离子相互作用和强电解质活度系数理论

用离子间静相互作用模型和玻耳兹曼分布定律定量地说明稀溶液热力学性质活度系数、凝固点降低、渗透压、稀释热的理论。

德拜休克尔理论

理论的基本假设是:

(1)在稀溶液中电解质完全离解

(2)离子是不会被极化的带电圆球,其电场具有圆球对称性;

(3)离子之间只有库仑力起作用,其他分子间力可忽略不计;

(4)离子相互作用产生的吸引能小于热运动能;

(5)溶液与溶剂的介电常数相等。

溶液中的离子是不断运动的,设想有一个中心离子j,根据假设②,这个中心离子外围的离子分布为一个球形对称的电荷分布,称为离子氛,它的净电量与中心离子的电量大小相等,符号相反。应用静电理论的泊松方程,将空间某一点的电位与电荷密度联系起来,采用玻耳兹曼分布定律的级数展开式,并根据上述假设作适当近似处理,计算出某点的电荷密度,然后得出与中心离子j相距r处的电位Ψ为:

公式 符号   (1)

式中Zj为j离子的电价D为溶剂的介电常数;ε为质子电荷;a为正负离子有效半径之和;κ见下式:

公式 符号   (2)

式中k为玻耳兹曼常数;T为热力学温度;N阿伏伽德罗数I为离子强度:

公式 符号   (3)

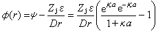
式中ci为离子体积摩尔浓度。ψ是中心离子在该点的电位Zjε/(Dr)与离子氛电位φ(r)之和,所以离子氛电位为:

公式 符号   (4)

ra时,φ(a)为离子氛在中心离子j处的电位:

公式 符号   (5)

离子氛电位φ(a)与中心离子 j相互作用所引起的电能变化,即离子相互吸引在一个j离子上所引起的电能变化为:

公式 符号   (6)

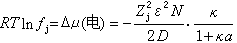
因子1/2是由于每个离子既作中心离子,又作离子氛中的离子,而使计算进行了两次,所以应除以2。假设离子溶液之所以不能成为理想溶液完全由于离子相互作用,因此1摩尔j离子的吉布斯函数,即j离子的化学势μj可以写成:

公式 符号   (7)

公式 符号   (8)

式中μ恱为j离子的标准化学势;Xj为j离子的摩尔分数,R为气体常数。对非理想溶液,则有:

公式 符号   (9)

式中fj为j离子的摩尔分数标度的活度系数,可得:

公式 符号   (10)

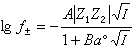
因此,电解质的平均活度系数为:

公式 符号   (11)

将式(2)代入式(11),并令aa°×10-8,则式(11)可简化为:

公式 符号   (12)

式(12)就是德拜-休克尔电解质活度系数公式,式中公式 符号  。对298K的水溶液,A=0.5115;B=0.3291。用式(12)可以准确计算I=0.1以下的溶液活度系数。对高度稀释的溶液,公式 符号,可以忽略不计,就可得出德拜-休克尔极限公式:

公式 符号   (13)

离子活度系数的水化理论

这一理论把德拜-休克尔理论的应用范围推广到较高浓度的水溶液,认为离子由于与水分子的相互作用而水化,水化离子与无水离子不是完全相同的物质,两者的化学势应有差别。水的化学势是 1摩尔水加入无限量一定浓度的溶液所引起的吉布斯函数的改变量,与水化无关,但自由水分子数因水化而减少,一定量溶液的吉布斯函数为固定值。德拜-休克尔电解质活度系数公式也适用于水化离子。应用上述原则导出一个包含离子水化数 h和适合于较浓的水溶液的电解质活度系数公式。如果1摩尔电解质溶于s摩尔水中,成为v1v2摩尔的正负离子,则有:

公式 符号   (14)

式中aw为水的活度;v=v1+v2。如果以质量摩尔浓度m为溶液浓度的标度,以渗透系数φ 表示水的活度,则有:

lnaw=-0.018vmφ (15)

用质量摩尔浓度为标度的活度系数γ±为:

公式 符号   (16)