[拼音]:hefanying nengpuxue
[外文]:nuclear reaction spectroscopy
又称核谱学,原子核物理学的一个分支。它测定核反应放出的粒子的数量、质量、能量、角分布等,以研究核能级的性质。根据出射粒子的不同,核反应能谱学可分为带电粒子能谱学(又称带电粒子核谱学)、中子谱学和γ射线能谱学。本条目主要介绍带电粒子能谱学。
每一种原子核可以处于不同的能量状态,对于每一个态(又称为能级)除了能量值外,还要用一些量子数和其他一些物理量来描述,如角动量、宇称、同位旋、能级寿命和形变大小等。为了弄清楚核内部的运动规律,首先要把核的这些态的能量、量子数和其他各种能级特性测定出来。带电粒子核谱学就是用测量反应后出射的带电粒子的办法来研究核能级的性质。这种方法同用测量γ跃迁的方法研究核结构的γ射线能谱学是相辅相成的。
通常把核反应写成
a+A─→C─→b+B+Q,
式中a为入射粒子,它同靶核A相碰,发生反应,B为剩余核,b是被测量的出射粒子,Q为反应能,而C是复合体系。一般情况下,a和A都属于基态。不少情况下,b也属于基态(如低能核反应中出射的质子或α粒子),当b较复杂时,也可处于激发态。在带电粒子核谱学中最常用的方法是:
(1)用测量b的能谱来研究B(甚至b)的能级,②用改变入射粒子能量EA来研究C的核谱。
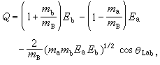
带电粒子能量的测定到目前为止,测量带电粒子的能量的最精确的方法是使用磁谱仪。图1是用QDDD磁谱仪测量27Al(p,p┡反应出射质子谱的一个实例。入射质子的能量为 16MeV。用的是薄铝靶,探测角为θLab=55°。因为QDDD磁谱仪(见重粒子磁谱仪)在一定磁场值时只能测出质子谱的一个能量间隔,图1上的谱是用多个磁场下测得的谱并起来构成的。图1上的各群质子对应于剩余核27Al*处于不同的激发态。例如70就表示对应于剩余核的第70个激发态的出射质子群。从测得的出射粒子能量Eb,就可以推出反应Q值
式中ma、mb和mB分别为入射粒子、出射粒子和剩余核的质量。对应的剩余核的激发能Ex就是
Ex=Q0-Q,
式中Q0是对应于剩余核的基态的反应Q值 Q0=(ma+mA-mb-m)B)с2,其中с是真空中的光速,mA是靶核质量。
激发函数
出射粒子的数目随入射粒子的能量的变化关系称为激发函数。在激发函数曲线上有时可以看到多个窄的峰,称为共振峰。这些共振峰对应于C核的不同能级。这些复合能级的激发能为
,
式中ma是复合核基态的质量。
还可以从这些共振峰的宽度,扣除入射粒子能量的分散度、靶的厚度等贡献后,求出能级的宽度Г。从能级宽度又可以求出该核状态的寿命τ=媡/Г。
角动量和宇称的测量测量核能级的能量值只是核谱学研究的第一步,还需要进一步测量对应于这些状态的量子数和其他物理量。这往往是更复杂的研究。
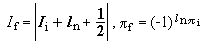
不少情况下是用测量出射粒子的角分布来确定角动量和宇称。在剥裂反应中
Si(d,p)29Si,中子带到核里的轨道角动量为Ln,末态核29Si的自旋角动量量子数If和宇称πf为
,
其中Ii和πi为靶核的角动量和宇称。已知
Si的基态为0+,所以Ii=0和πi=+1。图2给出了在Ed=18MeV时,(d,p0)反应的角分布。把实验角分布同扭曲波玻恩近似(DWBA)理论值相比较,可以定出ln值,这里是ln=0。于是对于29Sig的角动量和宇称为If=1/2和πf=+1,即
态。