预言了不少新的效应。它导致了光速是极限速度,导致了不同地点的同时性只有相对意义,预言了长度收缩和时钟变慢,给出了爱因斯坦速度相加公式、质量随速度变化的公式和质能关系。此外,按照狭义相对论,光子的静止质量必须是零。下面较详细地说明上述这些结果。

同时性的相对性

如果在某个惯性系中看来,不同空间点发生的两个物理事件是同时的,那么在相对于这一惯性系运动的其他惯性系中看来就不再是同时的了。所以,在狭义相对论中,同时性的概念已不再有绝对意义,它同惯性系有关,只有相对意义。不过,对于同一空间点上发生的两个事件,同时性仍有绝对意义。

长度收缩

一根静止杆子的长度可以用标准尺子进行测量。对于沿杆子的方向作匀速直线运动的另一根杆子,如果要想知道它的长度,就必须同时记下它两端的空间位置。这两个空间位置之间的距离就定义为运动杆子的长度。狭义相对论预言,沿杆子方向运动的杆子的长度比它静止时的长度短。如果以l0表示杆子的静止长度,Л表示运动时的长度,υ表示杆子的运动速度,那么狭义相对论预言:。因为任何有质物体的运动速度υ总小于真空中的光速с,因而l小于l0

时间膨胀(或时钟变慢)和多普勒频移

狭义相对论预言,运动时钟的“指针”行走的速率比时钟静止时的速率慢,这就是时钟变慢或时间膨胀效应。假定在S┡系中的某一地点先后发生了两个物理事件,还假定在S┡系中有一个观察者,他用一只静止在该点的时钟(在S┡系中静止)记录下来了这两个事件之间的时间间隔,那么,这个时间间隔就称为固有时间隔,用Δτ表示。另一方面,在S系中如果也有一个观察者在观测这两个物理事件,由于S┡系相对于S系以速度υ 运动,S系中的观察者将看到这两个事件并不是发生在 S系中的同一个空间点上。于是,对于S系的观测者来说,这两个事件之间的时间间隔必须要用 S系的两个不同点上的时钟来记录。这样记录的时间间隔称为坐标时间隔,以Δt表示。狭义相对论给出,,可见Δτ 小于Δt。这就是说,固有时间隔(由一只运动时钟指示的读数)小于相应的坐标时间隔,即运动的时钟变慢了(时间膨胀了)。

时钟变慢直接导致相对论性的多普勒频移。当光源同观察者之间有相对运动时,观察者测到的光波频率将同光源静止时的光频有差别,这种差别称为多普勒频移。经典理论也预言了多普勒频移(见多普勒效应),但狭义相对论的预言同经典理论的预言不同。这两种预言之间的差别是由运动时钟的速率不同于静止时钟的速率造成的,也就是时钟变慢效应造成的。一个特例是横向情况,即观察者运动的方向同光线垂直。按照经典理论,没有频移;按狭义相对论,则有频移,称为横向多普勒频移。它已为许多实验所证实。

时钟佯谬

时间膨胀效应表明,运动时,钟的速率将变慢。由于惯性系之间没有哪一个更特殊,对于S和 S┡这两个彼此作相对运动的惯性系来说,哪一个在运动,这完全是相对的。因而,似乎出现了这样一个问题:S系中的观察者认为S┡系中的时钟变慢了,而S┡系中的观察者又会认为S系中的时钟变慢了,即两个观察者得到的是互相矛盾的结论。这就是所谓的“时钟佯谬”问题。如果把这个问题应用于假想的宇宙航行,就会给出这样一个结果:有两个孪生子,一个乘高速飞船到远方宇宙空间去旅行,另一个则留在地球上。经过若干年,飞船重新返回到地球之后,地球上的那个孪生子认为乘飞船航行的孪生兄弟比他年轻;而从飞船上那个孪生子的观点看,又好像地球上的孪生兄弟年轻了。这显然是互相矛盾的。所以,这种现象通常又称为“孪生子佯谬”或“孪生子悖论”。在解释这种佯谬时候,为了突出问题的实质,可以这样来比较两只钟,一只钟固定在一个惯性系中,另一只钟则相对于这个惯性系作往返航行,如同在“孪生子佯谬”中乘宇宙飞船的孪生兄弟那样。通过研究在往返航行的钟回来的时候,它的指针所显示的经历时间(也就是这个钟所经历的固有时间间隔)和固定钟的指针所显示的经历时间(也就是固定钟所经历的固有时间间隔)相比,到底哪一个更长,显然,经历的固有时间间隔小的钟,相当于年龄增长慢的那一个孪生子。可以发现,不能简单地套用前面写出的那个洛伦兹变换,因为往返航行的钟并不是始终静止于同一个惯性系之中,而是先静止在一个惯性系(向远处飞去),后来又经历加速(或减速)转而静止在另一个惯性系(远处归来),而它的“孪生兄弟”即另外那一只钟则始终静止在一个惯性系中。由此可见,往返航行的钟和静止的钟的地位并不是等价的。因而就解释了为什么发生佯谬。具体地说,哪一只走得更慢一些,有人认为,要解决这个问题,必须应用广义相对论,因为有加速或减速过程。但是,实际上这个问题可以在狭义相对论范围内圆满解决。如果加速过程对时钟速率不产生影响(实验证明加速或减速过程对时钟的速率没有影响),考虑到作往返运动的时钟经历了不同的惯性系,因而还必须考虑到不同地点的同时性问题,那么,不论在哪个惯性系中计算,狭义相对论都给出同样的结果,即往返航行的时钟变慢了。也就是说,在“孪生子佯谬”问题中,宇宙航行的孪生子比留在地球上的孪生兄弟年轻了。

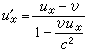
爱因斯坦速度相加定律

设质点相对于惯性系 S的速度为u=(uxuyuz),相对于S┡的速度是u┡=(u憦,,S同S┡之间的相对速度为vvx方向,那么按照狭义相对论,这两个速度之间有如下关系(即爱因斯坦速度相加定律)

此式同经典力学中的速度相加公式(伽利略速度相加公式)u┡=u-v不同。只有当v以及质点的速度ux都远小于真空中光速с时,爱因斯坦速度相加公式才接近于伽利略速度相加公式。爱因斯坦速度相加公式可用来解释光在运动媒质中的牵引效应,如斐索实验。

质速关系

狭义相对论预言,物体的惯性质量将随它的运动速度的增加而加大,速度趋于光速时,惯性质量将趋于无限大。这个关系可表述如下

简称质速关系。其中m0是物体的静止质量,m称为总质量或相对论质量,两者之差可以定义为动质量mkm-m0,υ是物体的运动速度。

质能关系

狭义相对论最重要的一个预言是质量同能量之间有如下关系(E代表能量,m代表质量)

Emс2

ΔE=с2Δm

简称质能关系。这样,相应于静止质量m0、动质量mk和总质量m可以分别定义固有能量E0m0с2、动能Emkс2和总能量Emс2。质能关系是原子能应用的重要理论依据之一。例如,在原子弹氢弹爆炸中,一定量的静止质量能转化成了同样大小的动质量,与此相应,一定量的固有能量转化成了同样数量的动能,这就是原子弹和氢弹所能释放出的能量。

极限速度和光子的静质量

真空中的光速с是一个普通常数,在狭义相对论中它是个绝对量,是一切物质运动速度的极限。光子的静止质量是零,一切以光速运动的物质的静止质量都是零。

狭义相对论的实验证明

验证狭义相对论的实验大体上分为六大类:

(1)相对性原理的实验检验;

(2)光速不变原理的实验检验;

(3)时间膨胀实验;

(4)缓慢运动媒质的电磁现象实验;

(5)相对论力学实验;

(6)光子静止质量上限的实验。关于相对性原理的实验检验,电动力学和光学的很多例子,特别是运动物体的电磁感应现象,都是很有说服力的,这里就不多说了,只着重说一下其余五大类的验证实验。

光速不变原理的实验检验

首先,同光速不变原理有关的大量实验已经证明,真空中光速同光源的运动速度无关、同光波的频率(即光的颜色)无关、同观察者的惯性运动状态无关。定量的测量表明,真空中平均回路光速是一个常数,约为每秒30万千米(с的精确测量值见基本物理常数)。这类实验中,最著名的是迈克耳孙-莫雷实验。这个实验是在相对论出现之前很久的1881年首先由A.A.迈克耳孙完成的。1887年迈克耳孙和E.W.莫雷又用干涉仪以更高的精度重新做了观测。这个实验的目的是测量地球相对于以太的运动速度。但实验结果同以太论的预言相矛盾。狭义相对论建立之后,这个实验就被看成是光速不变原理和狭义相对性原理以及否定以太论的重要实验基础。还要说明一点,现有的实验(包括迈克耳孙-莫雷实验)并没有证明光速是否同方向无关。引入光速同方向无关的假定是为了定义不同地点的事件的同时性,在没有其他方法确定这种同时性之前,光速是否同方向无关是无法用实验判断的。

时间膨胀实验和多普勒频移

多普勒频移的观测,最高精度已达到 0.5%;对介子寿命的观测,精度约达0.4%;用原子钟做的实验精度较低,约10%。这些实验的结果都同相对论的预言符合。在原子钟环球航行的实验中,虽然飞机速度远小于光速,但由于测量精度很高,仍然观测到了时间膨胀的相对论效应。

缓慢运动介质的电磁现象

观测运动介质对光速影响的实验主要是斐索类型的实验。这个实验最初是A.H.L.斐索在1851年完成的,证明了运动介质中的光速同静止介质中的光速不同,而且其差异和爱因斯坦速度相加公式的预言相符。通常把这种现象称为“斐索效应”。近年来做的这类实验中,运动介质的运动方向包括了同光线方向垂直或成布儒斯特角等各种情况,其结果也都同狭义相对论速度相加公式的预言相符。

相对论力学实验

包括质速关系(惯性质量随物体运动速度的变化)和质能关系(即Emс2关系)。质速关系是用电子和质子做的,事实上各种高能质子加速器和电子加速器的设计建造都验证了质速关系。质能关系主要是通过核反应来进行检验,精度达到了百万分之三十五。

光子静止质量上限的实验

有关电子静止质量的实验都没有观察到光子有静质量,因此只给出了光子静质量的上限。对库仑定律的检验给出的上限是 1.6×10-47克,根据银河系旋臂磁场范围对光子静质量上限做的估计约为10-59克。

除了上述六类主要的实验外,还有其他形式的实验。所有这些实验都没有观察到同狭义相对论有什么矛盾。此外,狭义相对论在相对论性量子力学、量子场论、粒子物理学、天文学、天体物理学、相对论性热力学和相对论性统计力学等领域中的成功应用,也都为它的正确性提供了丰富的证据。

虽然狭义相对论在理论的逻辑结构和形式上是很完美的,在实验上已有了非常牢固的基础,但人们仍对它不断深入进行研究:理论方面,探讨它在新领域中的应用;实验方面,使用新的观测方法和提高了测量精度的方法,更精密地检验它的正确性。此外还有不少实验试图观察超光速现象,但至今并没有得到令人信服的结果。

参考书目
  1. A.爱因斯坦:论动体的电动力学,《爱因斯坦文集》第2卷,商务印书馆,北京,1977。
  2. R.A.Muller, Am.J.Phys., Vol.40,p.966, 1972.
  3. 张元仲:《狭义相对论实验基础》,科学出版社,北京,1979。