氧化还原聚合

氧化还原反应所产生的自由基引发烯类单体的聚合(见自由基聚合)。20世纪30~40年代,在德国、美国、英国先后发现氧化还原聚合,当时为了缩短水溶液和乳液聚合反应的诱导期而加入还原剂,结果不仅缩短了诱导期,也提高了聚合速率。以后就将由氧化剂和还原剂组成的引发体系(见自由基聚合引发剂)叫做氧化还原引发体系。由于氧化剂和还原剂之间的单电子转移引起氧化还原反应而产生自由基,这样既可以降低过氧化物的分解活化能,在较低温度(如零度至室温)条件下引发单体聚合,也可以增加过氧化物的分解速率,从而增加聚合速率。因此,氧化还原聚合具有聚合温度低和聚合速率快两个优点。

氧化还原引发体系的分类

过氧化氢类与金属盐组成的引发体系

过氧化氢的分解活化能Ea很高,为54千卡/摩尔,不适合单独作引发剂。过氧化氢和金属盐的引发体系,如 H2O2-Fe2+体系(又称芬顿试剂)的分解活化能低,为9.4千卡/摩尔,因此可以在室温下引发丙烯腈水溶液聚合:

HO—OH─→HO·+·OH  Ea=54kcal/mol

HO—OH+Fe2+─→HO·+OH-+Fe3+

Ea=9.4kcal/mol

有机过氧化氢物如异丙苯过氧化氢 CHP、对异丙基异丙苯过氧化氢IPCHP、对烷过氧化氢 PMHP分别与亚铁盐组成的氧化还原引发体系,都可用作低温丁苯乳液聚合的引发剂。随着过氧化氢物的不同,下列引发剂所引发的聚合速率相应递减:

公式 符号

过氧化氢物在亚铁离子存在下,其分解活化能比过氧化氢物单独分解的活化能大大降低:

公式 符号

过氧化氢物也可以与其他金属盐(如Cu+、Co2+盐)组成氧化还原引发体系。过氧化氢物(如叔丁基过氧化氢)与不同价态的金属 (如Cu+或Cu2+) 发生不同的分解反应, 产生烷氧自由基RO·或烷基过氧自由基ROO·,RO·能引发单体聚合,而ROO·常常不引发单体聚合。

ROOH+Cu+─→RO·+OH-+Cu2+

ROOH+Cu2+─→ROO·+H++Cu+

酮过氧化物与 Co2+盐组成的氧化还原引发体系可用于不饱和聚酯的室温交联固化反应。为了使钴盐溶于苯乙烯和不饱和聚酯的混合液中,可采用它的环烷酸或脂肪酸盐,它们常称促进剂。常用的酮过氧化物是丁酮过氧化物或环己酮过氧化物,前者是由丁酮和过氧化氢在酸性条件下反应合成的,得到的不是单一结构的过氧化物,因此不同批料的丁酮生产的过氧化物会影响聚合的凝胶化和固化时间。丁酮过氧化物的主要组分有:

公式 符号 硫酸盐组成的氧化还原引发体系

过硫酸盐(如钾盐、钠盐或铵盐)都可作为乳液聚合的水溶性引发剂,其分解活化能为33.5千卡/摩尔。过硫酸盐与亚铁盐或过硫酸盐与亚硫酸氢盐公式 符号组成氧化还原引发体系,它们的分解活化能分别为12.0千卡/摩尔和10千卡/摩尔。后者曾用于丙烯腈水溶液的沉淀聚合(见溶液聚合)。

公式 符号

与亚硫酸氢盐相似的还原剂有亚硫酸盐公式 符号、硫代硫酸盐公式 符号、一缩二亚硫酸盐 公式 符号和连二亚硫酸盐公式 符号,可用通式SxO恆表示,它们与过硫酸盐的氧化还原反应为:

公式 符号 过氧化物与胺组成的氧化还原引发体系

又称有机氧化还原引发体系。它可分为有机过氧化物和胺的体系及有机过氧化氢物和胺的体系,其中的胺是叔胺,它的作用并不是典型的还原作用,而是加速过氧化物的分解,因此有人认为胺是促进剂。

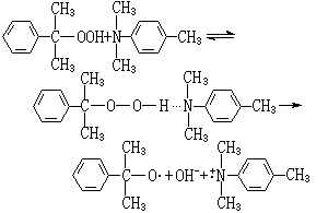
图

过氧化物和胺的体系的典型代表是过氧化二苯甲酰BPO和N,N-二甲基苯胺(即二甲苯胺DMA),它们可用于甲基丙烯酸甲酯和其他单体的室温本体聚合。近年来DMA已被N,N-二甲基对甲苯胺DMT所代替,一方面是由于BPO-DMT引发体系的分解速率和聚合速率比BPO-DMA引发体系快 (见上表);另一方面是由于用 DMT时聚合物色泽的稳定性比 DMA好。BPO-DMT已广泛用于医用高分子的齿科材料、外科粘骨胶材料。BPO-DMT的引发聚合机理如下:

公式 符号 公式 符号

式中M代表单体。

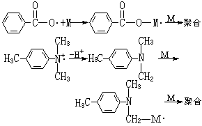
有机过氧化氢物和胺引发体系

是目前用于厌氧胶的引发体系,其典型代表为异丙苯过氧化氢物和DMT体系。它的引发聚合机理与 BPO-DMT体系略有不同。过氧化氢物和胺先形成氢键复合物,然后分解成烷氧自由基而引发单体聚合:

公式 符号

此外,还可以单独使用DMT、DMA或苯肼引发甲基丙烯酸酯类单体聚合。

其他氧化还原引发体系

包括由非过氧化物组成的氧化还原引发体系,其中有一类含有金属离子组分,如羟胺和金属离子Ti3+、Cr2+、V2+、Mo3+的体系,其反应为:

NH2OH+Ti3+─→·NH2+OH-+Ti4+

铈盐(主要是硝酸盐或硫酸盐)可与许多有机化合物(如醇、醛、酮、胺、硫醇等)组成氧化还原引发体系。铈盐与醇的引发反应是先形成复合物,然后分解生成自由基,可引发水溶性单体聚合:

公式 符号

过渡金属(如铬、锰、钴、镍、钼、钨)的羰基化合物与有机卤化物(特别是四氯化碳)组成的引发体系,可在 80~100°C引发甲基丙烯酸甲酯聚合。一般认为其机理是:由过渡金属的单电子转移,自身形成较高的氧化态,而四氯化碳分解为一个负离子和·CCl3自由基。Mn2(CO)10-CCl4引发反应可表示为:

公式 符号

Mn2(CO)9+CCl4─→复合物+CO

复合物─→·CCl3+复合物

此外,还有NaClO3-Na2SO3、KMnO4-草酸、硫脲和KBrO3或KMnO4等的氧化还原引发体系。

氧化还原聚合引发速率和转化率

氧化还原聚合引发速率Ri和引发剂的两个组分的浓度成正比:

Rikd[氧化剂][还原剂]

式中kd为分解反应速率常数。如果氧化还原分解产生的两个初级自由基都引发单体聚合,则要乘以2,如果只有一个自由基引发就不必乘以2。

聚合速率是由引发速率Ri(最慢的一步)所决定的,因而Ri快则聚合速率Rp也快。虽然提高引发体系的任何一个组分的浓度,都可以提高引发速率,也就是提高聚合速率,但对聚合最终转化率的影响则不相同。一般,最好是用过量的过氧化物,公式 符号。如果还原剂用量过多,则它会与初级自由基反应,所以过量的还原剂起缓聚或阻聚作用,反而使聚合转化率下降。过量的Fe2+与初级自由基可发生以下副反应:

公式 符号

一般的氧化还原引发体系的配方中,氧化剂用量为单体的 0.1%~1.0%,而还原剂用量为0.05%~0.1%,使过氧化物和还原剂的摩尔配比总是≥1。此外,不同的还原剂组分也会影响转化率,因此要选择较好的组分来组成氧化还原引发体系。

参考书目
  1. G. Odian, Principles of Polymerization,2nd ed., John Wiley & Sons,New York,1981.
  2. 冯新德著:《合成高分子化学》,上册,科学出版社,北京,1981。