[拼音]:Yixin moxing
[外文]:Ising model
描述物质相变的一种模型。物质经过相变,要出现新的结构和物性。发生相变的系统一般是在分子之间有较强相互作用的系统,又称合作系统。
在铁和镍这类金属中,当温度低于居里温度(见铁磁性)时,原子的自旋自发地倾向某个方向,而产生宏观磁矩。温度高于居里温度时,自旋的取向非常紊乱,因而不产生净磁矩。当温度从大于或小于两边趋于居里温度时,金属的比热容趋于无限大。这是物质在铁磁性状态和非铁磁性状态之间的相变,它并不包含在P.厄任费斯脱所分类的相变中。伊辛模型就是模拟铁磁性物质的结构,解释这类相变现象的一种粗略的模型。它的优点在于,用统计物理方法,对二维情形求得了数学上严格的解。这就使得铁磁性物质相变的大致特征,获得了理论上的描述。
这个模型所研究的系统是由N个阵点排列成n维周期性点阵,这里n=1,2,3。点阵的几何结构可以是立方的或六角形的,每个阵点上都赋予一个取值+1或-1的自旋变数si,如果si=+1,即第i个阵点的自旋向上;如si=-1,即第i个阵点的自旋向下。并且认为只是最近邻的自旋之间有相互作用。点阵的位形用一组自旋变数{si}(i=1,2,…,N)来确定。图1是一个二维伊辛模型的示意图,图中挋表示自旋向上,挌表示自旋向下。
处理方法
20世纪30年代初,不少科学家如W.L.布喇格、E.J.威廉斯、H.A.贝特、R.E.佩尔斯等人就已从有序-无序转变问题及点阵气体等模型出发,采用平均场近似法处理伊辛模型。
布喇格-威廉斯平均场近似法认为,某一阵点上的自旋取某一方向的几率同近邻阵点上的自旋取向无关,只同自旋在该方向的数目成正比。每个阵点上有一平均磁场,自旋在阵点上的取向只同该磁场有关。用这种方法可求得下列公式
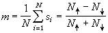
式中μ是每个自旋的磁矩,n┡是每一阵点的最近邻数,H是外磁场强度,T是热力学温度,ε是自旋同向的最近邻对之间的相互作用能(铁磁性物质ε<0,非铁磁性物质ε>0),k是玻耳兹曼常数,m是每个自旋上的磁化强度,可表示为
,其中N是总阵点数,
、
分别代表自旋向上和向下的总阵点数,显然
+
=N。
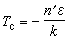
由此研究铁磁性物质的性质,得到如下结论:存在一临界温度
,当T>Tc而H=0时,物质不磁化,没有相变;当T<Tc时,尽管仍有H=0,但磁化强度m可不为零(可取正值或负值),铁磁性物质存在相变。这个结论对一维、二维、三维点阵都应成立,但严格的证明指出,二维、三维伊辛模型在临界温度以上仍有相变。这反映了平均场近似法的简单、粗糙。当然,用它处理临界温度以下铁磁性物质的相变,仍是一种有意义的方法。
20世纪40年代L.昂萨格对伊辛模型采用解析法得到了严格解,作出了突出的成就。这种方法的基本点,是设每个阵点的自旋变数可取+1和-1两个值,考虑阵点上自旋的某个位形,计算每个自旋同最近邻自旋的相互作用能量以及同外磁场相互作用能量,再对全部可能的位形求和,用矩阵的方法求出配分函数,从而得到各个热力学函数。
一维情况考虑具有N个自旋的直线链(图2所示),每个自旋仅同它的两个最近邻自旋及外磁场相互作用。相互作用的总能量即由{s0,s1,s2,…,sN-1}所确定的位形能量是
,式中
是对最近邻自旋对求和,
表示对所有自旋坐标求和。配分函数可写作
定义一个2×2矩阵p1,它的矩阵元是
,因为s0=±1,s1=±1,故矩阵p1可表示为
如果采用周期性边界条件sN=s0,或设想将直线链弯成闭合的圆链,并将初端与尾端相接(图3),配分函数ZI可表示成矩阵形式
,式中tr表示矩阵的迹,它是
的对角元之和。由此计算可以求出ZI,对于N 很大的链,则有
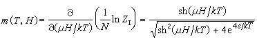
。磁化强度是
,
m(T,H)同μH的关系如图 4所示。当H→0时,对于T>0,有m(T,0)=0。可见,一维伊辛模型没有自发磁化即不显示铁磁性,因而不发生相变。
在一维伊辛模型中,不论铁磁性或反铁磁性,都不会实现有序的状态。如对于ε<0的铁磁性物质,在绝对零度时,所有自旋取向都是相同的,此时,处于能量最低的状态。然而,如果热力学温度不等于零,是有限的,则平均位形由两种相反的、相互竞争的趋向所决定。一个是各个自旋的取向完全一致,使能量最低;另一个是各个自旋的取向为随机的,使熵最大。由于一维伊辛模型中每个自旋没有足够多的最近邻自旋,因而不可能出现所有自旋取向完全相同的情况,而是如图5所示。
二维情况
(昂萨格解) 二维伊辛点阵的阵点数为L×n=N,为便于计算,画成图6所示的情形。处理二维空间问题的方法与一维的类似,只需将一维的每个阵点当作一列,并逐列相加求和即可。
以Sl表示第l行的所有自旋坐标的集合
上标l(l=1,2,…,L)代表行,下标(1,2,…,n)代表列。边界条件为
。即要求每一行的第n+1列的位形与第1列的相同,每一
,Sl有2n个值。整个点阵的位形由 {S1,S2,…,SL}确定。考虑最近邻自旋对以及自旋同外磁场的相互作用,则配分函数可写成
为将上式表示成矩阵的形式,引入三个矩阵V1、V2、V3,它们的矩阵元分别定义为
第一式反映不同行最近邻自旋对的相互作用能量,它有2n×2n个;第二式反映同一行最近邻自旋对的相互作用能量,它有2n个;第三式反映同一行各个自旋与外磁场的相互作用能量,它也有2n个。为了计算方便,在补上一些“0”元素后,可把V2、V3扩大成2n×2n矩阵的对角矩阵。可以证明
Z1=tr(V1V2V3)L。当L→∞时,求L×n矩阵的本征值问题就变成求解2n×2n矩阵的本征值问题。H.A.克喇末和G.H.万尼尔等人曾用数字解计算过有限的几项,他们计算到n=5,发现在n为有限的情形下,没有相变。
昂萨格在求解时,设外磁场强度H=0,因而V3=1。计算结果表明:高温时,T>Tc(临界温度),矩阵V=V1V2只有一个最大本征值υ+;低温时,T<Tc,矩阵V=V1V2有两个本征值,当n→∞,L→∞时,配分函数为
并得出平均每个自旋的自由能f为
若令
,则上式右边第二项被积函数 θ(v)满足 chθ(v)=ch2βch2β'cosvsh2βsh2β┡。用数值计算,通过上述二式可算出T→Tc时的各个热力学量,得到以下具体结果,
-f=-fc=kTc(0.9296…),
S=-Sc=kln(1.358)。其中S为每个自旋的熵。式中的临界温度Tc满足方程
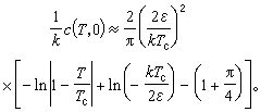
或-kTc=2.269185ε。在Tc附近,每个自旋的比热容可表示为
可见在 T=Tc时,自由能、熵以及内能是连续的,这意味着在 T=Tc时,发生的相变不包含潜热。但是当
时,作为上述热力学函数的导数,比热容是对数发散的,无论从高温端还是低温端趋于Tc(即T→Tc+0或T→Tc-0),比热容с的值是相同的。图7给出了比热容随温度变化的曲线,并且同时画出了布喇格—威廉斯平均场近似法所得结果的曲线(图中虚线),以作比较。
为弄清T=Tc处相变的细节,还需进一步考虑自发磁化(即计算自由能对磁场强度H的导数,再让H=0)。杨振宁于1952年采用微扰法得到了很好的结果。他证明自发磁化强度m(0,T)可表为
式中
对应于Tc的值为
,自发磁化强度随温度变化的曲线如图8所示。
至于存在外磁场的情形,以及三维空间的解析解,虽经许多理论物理学家多年的工作,但至今还未取得令人满意的结果。
- 参考书目
- Kerson Huang,Statistical Mechanics,John Wiley & Sons,New York, London, 1963.