[拼音]:zhaochafa
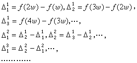
中国古代的一种计算方法。它的发展与古代天文学的发展紧密相关。历法的编制需要预告五星的方位,尤其是日、月食的预告更需要计算日(视运动)、月的准确位置。最初,中国古代天文学家认为天体的运动都是匀速的。东汉贾逵发现了月行不匀(公元92)。南北朝时张子信发现日行亦不匀(约 6世纪)。这种不匀是由于天体轨道是椭圆而引起的。介于两次观测之间某一时刻的日月位置,可由招差法计算。设在等间距的时间w、2w、3w、…内的观测结果分别为ƒ(w)、ƒ(2w)、ƒ(3w)、…,则计算日月在w+s时(0w)的精确位置可用下列公式(牛顿招差公式,1676~1678)
(1)
式中Δ、Δ2、Δ3、…的含意是:如设
则(1)式中的Δ、Δ2、Δ3、…分别等于Δ姌、Δ娝、Δ婤、…,即逐级差分。
隋代刘焯《皇极历》(600)列出的公式,相当于给出了上述 (1)式的前三项。这是等间距二次内插法在中国的首次出现。唐代一行《大衍历》(727)中,给出了不等间距二次内插法公式。这些二次内插公式,大约是通过几何图形的出入相补相互拼凑的方法得到的。
宋代以后,由于对高阶等差级数的研究,招差法有了新的进展。元代郭守敬等人在《授时历》(1280)中应用了三次差的招差公式,这相当于公式(1)的前四项。
元代数学家朱世杰在其所著《四元玉鉴》(1303)中给出了与(1)式大致相同的公式。虽然仍是限于是四次招差,但由于朱世杰已经通晓其中各项系数是一系列“三角垛”的积,实际上可以认为他已通晓任意高次的招差法。这比西方要早出四百余年。当然,中国古代没有数学符号,公式都是用语言文字叙述,有很大的局限性。