光度学和辐射度学

应用光学的一个分支。光学辐射是指波长为 1纳米到1毫米范围的电磁辐射,它包括真空紫外辐射、紫外辐射、可见辐射和红外辐射等部分。辐射度学就是对光学辐射进行定量评价的一门实验科学。光学辐射作用于物体和生物体,会产生各种物理、化学和生物效应,这些效应的度量也属于辐射度学的内容。可见辐射作用于人眼所引起的“光”感觉,是一种生理效应,它与辐射的组成、强弱及人的视觉器官的生理特性和人的心理活动都有关系;光度学就是根据人类视觉器官的生理特性和某些约定的规范来评价辐射所产生的视觉效应。

光度学和辐射度学与照明工程、天文观测、光学仪器、光电子学、光谱学遥感技术、生理光学、医学和材料科学等领域有着十分密切的关系。

发展过程

早期,人们根据眼睛感觉的“明、暗”来判断可见光的“强、弱”。随着生产的发展和科学技术的进步,特别是天文观测和人工照明的需要,要求对光作定量的测量。1729年P.布给为比较天体亮度发明了目视光度计,这标志着光度学的诞生。1760年J.H.朗伯创立了光度学的基本体系,成为光度学的重要奠基人。1860年英国首都的煤气法案正式规定了发光强度单位烛光的定义及标准光源。1881年国际电工技术委员会批准烛光为国际标准。1909年美、法、英等国决定用一组碳丝白炽灯来保持发光强度单位,取名为“国际烛光”,符号为“ic”,然而,碳丝白炽灯不具有可复现性,不能作为原始标准。1937年国际计量委员会决定用铂点黑体作为光度原始标准(即光度基准),并规定其亮度为60熙提 (1熙提=1烛光/厘米2)。由此导出的发光强度单位叫坎德拉,符号为“cd”,从1948年1月1日起实行。至此,全世界才有了统一的光度标准。

由于光度测量依赖于人的视觉器官的生理特性,为了统一评价标准,国际照明委员会 (CIE)在1924年公布了平均相对光谱光视效率值V(λ)(即视见函数)作为在明适应条件下2°视场光度测量的基础(图1)。1933年国际计量委员会规定标准光度观察者的相对光谱灵敏度必须与 V(λ)一致。1951年国际照明委员会公布了在暗适应条件下,青年人眼的光谱光视效率值V┡(λ)。明适应是指正常人眼对亮度水平在几坎德拉每平方米以上的适应状态,处于明适应条件下的视觉叫明视觉。正常人眼所适应的亮度水平在百分之几坎德拉每平方米以下的视觉叫暗视觉。处于这两者之间的视觉叫中间视觉。

图1

辐射度学起源于物理学上对物体热辐射特性的研究。有关绝对黑体辐射特性的研究成果奠定了辐射测量的基础。随着光学辐射在工业、农业、军事和科学研究等方面的应用日益广泛,辐射测量的重要性也与日俱增。因而辐射测量技术得到很大发展,并逐渐渗透到光度技术中去。使光度技术从以目视法占统治的状态,逐渐过渡到使用各种光电和热电接收器的物理方法,大大改善了测量精度和提高了工作效率。另一方面,在辐射度技术中,也借用了光度学的表达方法来描述辐射源和辐照场的各种辐射度特性,而建立起与光度学相似的理论体系。这两门学科之间建立了紧密的联系。

铂点黑体作为光度基准以来,各国光度单位的一致性并没有像预期的那样有很大改善。自20世纪60年代以来,绝对辐射计不断完善,使得辐射的绝对测量不依赖于温度的测量。它不仅能作为辐射度的原始标准,再配一V(λ)修正滤光片,还可以作为光度的原始标准。为了保持光度单位的连续性和确定光度量和辐射度量之间的关系,根据实验结果,规定K555=683流明/瓦。意义是:功率为1瓦、波长为555纳米的单色辐射对三种视觉都具有683流明的光通量。据此,1979年第16届国际计量大会重新定义坎德拉:坎德拉是发出频率为540×1012赫兹辐射的光源在给定方向的发光强度,此光源在该方向的辐射强度为1/683瓦每球面度。至此,光度技术就完全建立在辐射度基础之上。

基本概念

在光度学和辐射度学中,测量对象都是光学辐射,仅仅是所依据的评价标准不同。常用的光度量和辐射度量如表1所示。

表1

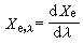
对于具有连续光谱的辐射,某种辐射度量Xe(如辐射强度、辐射亮度等)的光谱密集度定义为:在包含给定波长λ 的无限小波长间隔内,相应的辐射度量与该波长间隔之商,。辐射度量的光谱密集度与波长的函数关系叫做该辐射度量的光谱分布。对于光度量也可给出类似的定义。光度量和辐射度量之间的关系可以表示为:

式中 XvX'v分别为与Xe相对应的明视觉光度量和暗视觉光度量,Km=683流明/瓦,K'm≈1700流明/瓦,分别为明视觉和暗视觉的最大光谱光视效能。

为了表述复合辐射的光谱组成或颜色特性,根据绝对黑体的辐射特性引入了分布温度和颜色温度两个概念。

光源与某一温度的绝对黑体在可见区有相同的或近似相同的相对光谱功率分布时,黑体的温度就是光源的分布温度。光源与某一温度的绝对黑体发出的光具有相同的色品时,黑体的温度就是光源的色温度。气体放电灯发光的色品坐标在色品图上与黑体轨迹有一定偏离,则取其最接近的轨迹上的点所对应的黑体温度为该光源的相关色温。

基本原理

光度学和辐射度学的研究对象主要是非相干光学辐射,并且认为辐射的传播服从几何光学定律。

距离平方反比法则和照度的余弦法则:点辐射(光)源在处于某方向的面元上建立的照度与点源朝该方向的辐射(发光)强度I成正比,与点源和面元之间距离d的平方成反比,与面元法线和入射光线夹角θ的余弦成正比(图2),

图2

实际上,辐射(光)源总是有一定大小的,只有当观测距离比辐射源本射的线度大10倍时,才能够应用距离平方反比法则,使误差小于1%,否则必须引入适当的修正。

叠加原理:若干辐射(光)源在一面元上建立的照度等于各辐射(光)源单独建立的照度之和。

均匀漫射面及其特性:均匀漫射面(包括漫反射、漫透射及自身发光的漫射面)在任何方向都具有相等的亮度,因而在与面的法线成θ 角的方向上的辐射强度或发光强度I0为漫射面在法线方向的辐射强度或发光强度。

光度学和辐射度学中的各种数学关系,均可根据上述基本原理及有关定义推导出来。

辐射度标准与辐射测量

辐射度的原始标准有两种类型:标准辐射源和绝对辐射计。前者主要是工作在不同温度下的黑体炉。根据斯忒藩-玻耳兹曼定律,黑体的辐射亮度,叫斯忒藩-玻耳兹曼常数,T为黑体的绝对温度。因此只要测得T,就能算得Le。对于实际的人工黑体,还必须根据黑体的腔型、尺寸和所用材料的发射率确定黑体的发射率 (即黑度系数)εεLe才为人工黑体的辐射亮度。在黑体前面加光阑即可作为标定辐射计的标准。辐射计入射光阑面上的辐射照度为

g为几何因子,由dr1r2确定(图3)。

图3 图4 图5

根据普朗克定律,可以算出黑体辐射亮度的光谱密集度 с1和с2分别是第一和第二普朗克辐射常数。因而黑体可作为光谱辐射亮度标准,通过光谱测量系统标定标准灯的光谱辐射亮度作为次级标准(图4)。为了消除光路不对称的影响,必须使用比较灯。

在黑体前面适当位置加一开口面积已知的光阑,就可计算一定距离处的漫射板上辐射照度的光谱密集度值。通过光谱测量系统,可以作为光谱辐射照度标准标定光谱辐射照度标准灯在漫射板上产生的辐射照度的光谱密集度值,作为次级标准(图5)。在这种测量光路中,不用任何成像系统;而在光谱辐射亮度的测量光路中,必须使用成像系统,这是两者不同之处。

一定温度的黑体仅在有限的波长范围才能发出足够强的辐射。因此,为要建立不同波长范围的积分辐射度标准和光谱辐射度标准,就需要有不同温度的黑体炉。在目前技术条件下,由高温黑体炉所建立的光谱辐射度标准在短波方向只能达到250纳米。近十几年来,发展了同步加速器辐射技术,可以作为从软X 射线、真空紫外辐射、紫外辐射、可见辐射、一直到近红外辐射的原始标准。

各种电校准绝对辐射计能测量辐射束的功率值,也是一种重要的辐射度原始标准。其基本原理如图6所示,接收面吸收入射辐射,并把它转化成热能,使吸收体温度升高而引起某种物理效应(如温差电动势)。然后遮断辐射,向附着在吸收体上的加热丝通电流,使吸收体受热升温引起同等的物理效应。于是,电加热所消耗的功率就接近接收器吸收的辐射功率。通过反射损失和光、电加热不等效修正,就可求得入射辐射束的功率值。若接收器入射光阑孔的面积已知,就可作为辐射照度标准,标定辐射源的辐射强度或辐射亮度,并通过已经定标的辐射源来标定其他类型的辐射计。

图6

上述两种类型的原始标准各有其一定的适应范围,在实际工作中,两者互为补充。

辐射测量可分为相对测量和绝对测量两类。前者测量两同名辐射度量之间的比值,因此测量系统不用定标,但必须有良好的线性。在某些情况下,如测量选择性光学材料的积分反射比或透射比,还要求测量系统的接收器在所考虑的波长范围内是中性的。绝对测量要求测量辐射量的量值,因此测量系统必须由辐射度标准定标。

光度标准与光度测量

根据坎德拉的新定义,可以通过多种途径来复现光度基准。目前技术上最成熟的方法是在绝对辐射计前加Vλ)滤光器,使它具有标准光度观察者的光谱响应特性(图7)。由公式即可得到光源在辐射计入射光阑面上建立的光照度值Ev。式中,是经过V(λ)滤光器后为辐射计实际测得的辐射照度, τm是滤光器在波长555纳米处的透射比。

图7

由一组辐射计-V(λ) 滤光器系统组成光度基准,用以标定一组色温度为2856K 的标准灯的发光强度值,作为次级标准,即发光强度副基准,且作保持发光强度单位──坎德拉。

在实际工作中,往往需要测量光源发出的总光通量,因此要求建立相应的计量标准。用分布光度计,根据发光强度副基准测量一组总光通量标准灯发光强度的空间分布,由此计算得标准灯发出的总光通量,作为用相对法(如用球形光度计)测量光源总光通量的最高标准,叫作总光通量副基准。副基准标定相应的工作基准,工作基准将副基准所保持的单位量值传递给各级标准,供实际工作中使用。

发光强度标准灯同时也是光照度标准灯。它在一定距离处的面上所建立的光照度可以根据距离平方反比法则计算得出,用来标定光照度计。

当光照射均匀漫反射面时,若漫反射面的反射比为ρ,面上的照度为E,则它的亮度为L=ρE/π。因此可用发光强度标准灯照射已知漫反射比的标准漫反射板来标定亮度计(图8)。

图8 图9 图10

光度测量方法分目视法和客观法。目视法是人眼直接参与测量过程。人眼对相邻两表面的亮度是否相等有敏锐的判断能力,而要判断它们的亮度在数量上的差别则是非常困难的。因而一切目视光度测量都归结为对两个面的亮度进行比较和使之平衡。各种目视光度计就是根据这一特点设计的。其中最为完善的是陆末-布洛洪光度计(图9)。它的中心部分是两块45°直角棱镜光胶构成的。其中一块的斜面上刻蚀成图9右面所示的花样。被比较的两个光源分别照射漫射面S1S2,视场中就能看到图右所示花样,斜线部分和其他部分分别由S1S2照明,这样就将两个被比较的面并列在一起而便于比较它们的亮度。改变光源到漫射面的距离使它们的亮度相等,就可以根据平方反比法则来比较两光源的发光强度了。

现在,目视法多用于作人眼的视觉试验,而光度测量则用客观法,或称物理接收器法。客观法所用接收器必须带有V(λ) 修正滤光器(图10),它的响应与所接收的光通量或照度直接相关。因而一切使用客观法的光度测量都归结为光通量或照度的测量。

光度测量与辐射度测量一样,受着多种因素的影响和干扰,难于得到高的精度。其中值得重视的是V(λ) 修正的完善程度。

应用

光度学和辐射度学的应用可以归纳为三个方面。

(1)光源的光度和辐射度特性的测量。用作人工照明的光源,需要测量其各种光度特性,如总光通量、发光强度的空间分布、发光体的亮度等,作为生产厂控制产品质量和照明工程设计的依据。现代光源已远远超出了传统上用作照明的范围,而越来越广泛地用于各种工农业生产过程、医疗保健、科学研究、空间技术等方面;而现代照明也不单纯是提供一定数量的可见光,还要求具有一定的显色特性,并提供或限制某些红外和紫外辐射,因而还要求测量光源的各种辐射度特性,如总的辐射功率、辐射的光谱组成、辐射强度的空间分布、辐射亮度等。根据光谱组成计算其色度特性和显色指数作为评价光源品质、适用范围和实际应用的依据。对光照场和辐照场的光照度、辐射照度和光亮度的分布的测量,也是实际工作中广泛应用的一个方面。

(2)材料和媒质的光度和辐射度特性的测量在光学工业、照明工程、遥感技术、色度学大气光学等领域有重要的应用。各种材料、样板及若干种工农业产品,需要测定它们在各种几何条件下的积分的和光谱的反射比或透射比。在各种条件下大气对光学辐射的传输特性的测量。这些都必须利用光度和辐射度技术。

(3)各种光学辐射探测器如太阳能电池、硅光电二极管、光电管、光电倍增管、热电偶、热电堆以及各种光敏和热敏元件,广泛用于光学辐射的探测、测量仪器、控制系统和换能装置等方面。也需要用光度和辐射度技术测定它们的积分灵敏度、光谱灵敏度及响应的线性等特性,为合理的有效的使用提供依据。

参考书目
  1. 薛君敖等编著:《光辐射测量原理和方法》,计量出版社,北京,1981。