[拼音]:zhenzi qiangdu
[外文]:oscillator strength
表征原子或分子体系的吸收或发射辐射能力的物理量,有吸收振子强度和发射振子强度之分,通常指吸收振子强度。经典辐射理论和量子辐射理论对振子强度给出不同的物理解释。
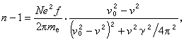
经典辐射理论假设辐射的基本单元是一个谐振子,谐振子的振动引起辐射的发射和吸收。对于任何一个共振频率,每一个原子具有f个作简谐振动的经典振子,但并不限制f要等于整数。这个无量纲的物理量f称为振子强度。振子强度f和吸收系数α0、折射率n的关系分别为
α0=πf N e2/мec (1)
和
(2)
式中N为单位体积中的原子数,e为电子电荷,me为电子质量,с为光速,γ为阻尼常数,v为辐射频率,v0为谱线中心频率。通过测量吸收和色散可以确定f值。
量子辐射理论把振子强度和能级间的跃迁几率联系起来。若低能级为m,高能级为n,则吸收振子强度用fmn表示,它和表征吸收的爱因斯坦系数 Bmn之间的关系为
(3)
振子强度fmn和自发发射跃迁几率A nm的关系为
(4)
式中h为普朗克常数,gn和gm分别为n态和m态的统计权重。(见跃迁几率)
吸收振子强度 fmk和发射振子强度fkm间的关系为
(5)
对于核外有N个电子的原子体系,与某一激发能级n有关的振子强度满足库恩-托马斯(Kuhn-Thomas)总和定则,即
(6)
- 参考书目
- H.G.Kuhn, Atomic Spectra, Longmans,London,1962.
- J.C.Slater, Quantum Theory of Atomic Structure, McGraw-Hill, New York, 1960.