[拼音]:zhebeimujian
[外文]:peimine

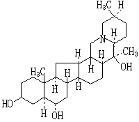
原名贝母素甲。为一种生物碱,分子式C27H45NO3。1932年中国植物和药物化学家赵承嘏曾从浙江产贝母中分离出来。
浙贝母碱为白色针状结晶,熔点223~224°C,比旋光度[α]峐-19.4°(乙醇),[α]
-20°(氯仿);不溶于水,溶于多种有机溶剂;可与各种无机酸如盐酸、硝酸、氢溴酸、氢碘酸、高氯酸等生成结晶盐。
浙贝母因含浙贝母碱,在中医学上用于止咳化痰、清热散结。浙贝母碱对小鼠的最低致死量为 9毫克/千克。2.5毫克/千克的剂量可以使家兔产生血糖过多症;10毫克/千克的剂量使麻醉猫短时间血压下降,呼吸轻度抑制;蛙心灌注1:5000到1:1000浓度时,使心率减低,房室完全阻断。