[拼音]:niaoquan shuzhi
[外文]:urea-formaldehyde resins
又称脲甲醛树脂,是尿素与甲醛反应得到的热固性树脂。英文缩写为UF。在加工成型时发生交联(见高分子交联),得到不溶、不熔的制品。脲醛树脂的绝缘性能良好,价格便宜,是一类重要的缩聚高分子产品,主要用于制造模压塑料。脲醛树脂的1980年世界产量超过150万吨。1884年开始研究尿素与甲醛的反应;1918年得到可作为胶粘剂用的粘液;1926年制得模塑粉并加工成型;1929年工业生产,商品名为Beetle。
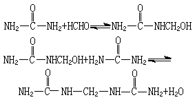
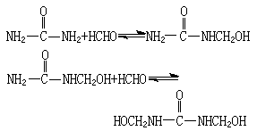
聚合原料为尿素和37%甲醛水溶液,合成的树脂是线型结构。为保证树脂能固化,甲醛与尿素的摩尔比必须大于1。一般采用甲醛/尿素为1.5~2.0。如作胶粘剂,可选择较高的摩尔比;如作模压塑料,则选择较低的摩尔比。酸或碱催化剂的反应产物不同。在pH=4的条件下,反应为:
这两步反应均为可逆反应,第一步为尿素与甲醛加成反 应,得到羟甲基脲;第二步为羟甲基与氨基的缩合反应,形成亚甲基键(─CH2─),同时放出水,经多次缩合可得低聚物。也可通过羟甲基之间的缩合反应形成亚甲基醚键(─CH2─O─CH2─),它进一步受热时可分解,放出甲醛而转变为亚甲基键。因此在酸性条件下,如反应不加控制,则将形成网状结构,导致凝胶。
在中性和碱性条件下(pH=7~8),反应产物为一和二羟甲基脲:
而它们的缩合反应速率要慢得多。所以在工业上是采用碱作催化剂,在95℃左右反应,以制造可溶性脲醛树脂,然后在酸性条件下或加热条件下进行固化。
脲醛树脂必须在中性(pH=7)条件下贮存。固体树脂较溶液稳定,溶液的贮存期一般为六个月。
固化脲醛树脂在酸性或加热条件下固化较快。室温固化时常用的固化剂为氯化铵。模塑粉应加热固化。当温度为130~160℃时,较薄制品的模压周期是10~15分钟;较厚制品则须长达1小时以上。提高温度可加速固化但表面易分解,树脂中加入固化加速剂,如硫酸锌、磷酸三甲酯、草酸二乙酯等可缩短固化时间。
性质和应用固化后的脲醛树脂颜色比酚醛树脂浅,呈半透明状,耐弱酸、弱碱,绝缘性能良好,耐磨性极佳,但遇强酸或碱易分解,耐候性较差。主要用于制造模压塑料,制作日用品和电器零件;还可用于板材的胶粘剂、纸和织物的浆料、贴面板及建筑工业上的装饰板等。由于其着色范围极广,可制成色彩瑰丽的制品。